Maîtriser la LLCE (Littérature, Langues et Cultures Étrangères) peut sembler... Affiche plus
Inscris-toi pour voir le contenuC'est gratuit!
Accès à tous les documents
Améliore tes notes
Rejoins des millions d'étudiants
Knowunity AI
Matières
Triangle Congruence and Similarity Theorems
Triangle Properties and Classification
Linear Equations and Graphs
Geometric Angle Relationships
Trigonometric Functions and Identities
Equation Solving Techniques
Circle Geometry Fundamentals
Division Operations and Methods
Basic Differentiation Rules
Exponent and Logarithm Properties
Affiche tous les sujets
Human Organ Systems
Reproductive Cell Cycles
Biological Sciences Subdisciplines
Cellular Energy Metabolism
Autotrophic Energy Processes
Inheritance Patterns and Principles
Biomolecular Structure and Organization
Cell Cycle and Division Mechanics
Cellular Organization and Development
Biological Structural Organization
Affiche tous les sujets
Chemical Sciences and Applications
Atomic Structure and Composition
Molecular Electron Structure Representation
Atomic Electron Behavior
Matter Properties and Water
Mole Concept and Calculations
Gas Laws and Behavior
Periodic Table Organization
Chemical Thermodynamics Fundamentals
Chemical Bond Types and Properties
Affiche tous les sujets
European Renaissance and Enlightenment
European Cultural Movements 800-1920
American Revolution Era 1763-1797
American Civil War 1861-1865
Global Imperial Systems
Mongol and Chinese Dynasties
U.S. Presidents and World Leaders
Historical Sources and Documentation
World Wars Era and Impact
World Religious Systems
Affiche tous les sujets
Classic and Contemporary Novels
Literary Character Analysis
Rhetorical Theory and Practice
Classic Literary Narratives
Reading Analysis and Interpretation
Narrative Structure and Techniques
English Language Components
Influential English-Language Authors
Basic Sentence Structure
Narrative Voice and Perspective
Affiche tous les sujets
328
•
Mis à jour May 3, 2026
•
Ecila Eiboreif
@ecilaeiboreif_rwkr
Maîtriser la LLCE (Littérature, Langues et Cultures Étrangères) peut sembler... Affiche plus











Tu veux cartonner en LLCE ? Ce guide va devenir ton meilleur allié ! Il rassemble toutes les techniques d'analyse, le vocabulaire essentiel et les connecteurs logiques dont tu as besoin.
Que ce soit pour analyser un poème de Byron, décrypter une peinture ou commenter un extrait de roman, tu trouveras ici des méthodes concrètes et efficaces. Plus de panique devant une œuvre complexe !
💡 Astuce : Garde ce guide sous la main pendant tes révisions - c'est ton kit de survie pour les examens !

Ce guide couvre tout ce qu'il faut savoir pour exceller en LLCE. Tu y trouveras des méthodes d'analyse détaillées pour tous types de documents, du vocabulaire spécialisé et des outils pratiques.
Les sections incluent l'analyse de poèmes avec les différents types de rimes, l'analyse iconographique pour décrypter peintures et photos, et l'analyse littéraire pour commenter les extraits.
La partie vocabulaire te donne tous les mots-clés selon le type d'exercice : synthèse, poésie ou actualité. Plus de trou de mémoire pendant les épreuves !
💡 Organisation : Chaque section suit une progression logique - de la présentation du document à son interprétation approfondie.

Analyser un poème, c'est comme résoudre une énigme ! Commence toujours par identifier le schéma de rimes : couplet rhymes (aa bb cc), alternate rhymes (abab cdcd) ou enclosing rhymes (abba cddc).
Ensuite, repère la forme du poème. Les sonnets sont les plus courants avec 14 vers : soit un sonnet pétrarquien soit un sonnet shakespearien .
Pour l'analyse approfondie, observe le rythme et les enjambements qui donnent une sensation de liberté. Détermine le ton et l'atmosphère : mélancolique, romantique, ironique ?
N'oublie pas d'identifier la voix poétique : qui parle dans le poème et à qui s'adresse-t-il ? Cette perspective peut être subjective ou objective.
💡 Méthode : Lis le poème à voix haute - le rythme et les sonorités révèlent souvent le sens caché !

Face à une image, structure toujours ton analyse ! Commence par présenter le document : nature (cartoon, photograph, painting), artiste, date, dimensions et lieu si mentionnés.
Identifie le sujet général avec des expressions comme "This picture deals with" ou "It raises the issue of". Ne te contente pas de décrire, cherche ce que l'image représente ou symbolise.
Pour l'analyse technique, observe la composition : foreground, middle ground, background. Note les éléments marquants : personnages, vêtements, objets et leur agencement dans l'espace.
L'ambiance est cruciale : couleurs chaudes ou froides, contrastes, jeux d'ombre et de lumière. Ces choix techniques ne sont jamais anodins !
💡 Vocabulaire clé : "This work symbolises", "The scene takes place in", "He/she stands out against" - ces expressions structurent ton analyse.

Maintenant, creuse l'intention de l'artiste ! Que voulait-il montrer ou dénoncer ? Utilise des expressions comme "He may have wanted to show that" ou "The goal is to criticise".
Exprime tes sentiments personnels face à l'œuvre : "When I look at this painting, I feel intrigued because..." ou "What strikes me is that...". Cette réaction personnelle enrichit ton analyse.
Le point de vue est essentiel : où se place l'artiste ? Cette position influence ce que le spectateur voit ou ne voit pas. Un angle en plongée ou contre-plongée renforce-t-il un message ?
Cette perspective peut correspondre au regard d'un personnage (subjective shot) et révéler une intention : voyeurisme, fascination, inquiétude.
💡 Analyse avancée : Demande-toi toujours pourquoi l'artiste a choisi cet angle, ces couleurs, cette composition - rien n'est laissé au hasard !

Analyser un texte littéraire demande de la méthode ! Commence par situer l'extrait : œuvre, auteur, mouvement littéraire, contexte. Utilise "This excerpt is taken from" et "It belongs to the literary movement of".
Fais un résumé intelligent sans paraphraser mot à mot. Identifie les événements-clés avec "The scene takes place in" ou "This moment marks a turning point".
Pour l'analyse de la narration, détermine le point de vue : first-person, third-person omniscient, limited ou objective narrator. Observe les temps utilisés et les éventuels flashbacks.
L'analyse des personnages révèle leurs intentions, conflits internes et relations de pouvoir. Le protagoniste incarne-t-il une idée particulière ? Y a-t-il un déséquilibre de pouvoir entre les personnages ?
💡 Technique : Le narrateur adopte-t-il une position détachée ou subjective ? Cette information guide toute ton interprétation.

L'analyse du style fait la différence ! Étudie le lexique, les champs lexicaux, les figures de style (métaphore, ironie, allitération). La structure des phrases et la ponctuation révèlent beaucoup.
Détermine le ton : sarcastique, nostalgique, lyrique, dramatique ? Utilise "The author resorts to imagery" ou "Irony pervades the excerpt to".
Les thèmes et la portée symbolique donnent du sens à l'extrait. Quelles idées principales ? Quel message implicite ? Quels échos historiques ou sociaux ?
La mise en perspective conclut brillamment ton analyse : relie le passage au reste de l'œuvre avec "This passage foreshadows" ou "It contrasts with an earlier scene where".
💡 Vocabulaire expert : "The recurring motif reinforces", "There is an underlying commentary on" - ces expressions montrent ta maîtrise littéraire.

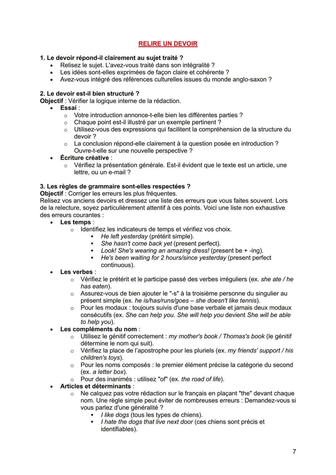
La relecture peut te faire gagner des points précieux ! Vérifie d'abord si tu as traité le sujet dans son intégralité et intégré des références culturelles anglo-saxonnes.
Pour la structure, assure-toi que ton introduction annonce bien tes parties et que chaque point est illustré. Ta conclusion répond-elle clairement à la problématique posée ?
Les erreurs de grammaire les plus fréquentes concernent les temps (present perfect vs prétérit), les verbes irréguliers et la troisième personne du singulier. Attention aussi aux modaux : toujours suivis d'une base verbale !
Pour les articles et déterminants, demande-toi si tu parles d'une généralité ("I like dogs") ou de quelque chose de précis ("I hate the dogs next door").
💡 Stratégie : Dresse une liste de tes erreurs récurrentes et concentre-toi dessus pendant la relecture - c'est plus efficace !

Les connecteurs logiques structurent ta pensée et impressionnent les correcteurs ! Pour argumenter, utilise "However" (pourtant), "Despite the fact that" (en dépit du fait que) ou "On the contrary" (au contraire).
Quand tu commentes un texte, varie tes expressions : "An excerpt from", "The text falls into x parts", "As the writer puts it". Ces formules montrent ta maîtrise de l'analyse littéraire.
Pour conclure proprement, évite le banal "In conclusion". Préfère "All things considered" (tout bien considéré), "To put it in a nutshell" (pour résumer) ou "It all boils down to saying that".
Les connecteurs de cause enrichissent tes explications : "Because of", "Thanks to", "The reason why". Ils permettent de nuancer et d'expliquer tes idées avec précision.
💡 Variété : Alterne les connecteurs - répéter toujours "However" ou "Because" appauvrit ton style !

Pour structurer ton développement, utilise "On the one hand / On the other hand" ou "In a first part... in a second part". Ces expressions guident ton lecteur.
Les connecteurs de présentation donnent une introduction professionnelle : "According to" (selon), "The following document tackles" (le document suivant aborde), "The main issue is" (le problème principal est).
N'hésite pas à utiliser des expressions plus sophistiquées comme "Judging by" (à en juger par), "Provided that" (à condition que) ou "By dint of" (grâce à). Elles montrent ton niveau d'anglais.
La diversité des connecteurs fait la richesse de ton expression. Évite les répétitions et choisis le connecteur le plus précis selon ton idée.
💡 Mémorisation : Apprends quelques connecteurs par catégorie plutôt que de mémoriser toute la liste - c'est plus efficace !
Notre compagnon IA est spécialement conçu pour répondre aux besoins des étudiants. Sur la base des millions d'éléments de contenu que nous avons sur la plateforme, nous pouvons fournir des réponses vraiment significatives et pertinentes aux étudiants. Mais il ne s'agit pas seulement de réponses, le compagnon a encore plus pour but de guider les élèves dans leurs défis d'apprentissage quotidiens, avec des plans d'étude personnalisés, des quiz ou des éléments de contenu dans le chat et une personnalisation à 100% basée sur les compétences et les développements de l'étudiant.
Tu peux télécharger l'application dans Google Play Store et dans l'App Store d'Apple.
Oui, tu as un accès entièrement gratuit à tous les contenus de l'appli, tu peux chatter ou suivre les créateurs à tout moment. De plus, nous proposons Knowunity Premium, qui te permet de réviser sans limites!
App Store
Google Play
L'application est très facile d'utilisation et bien conçue. Jusqu'à présent, j'ai trouvé tout ce que je cherchais et j'ai pu apprendre beaucoup de choses grâce aux présentations ! Je vais certainement utiliser l'application pour un travail en classe ! Et comme source d'inspiration personnelle, elle est bien sûr aussi très utile.
Stefan S
utilisateur iOS
Cette application est vraiment super. Il y a tellement de fiches de révision et d'aide, [...]. Par exemple, la matière qui me pose problème est le français et l'appli a un choix d'aide très large. Grâce à cette application, je me suis améliorée en français. Je la recommanderais à tout le monde.
Samantha Klich
utilisatrice Android
Waouh, je suis vraiment abasourdi. J'ai essayé l'application parce que je l'avais déjà vue plusieurs fois dans la publicité et j'ai été absolument choquée. Cette appli est L'AIDE dont on rêve pour l'école et surtout, elle propose tellement de choses, comme des rédactions et des fiches qui m'ont personnellement TRÈS bien aidé.
Anna
utilisatrice iOS
Meilleur application je voulais m'entraîner pour mes maths puis j'ai tout compris d'un coup c'est mon nouveau prof maintenant 🤣🤣
Thomas R
utilisateur d' Android
super application pour réviser je révise tout les soirs
Esteban M
utilisateur d'Android
Permet de vraiment comprendre les cours sous forme de fiches de révisions déjà faites ! Incroyable, je recommande vraiment
Leny
utilisateur d'Android
L'application est tout simplement géniale ! Il me suffit de taper mon sujet dans la barre de recherche et je le vérifie très rapidement. Je ne dois plus regarder 10 vidéos YouTube pour comprendre quelque chose et j'économise ainsi mon temps. Je te le recommande !
Sudenaz Ocak
utilisateur Android
Cette application m'a vraiment fait m'améliorer ! J'étais vraiment nul en maths à l'école et grâce à l'appli, je suis meilleur en maths ! Je suis tellement reconnaissante que vous ayez créé cette application.
Greenlight Bonnie
utilisateur Android
PARFAIT 🌟 💕🔥 ça facilite Vrmt la révision avec des fiches de révisions fascinants✨🥰
Khady
utilisatrice d'Android
Je conseille vraiment ! je galère à avoir des cours clairs et ça aide énormément !!
Claire
utilisatrice iOS
LES QUIZ ET CARTES MÉMOIRE SONT TROP UTILES ET J'ADORE Knowunity IA. C'EST LITTÉRALEMENT COMME CHATGPT MAIS EN PLUS INTELLIGENT !! ÇA M'A AIDÉ AVEC MES PROBLÈMES DE MASCARA AUSSI !! AINSI QUE MES VRAIES MATIÈRES ! ÉVIDEMMENT 😍😁😲🤑💗✨🎀😮
Raoul
utilisateur IOS
Knowunity est vraiment une application incroyable elle est pour tous les âges et s’adapte à tous les niveaux.Elle permet de mieux comprendre et apprendre. Cette application est super pour les devoirs et pour les contrôles je la recommande à tous le monde petit ou grands
Ella
utilisatrice iOS
L'application est très facile d'utilisation et bien conçue. Jusqu'à présent, j'ai trouvé tout ce que je cherchais et j'ai pu apprendre beaucoup de choses grâce aux présentations ! Je vais certainement utiliser l'application pour un travail en classe ! Et comme source d'inspiration personnelle, elle est bien sûr aussi très utile.
Stefan S
utilisateur iOS
Cette application est vraiment super. Il y a tellement de fiches de révision et d'aide, [...]. Par exemple, la matière qui me pose problème est le français et l'appli a un choix d'aide très large. Grâce à cette application, je me suis améliorée en français. Je la recommanderais à tout le monde.
Samantha Klich
utilisatrice Android
Waouh, je suis vraiment abasourdi. J'ai essayé l'application parce que je l'avais déjà vue plusieurs fois dans la publicité et j'ai été absolument choquée. Cette appli est L'AIDE dont on rêve pour l'école et surtout, elle propose tellement de choses, comme des rédactions et des fiches qui m'ont personnellement TRÈS bien aidé.
Anna
utilisatrice iOS
Meilleur application je voulais m'entraîner pour mes maths puis j'ai tout compris d'un coup c'est mon nouveau prof maintenant 🤣🤣
Thomas R
utilisateur d' Android
super application pour réviser je révise tout les soirs
Esteban M
utilisateur d'Android
Permet de vraiment comprendre les cours sous forme de fiches de révisions déjà faites ! Incroyable, je recommande vraiment
Leny
utilisateur d'Android
L'application est tout simplement géniale ! Il me suffit de taper mon sujet dans la barre de recherche et je le vérifie très rapidement. Je ne dois plus regarder 10 vidéos YouTube pour comprendre quelque chose et j'économise ainsi mon temps. Je te le recommande !
Sudenaz Ocak
utilisateur Android
Cette application m'a vraiment fait m'améliorer ! J'étais vraiment nul en maths à l'école et grâce à l'appli, je suis meilleur en maths ! Je suis tellement reconnaissante que vous ayez créé cette application.
Greenlight Bonnie
utilisateur Android
PARFAIT 🌟 💕🔥 ça facilite Vrmt la révision avec des fiches de révisions fascinants✨🥰
Khady
utilisatrice d'Android
Je conseille vraiment ! je galère à avoir des cours clairs et ça aide énormément !!
Claire
utilisatrice iOS
LES QUIZ ET CARTES MÉMOIRE SONT TROP UTILES ET J'ADORE Knowunity IA. C'EST LITTÉRALEMENT COMME CHATGPT MAIS EN PLUS INTELLIGENT !! ÇA M'A AIDÉ AVEC MES PROBLÈMES DE MASCARA AUSSI !! AINSI QUE MES VRAIES MATIÈRES ! ÉVIDEMMENT 😍😁😲🤑💗✨🎀😮
Raoul
utilisateur IOS
Knowunity est vraiment une application incroyable elle est pour tous les âges et s’adapte à tous les niveaux.Elle permet de mieux comprendre et apprendre. Cette application est super pour les devoirs et pour les contrôles je la recommande à tous le monde petit ou grands
Ella
utilisatrice iOS
Ecila Eiboreif
@ecilaeiboreif_rwkr
Maîtriser la LLCE (Littérature, Langues et Cultures Étrangères) peut sembler intimidant, mais avec les bonnes méthodes, c'est totalement faisable ! Ce guide te donne toutes les clés pour analyser des poèmes, des documents iconographiques et des extraits littéraires comme un... Affiche plus

Accès à tous les documents
Améliore tes notes
Rejoins des millions d'étudiants
Tu veux cartonner en LLCE ? Ce guide va devenir ton meilleur allié ! Il rassemble toutes les techniques d'analyse, le vocabulaire essentiel et les connecteurs logiques dont tu as besoin.
Que ce soit pour analyser un poème de Byron, décrypter une peinture ou commenter un extrait de roman, tu trouveras ici des méthodes concrètes et efficaces. Plus de panique devant une œuvre complexe !
💡 Astuce : Garde ce guide sous la main pendant tes révisions - c'est ton kit de survie pour les examens !

Accès à tous les documents
Améliore tes notes
Rejoins des millions d'étudiants
Ce guide couvre tout ce qu'il faut savoir pour exceller en LLCE. Tu y trouveras des méthodes d'analyse détaillées pour tous types de documents, du vocabulaire spécialisé et des outils pratiques.
Les sections incluent l'analyse de poèmes avec les différents types de rimes, l'analyse iconographique pour décrypter peintures et photos, et l'analyse littéraire pour commenter les extraits.
La partie vocabulaire te donne tous les mots-clés selon le type d'exercice : synthèse, poésie ou actualité. Plus de trou de mémoire pendant les épreuves !
💡 Organisation : Chaque section suit une progression logique - de la présentation du document à son interprétation approfondie.

Accès à tous les documents
Améliore tes notes
Rejoins des millions d'étudiants
Analyser un poème, c'est comme résoudre une énigme ! Commence toujours par identifier le schéma de rimes : couplet rhymes (aa bb cc), alternate rhymes (abab cdcd) ou enclosing rhymes (abba cddc).
Ensuite, repère la forme du poème. Les sonnets sont les plus courants avec 14 vers : soit un sonnet pétrarquien soit un sonnet shakespearien .
Pour l'analyse approfondie, observe le rythme et les enjambements qui donnent une sensation de liberté. Détermine le ton et l'atmosphère : mélancolique, romantique, ironique ?
N'oublie pas d'identifier la voix poétique : qui parle dans le poème et à qui s'adresse-t-il ? Cette perspective peut être subjective ou objective.
💡 Méthode : Lis le poème à voix haute - le rythme et les sonorités révèlent souvent le sens caché !

Accès à tous les documents
Améliore tes notes
Rejoins des millions d'étudiants
Face à une image, structure toujours ton analyse ! Commence par présenter le document : nature (cartoon, photograph, painting), artiste, date, dimensions et lieu si mentionnés.
Identifie le sujet général avec des expressions comme "This picture deals with" ou "It raises the issue of". Ne te contente pas de décrire, cherche ce que l'image représente ou symbolise.
Pour l'analyse technique, observe la composition : foreground, middle ground, background. Note les éléments marquants : personnages, vêtements, objets et leur agencement dans l'espace.
L'ambiance est cruciale : couleurs chaudes ou froides, contrastes, jeux d'ombre et de lumière. Ces choix techniques ne sont jamais anodins !
💡 Vocabulaire clé : "This work symbolises", "The scene takes place in", "He/she stands out against" - ces expressions structurent ton analyse.

Accès à tous les documents
Améliore tes notes
Rejoins des millions d'étudiants
Maintenant, creuse l'intention de l'artiste ! Que voulait-il montrer ou dénoncer ? Utilise des expressions comme "He may have wanted to show that" ou "The goal is to criticise".
Exprime tes sentiments personnels face à l'œuvre : "When I look at this painting, I feel intrigued because..." ou "What strikes me is that...". Cette réaction personnelle enrichit ton analyse.
Le point de vue est essentiel : où se place l'artiste ? Cette position influence ce que le spectateur voit ou ne voit pas. Un angle en plongée ou contre-plongée renforce-t-il un message ?
Cette perspective peut correspondre au regard d'un personnage (subjective shot) et révéler une intention : voyeurisme, fascination, inquiétude.
💡 Analyse avancée : Demande-toi toujours pourquoi l'artiste a choisi cet angle, ces couleurs, cette composition - rien n'est laissé au hasard !

Accès à tous les documents
Améliore tes notes
Rejoins des millions d'étudiants
Analyser un texte littéraire demande de la méthode ! Commence par situer l'extrait : œuvre, auteur, mouvement littéraire, contexte. Utilise "This excerpt is taken from" et "It belongs to the literary movement of".
Fais un résumé intelligent sans paraphraser mot à mot. Identifie les événements-clés avec "The scene takes place in" ou "This moment marks a turning point".
Pour l'analyse de la narration, détermine le point de vue : first-person, third-person omniscient, limited ou objective narrator. Observe les temps utilisés et les éventuels flashbacks.
L'analyse des personnages révèle leurs intentions, conflits internes et relations de pouvoir. Le protagoniste incarne-t-il une idée particulière ? Y a-t-il un déséquilibre de pouvoir entre les personnages ?
💡 Technique : Le narrateur adopte-t-il une position détachée ou subjective ? Cette information guide toute ton interprétation.

Accès à tous les documents
Améliore tes notes
Rejoins des millions d'étudiants
L'analyse du style fait la différence ! Étudie le lexique, les champs lexicaux, les figures de style (métaphore, ironie, allitération). La structure des phrases et la ponctuation révèlent beaucoup.
Détermine le ton : sarcastique, nostalgique, lyrique, dramatique ? Utilise "The author resorts to imagery" ou "Irony pervades the excerpt to".
Les thèmes et la portée symbolique donnent du sens à l'extrait. Quelles idées principales ? Quel message implicite ? Quels échos historiques ou sociaux ?
La mise en perspective conclut brillamment ton analyse : relie le passage au reste de l'œuvre avec "This passage foreshadows" ou "It contrasts with an earlier scene where".
💡 Vocabulaire expert : "The recurring motif reinforces", "There is an underlying commentary on" - ces expressions montrent ta maîtrise littéraire.

Accès à tous les documents
Améliore tes notes
Rejoins des millions d'étudiants
La relecture peut te faire gagner des points précieux ! Vérifie d'abord si tu as traité le sujet dans son intégralité et intégré des références culturelles anglo-saxonnes.
Pour la structure, assure-toi que ton introduction annonce bien tes parties et que chaque point est illustré. Ta conclusion répond-elle clairement à la problématique posée ?
Les erreurs de grammaire les plus fréquentes concernent les temps (present perfect vs prétérit), les verbes irréguliers et la troisième personne du singulier. Attention aussi aux modaux : toujours suivis d'une base verbale !
Pour les articles et déterminants, demande-toi si tu parles d'une généralité ("I like dogs") ou de quelque chose de précis ("I hate the dogs next door").
💡 Stratégie : Dresse une liste de tes erreurs récurrentes et concentre-toi dessus pendant la relecture - c'est plus efficace !

Accès à tous les documents
Améliore tes notes
Rejoins des millions d'étudiants
Les connecteurs logiques structurent ta pensée et impressionnent les correcteurs ! Pour argumenter, utilise "However" (pourtant), "Despite the fact that" (en dépit du fait que) ou "On the contrary" (au contraire).
Quand tu commentes un texte, varie tes expressions : "An excerpt from", "The text falls into x parts", "As the writer puts it". Ces formules montrent ta maîtrise de l'analyse littéraire.
Pour conclure proprement, évite le banal "In conclusion". Préfère "All things considered" (tout bien considéré), "To put it in a nutshell" (pour résumer) ou "It all boils down to saying that".
Les connecteurs de cause enrichissent tes explications : "Because of", "Thanks to", "The reason why". Ils permettent de nuancer et d'expliquer tes idées avec précision.
💡 Variété : Alterne les connecteurs - répéter toujours "However" ou "Because" appauvrit ton style !

Accès à tous les documents
Améliore tes notes
Rejoins des millions d'étudiants
Pour structurer ton développement, utilise "On the one hand / On the other hand" ou "In a first part... in a second part". Ces expressions guident ton lecteur.
Les connecteurs de présentation donnent une introduction professionnelle : "According to" (selon), "The following document tackles" (le document suivant aborde), "The main issue is" (le problème principal est).
N'hésite pas à utiliser des expressions plus sophistiquées comme "Judging by" (à en juger par), "Provided that" (à condition que) ou "By dint of" (grâce à). Elles montrent ton niveau d'anglais.
La diversité des connecteurs fait la richesse de ton expression. Évite les répétitions et choisis le connecteur le plus précis selon ton idée.
💡 Mémorisation : Apprends quelques connecteurs par catégorie plutôt que de mémoriser toute la liste - c'est plus efficace !
Notre compagnon IA est spécialement conçu pour répondre aux besoins des étudiants. Sur la base des millions d'éléments de contenu que nous avons sur la plateforme, nous pouvons fournir des réponses vraiment significatives et pertinentes aux étudiants. Mais il ne s'agit pas seulement de réponses, le compagnon a encore plus pour but de guider les élèves dans leurs défis d'apprentissage quotidiens, avec des plans d'étude personnalisés, des quiz ou des éléments de contenu dans le chat et une personnalisation à 100% basée sur les compétences et les développements de l'étudiant.
Tu peux télécharger l'application dans Google Play Store et dans l'App Store d'Apple.
Oui, tu as un accès entièrement gratuit à tous les contenus de l'appli, tu peux chatter ou suivre les créateurs à tout moment. De plus, nous proposons Knowunity Premium, qui te permet de réviser sans limites!
11
Outils Intelligents NOUVEAU
Transforme cette fiche en : ✓ 50+ Questions d'Entraînement ✓ Cartes Mémoire Interactives ✓ Examen blanc complet ✓ Plans de Dissertation
App Store
Google Play
L'application est très facile d'utilisation et bien conçue. Jusqu'à présent, j'ai trouvé tout ce que je cherchais et j'ai pu apprendre beaucoup de choses grâce aux présentations ! Je vais certainement utiliser l'application pour un travail en classe ! Et comme source d'inspiration personnelle, elle est bien sûr aussi très utile.
Stefan S
utilisateur iOS
Cette application est vraiment super. Il y a tellement de fiches de révision et d'aide, [...]. Par exemple, la matière qui me pose problème est le français et l'appli a un choix d'aide très large. Grâce à cette application, je me suis améliorée en français. Je la recommanderais à tout le monde.
Samantha Klich
utilisatrice Android
Waouh, je suis vraiment abasourdi. J'ai essayé l'application parce que je l'avais déjà vue plusieurs fois dans la publicité et j'ai été absolument choquée. Cette appli est L'AIDE dont on rêve pour l'école et surtout, elle propose tellement de choses, comme des rédactions et des fiches qui m'ont personnellement TRÈS bien aidé.
Anna
utilisatrice iOS
Meilleur application je voulais m'entraîner pour mes maths puis j'ai tout compris d'un coup c'est mon nouveau prof maintenant 🤣🤣
Thomas R
utilisateur d' Android
super application pour réviser je révise tout les soirs
Esteban M
utilisateur d'Android
Permet de vraiment comprendre les cours sous forme de fiches de révisions déjà faites ! Incroyable, je recommande vraiment
Leny
utilisateur d'Android
L'application est tout simplement géniale ! Il me suffit de taper mon sujet dans la barre de recherche et je le vérifie très rapidement. Je ne dois plus regarder 10 vidéos YouTube pour comprendre quelque chose et j'économise ainsi mon temps. Je te le recommande !
Sudenaz Ocak
utilisateur Android
Cette application m'a vraiment fait m'améliorer ! J'étais vraiment nul en maths à l'école et grâce à l'appli, je suis meilleur en maths ! Je suis tellement reconnaissante que vous ayez créé cette application.
Greenlight Bonnie
utilisateur Android
PARFAIT 🌟 💕🔥 ça facilite Vrmt la révision avec des fiches de révisions fascinants✨🥰
Khady
utilisatrice d'Android
Je conseille vraiment ! je galère à avoir des cours clairs et ça aide énormément !!
Claire
utilisatrice iOS
LES QUIZ ET CARTES MÉMOIRE SONT TROP UTILES ET J'ADORE Knowunity IA. C'EST LITTÉRALEMENT COMME CHATGPT MAIS EN PLUS INTELLIGENT !! ÇA M'A AIDÉ AVEC MES PROBLÈMES DE MASCARA AUSSI !! AINSI QUE MES VRAIES MATIÈRES ! ÉVIDEMMENT 😍😁😲🤑💗✨🎀😮
Raoul
utilisateur IOS
Knowunity est vraiment une application incroyable elle est pour tous les âges et s’adapte à tous les niveaux.Elle permet de mieux comprendre et apprendre. Cette application est super pour les devoirs et pour les contrôles je la recommande à tous le monde petit ou grands
Ella
utilisatrice iOS
L'application est très facile d'utilisation et bien conçue. Jusqu'à présent, j'ai trouvé tout ce que je cherchais et j'ai pu apprendre beaucoup de choses grâce aux présentations ! Je vais certainement utiliser l'application pour un travail en classe ! Et comme source d'inspiration personnelle, elle est bien sûr aussi très utile.
Stefan S
utilisateur iOS
Cette application est vraiment super. Il y a tellement de fiches de révision et d'aide, [...]. Par exemple, la matière qui me pose problème est le français et l'appli a un choix d'aide très large. Grâce à cette application, je me suis améliorée en français. Je la recommanderais à tout le monde.
Samantha Klich
utilisatrice Android
Waouh, je suis vraiment abasourdi. J'ai essayé l'application parce que je l'avais déjà vue plusieurs fois dans la publicité et j'ai été absolument choquée. Cette appli est L'AIDE dont on rêve pour l'école et surtout, elle propose tellement de choses, comme des rédactions et des fiches qui m'ont personnellement TRÈS bien aidé.
Anna
utilisatrice iOS
Meilleur application je voulais m'entraîner pour mes maths puis j'ai tout compris d'un coup c'est mon nouveau prof maintenant 🤣🤣
Thomas R
utilisateur d' Android
super application pour réviser je révise tout les soirs
Esteban M
utilisateur d'Android
Permet de vraiment comprendre les cours sous forme de fiches de révisions déjà faites ! Incroyable, je recommande vraiment
Leny
utilisateur d'Android
L'application est tout simplement géniale ! Il me suffit de taper mon sujet dans la barre de recherche et je le vérifie très rapidement. Je ne dois plus regarder 10 vidéos YouTube pour comprendre quelque chose et j'économise ainsi mon temps. Je te le recommande !
Sudenaz Ocak
utilisateur Android
Cette application m'a vraiment fait m'améliorer ! J'étais vraiment nul en maths à l'école et grâce à l'appli, je suis meilleur en maths ! Je suis tellement reconnaissante que vous ayez créé cette application.
Greenlight Bonnie
utilisateur Android
PARFAIT 🌟 💕🔥 ça facilite Vrmt la révision avec des fiches de révisions fascinants✨🥰
Khady
utilisatrice d'Android
Je conseille vraiment ! je galère à avoir des cours clairs et ça aide énormément !!
Claire
utilisatrice iOS
LES QUIZ ET CARTES MÉMOIRE SONT TROP UTILES ET J'ADORE Knowunity IA. C'EST LITTÉRALEMENT COMME CHATGPT MAIS EN PLUS INTELLIGENT !! ÇA M'A AIDÉ AVEC MES PROBLÈMES DE MASCARA AUSSI !! AINSI QUE MES VRAIES MATIÈRES ! ÉVIDEMMENT 😍😁😲🤑💗✨🎀😮
Raoul
utilisateur IOS
Knowunity est vraiment une application incroyable elle est pour tous les âges et s’adapte à tous les niveaux.Elle permet de mieux comprendre et apprendre. Cette application est super pour les devoirs et pour les contrôles je la recommande à tous le monde petit ou grands
Ella
utilisatrice iOS