- Fontenelle critique l'obscurantisme religieux dans son ouvrage "Histoire des... Affiche plus
Inscris-toi pour voir le contenuC'est gratuit!
Accès à tous les documents
Améliore tes notes
Rejoins des millions d'étudiants
Knowunity AI
Matières
Triangle Congruence and Similarity Theorems
Triangle Properties and Classification
Linear Equations and Graphs
Geometric Angle Relationships
Trigonometric Functions and Identities
Equation Solving Techniques
Circle Geometry Fundamentals
Division Operations and Methods
Basic Differentiation Rules
Exponent and Logarithm Properties
Affiche tous les sujets
Human Organ Systems
Reproductive Cell Cycles
Biological Sciences Subdisciplines
Cellular Energy Metabolism
Autotrophic Energy Processes
Inheritance Patterns and Principles
Biomolecular Structure and Organization
Cell Cycle and Division Mechanics
Cellular Organization and Development
Biological Structural Organization
Affiche tous les sujets
Chemical Sciences and Applications
Atomic Structure and Composition
Molecular Electron Structure Representation
Atomic Electron Behavior
Matter Properties and Water
Mole Concept and Calculations
Gas Laws and Behavior
Periodic Table Organization
Chemical Thermodynamics Fundamentals
Chemical Bond Types and Properties
Affiche tous les sujets
European Renaissance and Enlightenment
European Cultural Movements 800-1920
American Revolution Era 1763-1797
American Civil War 1861-1865
Global Imperial Systems
Mongol and Chinese Dynasties
U.S. Presidents and World Leaders
Historical Sources and Documentation
World Wars Era and Impact
World Religious Systems
Affiche tous les sujets
Classic and Contemporary Novels
Literary Character Analysis
Rhetorical Theory and Practice
Classic Literary Narratives
Reading Analysis and Interpretation
Narrative Structure and Techniques
English Language Components
Influential English-Language Authors
Basic Sentence Structure
Narrative Voice and Perspective
Affiche tous les sujets
668
•
Mis à jour Apr 12, 2026
•






Cette page examine en détail les premières lignes du texte de Fontenelle. L'auteur insiste sur l'importance d'analyser les faits avant de les interpréter, adoptant un ton dogmatique. Il oppose sa méthode rigoureuse et lente à celle, trop rapide, de ses adversaires. Fontenelle annonce ensuite un récit plaisant, mêlant didactique et divertissement, caractéristique du genre de l'apologue.
Vocabulaire : Un apologue est un récit bref qui vise à illustrer une vérité morale de façon plaisante.
Highlight : Fontenelle allie le didactique et le plaisant dans son texte, cherchant à la fois à convaincre et à divertir le lecteur.

Cette page se concentre sur le récit de la "dent d'or" utilisé par Fontenelle pour illustrer le mauvais raisonnement. L'histoire se déroule en Silésie en 1593, mettant en scène un enfant de sept ans à qui pousse une dent en or. Fontenelle parodie la description scientifique en introduisant un professeur de médecine nommé Horstius. Le raisonnement présenté mêle de façon incongrue des éléments religieux à une prétendue démarche scientifique, ce qui permet à l'auteur de critiquer le manque de rigueur de certains savants.
Exemple : Le raisonnement parodié inclut des références à Dieu, aux chrétiens et aux Turcs, sans rapport avec le problème de la dent en or.
Highlight : Fontenelle utilise la parodie pour discréditer le raisonnement pseudo-scientifique mêlé de considérations religieuses.

Cette page n'est pas présente dans le texte fourni.

Cette page n'est pas présente dans le texte fourni.

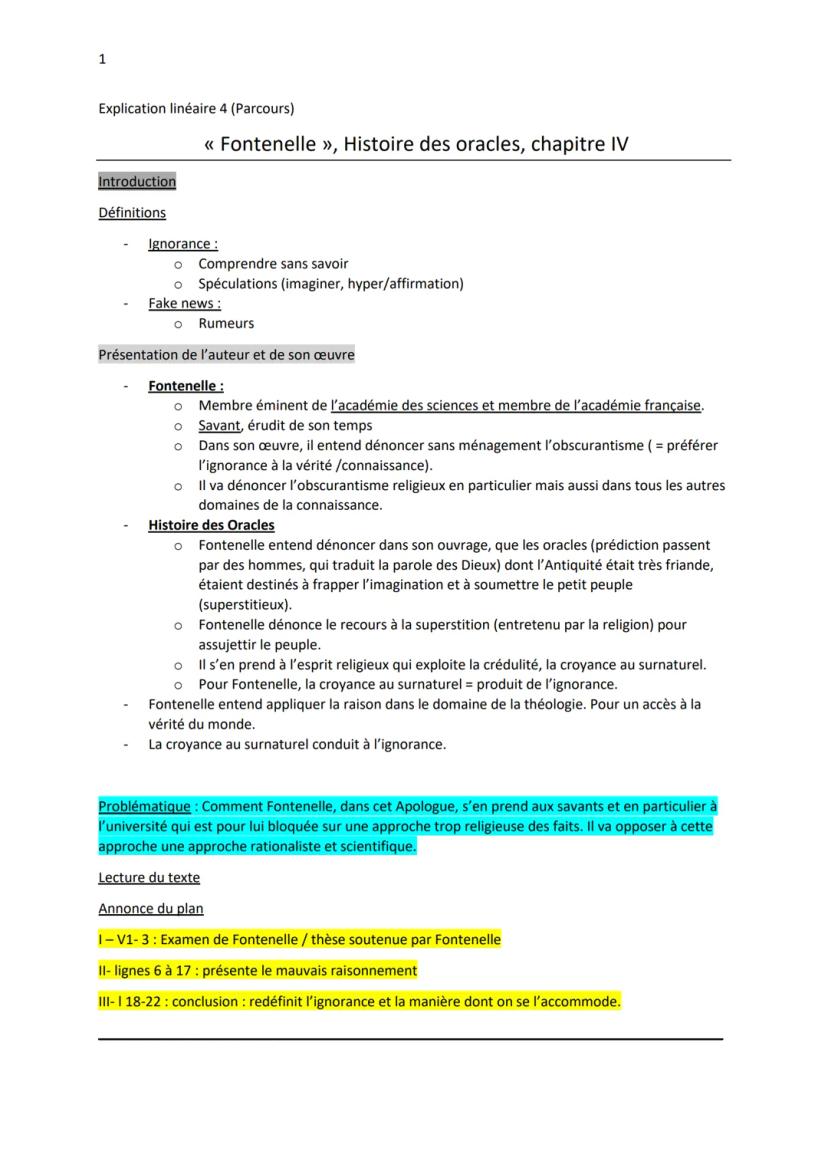
Cette page présente Fontenelle et son ouvrage "Histoire des oracles". L'auteur, membre éminent de l'Académie des sciences et de l'Académie française, entend dénoncer l'obscurantisme religieux et la superstition. Il critique le recours au surnaturel pour assujettir le peuple et prône une approche rationnelle des faits. La problématique du texte est exposée : comment Fontenelle s'oppose à l'approche trop religieuse des savants en proposant une méthode rationaliste et scientifique.
Définition : L'obscurantisme désigne la préférence pour l'ignorance plutôt que la vérité ou la connaissance.
Citation : "Pour Fontenelle, la croyance au surnaturel = produit de l'ignorance."
Notre compagnon IA est spécialement conçu pour répondre aux besoins des étudiants. Sur la base des millions d'éléments de contenu que nous avons sur la plateforme, nous pouvons fournir des réponses vraiment significatives et pertinentes aux étudiants. Mais il ne s'agit pas seulement de réponses, le compagnon a encore plus pour but de guider les élèves dans leurs défis d'apprentissage quotidiens, avec des plans d'étude personnalisés, des quiz ou des éléments de contenu dans le chat et une personnalisation à 100% basée sur les compétences et les développements de l'étudiant.
Tu peux télécharger l'application dans Google Play Store et dans l'App Store d'Apple.
Oui, tu as un accès entièrement gratuit à tous les contenus de l'appli, tu peux chatter ou suivre les créateurs à tout moment. De plus, nous proposons Knowunity Premium, qui te permet de réviser sans limites!
App Store
Google Play
L'application est très facile d'utilisation et bien conçue. Jusqu'à présent, j'ai trouvé tout ce que je cherchais et j'ai pu apprendre beaucoup de choses grâce aux présentations ! Je vais certainement utiliser l'application pour un travail en classe ! Et comme source d'inspiration personnelle, elle est bien sûr aussi très utile.
Stefan S
utilisateur iOS
Cette application est vraiment super. Il y a tellement de fiches de révision et d'aide, [...]. Par exemple, la matière qui me pose problème est le français et l'appli a un choix d'aide très large. Grâce à cette application, je me suis améliorée en français. Je la recommanderais à tout le monde.
Samantha Klich
utilisatrice Android
Waouh, je suis vraiment abasourdi. J'ai essayé l'application parce que je l'avais déjà vue plusieurs fois dans la publicité et j'ai été absolument choquée. Cette appli est L'AIDE dont on rêve pour l'école et surtout, elle propose tellement de choses, comme des rédactions et des fiches qui m'ont personnellement TRÈS bien aidé.
Anna
utilisatrice iOS
Meilleur application je voulais m'entraîner pour mes maths puis j'ai tout compris d'un coup c'est mon nouveau prof maintenant 🤣🤣
Thomas R
utilisateur d' Android
super application pour réviser je révise tout les soirs
Esteban M
utilisateur d'Android
Permet de vraiment comprendre les cours sous forme de fiches de révisions déjà faites ! Incroyable, je recommande vraiment
Leny
utilisateur d'Android
L'application est tout simplement géniale ! Il me suffit de taper mon sujet dans la barre de recherche et je le vérifie très rapidement. Je ne dois plus regarder 10 vidéos YouTube pour comprendre quelque chose et j'économise ainsi mon temps. Je te le recommande !
Sudenaz Ocak
utilisateur Android
Cette application m'a vraiment fait m'améliorer ! J'étais vraiment nul en maths à l'école et grâce à l'appli, je suis meilleur en maths ! Je suis tellement reconnaissante que vous ayez créé cette application.
Greenlight Bonnie
utilisateur Android
PARFAIT 🌟 💕🔥 ça facilite Vrmt la révision avec des fiches de révisions fascinants✨🥰
Khady
utilisatrice d'Android
Je conseille vraiment ! je galère à avoir des cours clairs et ça aide énormément !!
Claire
utilisatrice iOS
LES QUIZ ET CARTES MÉMOIRE SONT TROP UTILES ET J'ADORE Knowunity IA. C'EST LITTÉRALEMENT COMME CHATGPT MAIS EN PLUS INTELLIGENT !! ÇA M'A AIDÉ AVEC MES PROBLÈMES DE MASCARA AUSSI !! AINSI QUE MES VRAIES MATIÈRES ! ÉVIDEMMENT 😍😁😲🤑💗✨🎀😮
Raoul
utilisateur IOS
Knowunity est vraiment une application incroyable elle est pour tous les âges et s’adapte à tous les niveaux.Elle permet de mieux comprendre et apprendre. Cette application est super pour les devoirs et pour les contrôles je la recommande à tous le monde petit ou grands
Ella
utilisatrice iOS
L'application est très facile d'utilisation et bien conçue. Jusqu'à présent, j'ai trouvé tout ce que je cherchais et j'ai pu apprendre beaucoup de choses grâce aux présentations ! Je vais certainement utiliser l'application pour un travail en classe ! Et comme source d'inspiration personnelle, elle est bien sûr aussi très utile.
Stefan S
utilisateur iOS
Cette application est vraiment super. Il y a tellement de fiches de révision et d'aide, [...]. Par exemple, la matière qui me pose problème est le français et l'appli a un choix d'aide très large. Grâce à cette application, je me suis améliorée en français. Je la recommanderais à tout le monde.
Samantha Klich
utilisatrice Android
Waouh, je suis vraiment abasourdi. J'ai essayé l'application parce que je l'avais déjà vue plusieurs fois dans la publicité et j'ai été absolument choquée. Cette appli est L'AIDE dont on rêve pour l'école et surtout, elle propose tellement de choses, comme des rédactions et des fiches qui m'ont personnellement TRÈS bien aidé.
Anna
utilisatrice iOS
Meilleur application je voulais m'entraîner pour mes maths puis j'ai tout compris d'un coup c'est mon nouveau prof maintenant 🤣🤣
Thomas R
utilisateur d' Android
super application pour réviser je révise tout les soirs
Esteban M
utilisateur d'Android
Permet de vraiment comprendre les cours sous forme de fiches de révisions déjà faites ! Incroyable, je recommande vraiment
Leny
utilisateur d'Android
L'application est tout simplement géniale ! Il me suffit de taper mon sujet dans la barre de recherche et je le vérifie très rapidement. Je ne dois plus regarder 10 vidéos YouTube pour comprendre quelque chose et j'économise ainsi mon temps. Je te le recommande !
Sudenaz Ocak
utilisateur Android
Cette application m'a vraiment fait m'améliorer ! J'étais vraiment nul en maths à l'école et grâce à l'appli, je suis meilleur en maths ! Je suis tellement reconnaissante que vous ayez créé cette application.
Greenlight Bonnie
utilisateur Android
PARFAIT 🌟 💕🔥 ça facilite Vrmt la révision avec des fiches de révisions fascinants✨🥰
Khady
utilisatrice d'Android
Je conseille vraiment ! je galère à avoir des cours clairs et ça aide énormément !!
Claire
utilisatrice iOS
LES QUIZ ET CARTES MÉMOIRE SONT TROP UTILES ET J'ADORE Knowunity IA. C'EST LITTÉRALEMENT COMME CHATGPT MAIS EN PLUS INTELLIGENT !! ÇA M'A AIDÉ AVEC MES PROBLÈMES DE MASCARA AUSSI !! AINSI QUE MES VRAIES MATIÈRES ! ÉVIDEMMENT 😍😁😲🤑💗✨🎀😮
Raoul
utilisateur IOS
Knowunity est vraiment une application incroyable elle est pour tous les âges et s’adapte à tous les niveaux.Elle permet de mieux comprendre et apprendre. Cette application est super pour les devoirs et pour les contrôles je la recommande à tous le monde petit ou grands
Ella
utilisatrice iOS

Accès à tous les documents
Améliore tes notes
Rejoins des millions d'étudiants
Cette page examine en détail les premières lignes du texte de Fontenelle. L'auteur insiste sur l'importance d'analyser les faits avant de les interpréter, adoptant un ton dogmatique. Il oppose sa méthode rigoureuse et lente à celle, trop rapide, de ses adversaires. Fontenelle annonce ensuite un récit plaisant, mêlant didactique et divertissement, caractéristique du genre de l'apologue.
Vocabulaire : Un apologue est un récit bref qui vise à illustrer une vérité morale de façon plaisante.
Highlight : Fontenelle allie le didactique et le plaisant dans son texte, cherchant à la fois à convaincre et à divertir le lecteur.

Accès à tous les documents
Améliore tes notes
Rejoins des millions d'étudiants
Cette page se concentre sur le récit de la "dent d'or" utilisé par Fontenelle pour illustrer le mauvais raisonnement. L'histoire se déroule en Silésie en 1593, mettant en scène un enfant de sept ans à qui pousse une dent en or. Fontenelle parodie la description scientifique en introduisant un professeur de médecine nommé Horstius. Le raisonnement présenté mêle de façon incongrue des éléments religieux à une prétendue démarche scientifique, ce qui permet à l'auteur de critiquer le manque de rigueur de certains savants.
Exemple : Le raisonnement parodié inclut des références à Dieu, aux chrétiens et aux Turcs, sans rapport avec le problème de la dent en or.
Highlight : Fontenelle utilise la parodie pour discréditer le raisonnement pseudo-scientifique mêlé de considérations religieuses.

Accès à tous les documents
Améliore tes notes
Rejoins des millions d'étudiants
Cette page n'est pas présente dans le texte fourni.

Accès à tous les documents
Améliore tes notes
Rejoins des millions d'étudiants
Cette page n'est pas présente dans le texte fourni.

Accès à tous les documents
Améliore tes notes
Rejoins des millions d'étudiants
Cette page présente Fontenelle et son ouvrage "Histoire des oracles". L'auteur, membre éminent de l'Académie des sciences et de l'Académie française, entend dénoncer l'obscurantisme religieux et la superstition. Il critique le recours au surnaturel pour assujettir le peuple et prône une approche rationnelle des faits. La problématique du texte est exposée : comment Fontenelle s'oppose à l'approche trop religieuse des savants en proposant une méthode rationaliste et scientifique.
Définition : L'obscurantisme désigne la préférence pour l'ignorance plutôt que la vérité ou la connaissance.
Citation : "Pour Fontenelle, la croyance au surnaturel = produit de l'ignorance."
Notre compagnon IA est spécialement conçu pour répondre aux besoins des étudiants. Sur la base des millions d'éléments de contenu que nous avons sur la plateforme, nous pouvons fournir des réponses vraiment significatives et pertinentes aux étudiants. Mais il ne s'agit pas seulement de réponses, le compagnon a encore plus pour but de guider les élèves dans leurs défis d'apprentissage quotidiens, avec des plans d'étude personnalisés, des quiz ou des éléments de contenu dans le chat et une personnalisation à 100% basée sur les compétences et les développements de l'étudiant.
Tu peux télécharger l'application dans Google Play Store et dans l'App Store d'Apple.
Oui, tu as un accès entièrement gratuit à tous les contenus de l'appli, tu peux chatter ou suivre les créateurs à tout moment. De plus, nous proposons Knowunity Premium, qui te permet de réviser sans limites!
20
Outils Intelligents NOUVEAU
Transforme cette fiche en : ✓ 50+ Questions d'Entraînement ✓ Cartes Mémoire Interactives ✓ Examen blanc complet ✓ Plans de Dissertation
Explorez une analyse approfondie du poème 'L'Ennemi' de Charles Baudelaire, extrait des 'Fleurs du Mal'. Cette étude linéaire aborde les thèmes de la fuite du temps, de l'angoisse existentielle et de l'espoir de renouveau, tout en mettant en lumière les métaphores et les allégories caractéristiques de la poésie baudelairienne. Idéal pour la préparation à l'oral du bac.
Explorez l'analyse approfondie du poème 'Melancholia' de Victor Hugo, qui dénonce le travail des enfants dans le contexte de l'industrialisation. Cette étude met en lumière les techniques poétiques utilisées par Hugo, telles que l'anaphore, l'allitération et les antithèses, pour susciter l'émotion et la réflexion sur la condition des plus vulnérables. Type : Analyse littéraire.
Explorez une analyse approfondie du poème 'Les métamorphoses du vampire' de Charles Baudelaire. Cette étude linéaire aborde les thèmes de l'érotisme, de la mort et de la réification de la femme, tout en mettant en lumière les métamorphoses et les symboles présents dans l'œuvre. Idéal pour les étudiants préparant le bac de français.
Explorez une analyse détaillée du chapitre 17 de 'Le Rouge et le Noir' de Stendhal. Cette étude met en lumière les procédés littéraires tels que l'ironie, la théâtralité et les tensions dramatiques, tout en examinant les personnages de Julien et Mathilde. Idéal pour les étudiants en littérature cherchant à approfondir leur compréhension des thèmes et des techniques narratives.
Explorez l'analyse linéaire de la scène tragique de la mort de Manon dans 'Manon Lescaut'. Ce document met en lumière les procédés littéraires tels que la périphrase, l'hyperbole et l'impératif, tout en soulignant l'émotion intense et la souffrance des personnages. Idéal pour les étudiants en littérature cherchant à comprendre les thèmes de l'amour, du sacrifice et du destin dans ce roman classique.
Découvrez des méthodes pratiques pour rédiger des essais convaincants et résumer des textes en français. Ce guide aborde l'analyse de sujet, la recherche d'arguments, l'élaboration de plans, et les techniques de résumé. Idéal pour les étudiants en première techno préparant le bac de français.
App Store
Google Play
L'application est très facile d'utilisation et bien conçue. Jusqu'à présent, j'ai trouvé tout ce que je cherchais et j'ai pu apprendre beaucoup de choses grâce aux présentations ! Je vais certainement utiliser l'application pour un travail en classe ! Et comme source d'inspiration personnelle, elle est bien sûr aussi très utile.
Stefan S
utilisateur iOS
Cette application est vraiment super. Il y a tellement de fiches de révision et d'aide, [...]. Par exemple, la matière qui me pose problème est le français et l'appli a un choix d'aide très large. Grâce à cette application, je me suis améliorée en français. Je la recommanderais à tout le monde.
Samantha Klich
utilisatrice Android
Waouh, je suis vraiment abasourdi. J'ai essayé l'application parce que je l'avais déjà vue plusieurs fois dans la publicité et j'ai été absolument choquée. Cette appli est L'AIDE dont on rêve pour l'école et surtout, elle propose tellement de choses, comme des rédactions et des fiches qui m'ont personnellement TRÈS bien aidé.
Anna
utilisatrice iOS
Meilleur application je voulais m'entraîner pour mes maths puis j'ai tout compris d'un coup c'est mon nouveau prof maintenant 🤣🤣
Thomas R
utilisateur d' Android
super application pour réviser je révise tout les soirs
Esteban M
utilisateur d'Android
Permet de vraiment comprendre les cours sous forme de fiches de révisions déjà faites ! Incroyable, je recommande vraiment
Leny
utilisateur d'Android
L'application est tout simplement géniale ! Il me suffit de taper mon sujet dans la barre de recherche et je le vérifie très rapidement. Je ne dois plus regarder 10 vidéos YouTube pour comprendre quelque chose et j'économise ainsi mon temps. Je te le recommande !
Sudenaz Ocak
utilisateur Android
Cette application m'a vraiment fait m'améliorer ! J'étais vraiment nul en maths à l'école et grâce à l'appli, je suis meilleur en maths ! Je suis tellement reconnaissante que vous ayez créé cette application.
Greenlight Bonnie
utilisateur Android
PARFAIT 🌟 💕🔥 ça facilite Vrmt la révision avec des fiches de révisions fascinants✨🥰
Khady
utilisatrice d'Android
Je conseille vraiment ! je galère à avoir des cours clairs et ça aide énormément !!
Claire
utilisatrice iOS
LES QUIZ ET CARTES MÉMOIRE SONT TROP UTILES ET J'ADORE Knowunity IA. C'EST LITTÉRALEMENT COMME CHATGPT MAIS EN PLUS INTELLIGENT !! ÇA M'A AIDÉ AVEC MES PROBLÈMES DE MASCARA AUSSI !! AINSI QUE MES VRAIES MATIÈRES ! ÉVIDEMMENT 😍😁😲🤑💗✨🎀😮
Raoul
utilisateur IOS
Knowunity est vraiment une application incroyable elle est pour tous les âges et s’adapte à tous les niveaux.Elle permet de mieux comprendre et apprendre. Cette application est super pour les devoirs et pour les contrôles je la recommande à tous le monde petit ou grands
Ella
utilisatrice iOS
L'application est très facile d'utilisation et bien conçue. Jusqu'à présent, j'ai trouvé tout ce que je cherchais et j'ai pu apprendre beaucoup de choses grâce aux présentations ! Je vais certainement utiliser l'application pour un travail en classe ! Et comme source d'inspiration personnelle, elle est bien sûr aussi très utile.
Stefan S
utilisateur iOS
Cette application est vraiment super. Il y a tellement de fiches de révision et d'aide, [...]. Par exemple, la matière qui me pose problème est le français et l'appli a un choix d'aide très large. Grâce à cette application, je me suis améliorée en français. Je la recommanderais à tout le monde.
Samantha Klich
utilisatrice Android
Waouh, je suis vraiment abasourdi. J'ai essayé l'application parce que je l'avais déjà vue plusieurs fois dans la publicité et j'ai été absolument choquée. Cette appli est L'AIDE dont on rêve pour l'école et surtout, elle propose tellement de choses, comme des rédactions et des fiches qui m'ont personnellement TRÈS bien aidé.
Anna
utilisatrice iOS
Meilleur application je voulais m'entraîner pour mes maths puis j'ai tout compris d'un coup c'est mon nouveau prof maintenant 🤣🤣
Thomas R
utilisateur d' Android
super application pour réviser je révise tout les soirs
Esteban M
utilisateur d'Android
Permet de vraiment comprendre les cours sous forme de fiches de révisions déjà faites ! Incroyable, je recommande vraiment
Leny
utilisateur d'Android
L'application est tout simplement géniale ! Il me suffit de taper mon sujet dans la barre de recherche et je le vérifie très rapidement. Je ne dois plus regarder 10 vidéos YouTube pour comprendre quelque chose et j'économise ainsi mon temps. Je te le recommande !
Sudenaz Ocak
utilisateur Android
Cette application m'a vraiment fait m'améliorer ! J'étais vraiment nul en maths à l'école et grâce à l'appli, je suis meilleur en maths ! Je suis tellement reconnaissante que vous ayez créé cette application.
Greenlight Bonnie
utilisateur Android
PARFAIT 🌟 💕🔥 ça facilite Vrmt la révision avec des fiches de révisions fascinants✨🥰
Khady
utilisatrice d'Android
Je conseille vraiment ! je galère à avoir des cours clairs et ça aide énormément !!
Claire
utilisatrice iOS
LES QUIZ ET CARTES MÉMOIRE SONT TROP UTILES ET J'ADORE Knowunity IA. C'EST LITTÉRALEMENT COMME CHATGPT MAIS EN PLUS INTELLIGENT !! ÇA M'A AIDÉ AVEC MES PROBLÈMES DE MASCARA AUSSI !! AINSI QUE MES VRAIES MATIÈRES ! ÉVIDEMMENT 😍😁😲🤑💗✨🎀😮
Raoul
utilisateur IOS
Knowunity est vraiment une application incroyable elle est pour tous les âges et s’adapte à tous les niveaux.Elle permet de mieux comprendre et apprendre. Cette application est super pour les devoirs et pour les contrôles je la recommande à tous le monde petit ou grands
Ella
utilisatrice iOS