Les circuits RC sont partout dans notre quotidien, des claviers... Affiche plus
Inscris-toi pour voir le contenuC'est gratuit!
Accès à tous les documents
Améliore tes notes
Rejoins des millions d'étudiants
Knowunity AI
Matières
Triangle Congruence and Similarity Theorems
Triangle Properties and Classification
Linear Equations and Graphs
Geometric Angle Relationships
Trigonometric Functions and Identities
Equation Solving Techniques
Circle Geometry Fundamentals
Division Operations and Methods
Basic Differentiation Rules
Exponent and Logarithm Properties
Affiche tous les sujets
Human Organ Systems
Reproductive Cell Cycles
Biological Sciences Subdisciplines
Cellular Energy Metabolism
Autotrophic Energy Processes
Inheritance Patterns and Principles
Biomolecular Structure and Organization
Cell Cycle and Division Mechanics
Cellular Organization and Development
Biological Structural Organization
Affiche tous les sujets
Chemical Sciences and Applications
Atomic Structure and Composition
Molecular Electron Structure Representation
Atomic Electron Behavior
Matter Properties and Water
Mole Concept and Calculations
Gas Laws and Behavior
Periodic Table Organization
Chemical Thermodynamics Fundamentals
Chemical Bond Types and Properties
Affiche tous les sujets
European Renaissance and Enlightenment
European Cultural Movements 800-1920
American Revolution Era 1763-1797
American Civil War 1861-1865
Global Imperial Systems
Mongol and Chinese Dynasties
U.S. Presidents and World Leaders
Historical Sources and Documentation
World Wars Era and Impact
World Religious Systems
Affiche tous les sujets
Classic and Contemporary Novels
Literary Character Analysis
Rhetorical Theory and Practice
Classic Literary Narratives
Reading Analysis and Interpretation
Narrative Structure and Techniques
English Language Components
Influential English-Language Authors
Basic Sentence Structure
Narrative Voice and Perspective
Affiche tous les sujets
259
•
Mis à jour Mar 13, 2026
•
Meggy
@daisy_skz
Les circuits RC sont partout dans notre quotidien, des claviers... Affiche plus





L'intensité électrique mesure la quantité de charges qui traverse un conducteur par unité de temps : i = Q/Δt. C'est comme compter le nombre de voitures qui passent sur une route chaque seconde.
Un condensateur se compose de deux armatures conductrices séparées par un isolant (diélectrique). Quand tu appliques une tension, les charges s'accumulent sur chaque armature, créant une différence de potentiel.
La capacité d'un condensateur (en Farad) détermine sa capacité à stocker des charges : q = C × Uc. Plus C est grand, plus le condensateur peut stocker d'énergie. Dans la réalité, on utilise souvent des nanoFarads (nF) ou microFarads (µF).
À retenir : Un condensateur chargé peut alimenter un circuit même quand la source est coupée, comme une mini-batterie !

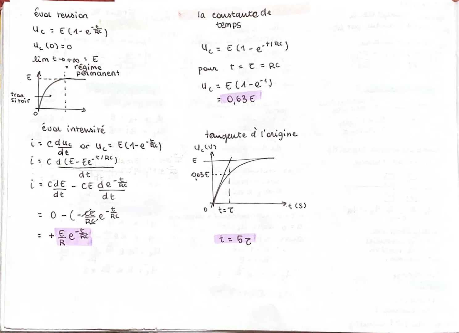
Quand tu fermes l'interrupteur dans un circuit RC série, le condensateur ne se charge pas instantanément. La tension suit une loi exponentielle : Uc = E.
Au début , Uc = 0V et l'intensité est maximale . Progressivement, le condensateur se charge et l'intensité diminue exponentiellement : i = e^.
La constante de temps τ = RC est cruciale : elle indique la rapidité de charge. À t = τ, le condensateur atteint 63% de sa charge finale. Après 5τ, il est pratiquement chargé à 100%.
Astuce pratique : Plus R ou C sont grands, plus la charge est lente. C'est pourquoi les condensateurs de forte capacité mettent du temps à se charger !

Lors de la décharge, le condensateur joue le rôle de générateur. La tension décroît exponentiellement selon : Uc = Ee^. C'est l'inverse de la charge !
À t = τ, la tension chute à 37% de sa valeur initiale (0,37E). L'intensité de décharge suit la même loi exponentielle décroissante.
La constante de temps τ = RC reste identique pour la charge et la décharge. Tu peux vérifier les unités : R en Ω et C en F donnent bien τ en secondes.
Point clé : Après 5τ, le condensateur est considéré comme totalement déchargé en pratique.

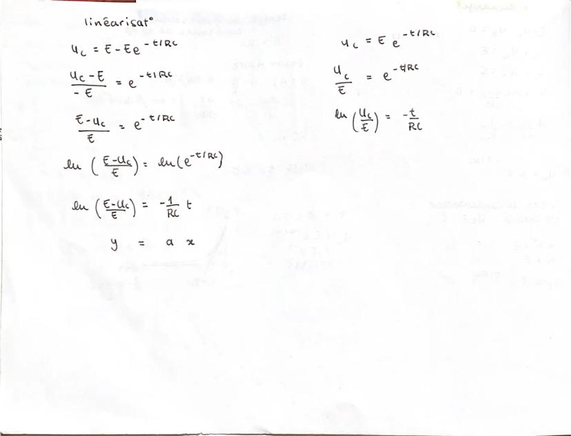
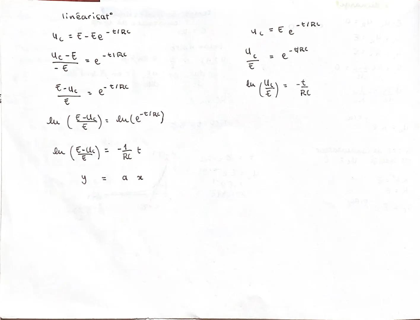
Pour déterminer expérimentalement la constante de temps, on linéarise les équations exponentielles. En prenant le logarithme népérien, on transforme les courbes exponentielles en droites.
Pour la charge : ln = -t/RC. Pour la décharge : ln = -t/RC. La pente de ces droites vaut -1/RC, ce qui permet de calculer τ.
Cette méthode est super pratique en TP : tu traces la droite et tu lis directement la constante de temps sur le graphique !
Technique d'examen : Maîtrise la linéarisation, c'est souvent demandé pour exploiter des données expérimentales.
Notre compagnon IA est spécialement conçu pour répondre aux besoins des étudiants. Sur la base des millions d'éléments de contenu que nous avons sur la plateforme, nous pouvons fournir des réponses vraiment significatives et pertinentes aux étudiants. Mais il ne s'agit pas seulement de réponses, le compagnon a encore plus pour but de guider les élèves dans leurs défis d'apprentissage quotidiens, avec des plans d'étude personnalisés, des quiz ou des éléments de contenu dans le chat et une personnalisation à 100% basée sur les compétences et les développements de l'étudiant.
Tu peux télécharger l'application dans Google Play Store et dans l'App Store d'Apple.
Oui, tu as un accès entièrement gratuit à tous les contenus de l'appli, tu peux chatter ou suivre les créateurs à tout moment. De plus, nous proposons Knowunity Premium, qui te permet de réviser sans limites!
Explorez les principes fondamentaux de la charge d'un circuit RC, y compris les équations différentielles, la capacité, et la constante de temps. Ce résumé aborde les concepts clés tels que la relation entre intensité et courant, ainsi que les limites de charge du condensateur. Idéal pour les étudiants en physique cherchant à maîtriser les dynamiques des systèmes électriques.
App Store
Google Play
L'application est très facile d'utilisation et bien conçue. Jusqu'à présent, j'ai trouvé tout ce que je cherchais et j'ai pu apprendre beaucoup de choses grâce aux présentations ! Je vais certainement utiliser l'application pour un travail en classe ! Et comme source d'inspiration personnelle, elle est bien sûr aussi très utile.
Stefan S
utilisateur iOS
Cette application est vraiment super. Il y a tellement de fiches de révision et d'aide, [...]. Par exemple, la matière qui me pose problème est le français et l'appli a un choix d'aide très large. Grâce à cette application, je me suis améliorée en français. Je la recommanderais à tout le monde.
Samantha Klich
utilisatrice Android
Waouh, je suis vraiment abasourdi. J'ai essayé l'application parce que je l'avais déjà vue plusieurs fois dans la publicité et j'ai été absolument choquée. Cette appli est L'AIDE dont on rêve pour l'école et surtout, elle propose tellement de choses, comme des rédactions et des fiches qui m'ont personnellement TRÈS bien aidé.
Anna
utilisatrice iOS
Meilleur application je voulais m'entraîner pour mes maths puis j'ai tout compris d'un coup c'est mon nouveau prof maintenant 🤣🤣
Thomas R
utilisateur d' Android
super application pour réviser je révise tout les soirs
Esteban M
utilisateur d'Android
Permet de vraiment comprendre les cours sous forme de fiches de révisions déjà faites ! Incroyable, je recommande vraiment
Leny
utilisateur d'Android
L'application est tout simplement géniale ! Il me suffit de taper mon sujet dans la barre de recherche et je le vérifie très rapidement. Je ne dois plus regarder 10 vidéos YouTube pour comprendre quelque chose et j'économise ainsi mon temps. Je te le recommande !
Sudenaz Ocak
utilisateur Android
Cette application m'a vraiment fait m'améliorer ! J'étais vraiment nul en maths à l'école et grâce à l'appli, je suis meilleur en maths ! Je suis tellement reconnaissante que vous ayez créé cette application.
Greenlight Bonnie
utilisateur Android
PARFAIT 🌟 💕🔥 ça facilite Vrmt la révision avec des fiches de révisions fascinants✨🥰
Khady
utilisatrice d'Android
Je conseille vraiment ! je galère à avoir des cours clairs et ça aide énormément !!
Claire
utilisatrice iOS
LES QUIZ ET CARTES MÉMOIRE SONT TROP UTILES ET J'ADORE Knowunity IA. C'EST LITTÉRALEMENT COMME CHATGPT MAIS EN PLUS INTELLIGENT !! ÇA M'A AIDÉ AVEC MES PROBLÈMES DE MASCARA AUSSI !! AINSI QUE MES VRAIES MATIÈRES ! ÉVIDEMMENT 😍😁😲🤑💗✨🎀😮
Raoul
utilisateur IOS
Knowunity est vraiment une application incroyable elle est pour tous les âges et s’adapte à tous les niveaux.Elle permet de mieux comprendre et apprendre. Cette application est super pour les devoirs et pour les contrôles je la recommande à tous le monde petit ou grands
Ella
utilisatrice iOS
L'application est très facile d'utilisation et bien conçue. Jusqu'à présent, j'ai trouvé tout ce que je cherchais et j'ai pu apprendre beaucoup de choses grâce aux présentations ! Je vais certainement utiliser l'application pour un travail en classe ! Et comme source d'inspiration personnelle, elle est bien sûr aussi très utile.
Stefan S
utilisateur iOS
Cette application est vraiment super. Il y a tellement de fiches de révision et d'aide, [...]. Par exemple, la matière qui me pose problème est le français et l'appli a un choix d'aide très large. Grâce à cette application, je me suis améliorée en français. Je la recommanderais à tout le monde.
Samantha Klich
utilisatrice Android
Waouh, je suis vraiment abasourdi. J'ai essayé l'application parce que je l'avais déjà vue plusieurs fois dans la publicité et j'ai été absolument choquée. Cette appli est L'AIDE dont on rêve pour l'école et surtout, elle propose tellement de choses, comme des rédactions et des fiches qui m'ont personnellement TRÈS bien aidé.
Anna
utilisatrice iOS
Meilleur application je voulais m'entraîner pour mes maths puis j'ai tout compris d'un coup c'est mon nouveau prof maintenant 🤣🤣
Thomas R
utilisateur d' Android
super application pour réviser je révise tout les soirs
Esteban M
utilisateur d'Android
Permet de vraiment comprendre les cours sous forme de fiches de révisions déjà faites ! Incroyable, je recommande vraiment
Leny
utilisateur d'Android
L'application est tout simplement géniale ! Il me suffit de taper mon sujet dans la barre de recherche et je le vérifie très rapidement. Je ne dois plus regarder 10 vidéos YouTube pour comprendre quelque chose et j'économise ainsi mon temps. Je te le recommande !
Sudenaz Ocak
utilisateur Android
Cette application m'a vraiment fait m'améliorer ! J'étais vraiment nul en maths à l'école et grâce à l'appli, je suis meilleur en maths ! Je suis tellement reconnaissante que vous ayez créé cette application.
Greenlight Bonnie
utilisateur Android
PARFAIT 🌟 💕🔥 ça facilite Vrmt la révision avec des fiches de révisions fascinants✨🥰
Khady
utilisatrice d'Android
Je conseille vraiment ! je galère à avoir des cours clairs et ça aide énormément !!
Claire
utilisatrice iOS
LES QUIZ ET CARTES MÉMOIRE SONT TROP UTILES ET J'ADORE Knowunity IA. C'EST LITTÉRALEMENT COMME CHATGPT MAIS EN PLUS INTELLIGENT !! ÇA M'A AIDÉ AVEC MES PROBLÈMES DE MASCARA AUSSI !! AINSI QUE MES VRAIES MATIÈRES ! ÉVIDEMMENT 😍😁😲🤑💗✨🎀😮
Raoul
utilisateur IOS
Knowunity est vraiment une application incroyable elle est pour tous les âges et s’adapte à tous les niveaux.Elle permet de mieux comprendre et apprendre. Cette application est super pour les devoirs et pour les contrôles je la recommande à tous le monde petit ou grands
Ella
utilisatrice iOS
Meggy
@daisy_skz
Les circuits RC sont partout dans notre quotidien, des claviers tactiles aux chargeurs de téléphone. Tu vas comprendre comment les condensateurs stockent l'énergie et comment analyser leur comportement dans un circuit avec une résistance.

Accès à tous les documents
Améliore tes notes
Rejoins des millions d'étudiants
L'intensité électrique mesure la quantité de charges qui traverse un conducteur par unité de temps : i = Q/Δt. C'est comme compter le nombre de voitures qui passent sur une route chaque seconde.
Un condensateur se compose de deux armatures conductrices séparées par un isolant (diélectrique). Quand tu appliques une tension, les charges s'accumulent sur chaque armature, créant une différence de potentiel.
La capacité d'un condensateur (en Farad) détermine sa capacité à stocker des charges : q = C × Uc. Plus C est grand, plus le condensateur peut stocker d'énergie. Dans la réalité, on utilise souvent des nanoFarads (nF) ou microFarads (µF).
À retenir : Un condensateur chargé peut alimenter un circuit même quand la source est coupée, comme une mini-batterie !

Accès à tous les documents
Améliore tes notes
Rejoins des millions d'étudiants
Quand tu fermes l'interrupteur dans un circuit RC série, le condensateur ne se charge pas instantanément. La tension suit une loi exponentielle : Uc = E.
Au début , Uc = 0V et l'intensité est maximale . Progressivement, le condensateur se charge et l'intensité diminue exponentiellement : i = e^.
La constante de temps τ = RC est cruciale : elle indique la rapidité de charge. À t = τ, le condensateur atteint 63% de sa charge finale. Après 5τ, il est pratiquement chargé à 100%.
Astuce pratique : Plus R ou C sont grands, plus la charge est lente. C'est pourquoi les condensateurs de forte capacité mettent du temps à se charger !

Accès à tous les documents
Améliore tes notes
Rejoins des millions d'étudiants
Lors de la décharge, le condensateur joue le rôle de générateur. La tension décroît exponentiellement selon : Uc = Ee^. C'est l'inverse de la charge !
À t = τ, la tension chute à 37% de sa valeur initiale (0,37E). L'intensité de décharge suit la même loi exponentielle décroissante.
La constante de temps τ = RC reste identique pour la charge et la décharge. Tu peux vérifier les unités : R en Ω et C en F donnent bien τ en secondes.
Point clé : Après 5τ, le condensateur est considéré comme totalement déchargé en pratique.

Accès à tous les documents
Améliore tes notes
Rejoins des millions d'étudiants
Pour déterminer expérimentalement la constante de temps, on linéarise les équations exponentielles. En prenant le logarithme népérien, on transforme les courbes exponentielles en droites.
Pour la charge : ln = -t/RC. Pour la décharge : ln = -t/RC. La pente de ces droites vaut -1/RC, ce qui permet de calculer τ.
Cette méthode est super pratique en TP : tu traces la droite et tu lis directement la constante de temps sur le graphique !
Technique d'examen : Maîtrise la linéarisation, c'est souvent demandé pour exploiter des données expérimentales.
Notre compagnon IA est spécialement conçu pour répondre aux besoins des étudiants. Sur la base des millions d'éléments de contenu que nous avons sur la plateforme, nous pouvons fournir des réponses vraiment significatives et pertinentes aux étudiants. Mais il ne s'agit pas seulement de réponses, le compagnon a encore plus pour but de guider les élèves dans leurs défis d'apprentissage quotidiens, avec des plans d'étude personnalisés, des quiz ou des éléments de contenu dans le chat et une personnalisation à 100% basée sur les compétences et les développements de l'étudiant.
Tu peux télécharger l'application dans Google Play Store et dans l'App Store d'Apple.
Oui, tu as un accès entièrement gratuit à tous les contenus de l'appli, tu peux chatter ou suivre les créateurs à tout moment. De plus, nous proposons Knowunity Premium, qui te permet de réviser sans limites!
12
Outils Intelligents NOUVEAU
Transforme cette fiche en : ✓ 50+ Questions d'Entraînement ✓ Cartes Mémoire Interactives ✓ Examen blanc complet ✓ Plans de Dissertation
Explorez le fonctionnement des alternateurs et des générateurs électriques, y compris les concepts de puissance, d'énergie et les principes de l'induction électromagnétique. Ce résumé aborde les expériences clés, comme celle d'Orsted, et les relations entre courant électrique et champs magnétiques. Type de contenu : résumé scientifique.
Explorez les concepts fondamentaux des circuits RC, y compris la capacité des condensateurs, la constante de temps (τ), et les lois de Kirchhoff. Ce résumé aborde les équations essentielles et les relations entre tension, courant et charge dans un circuit RC. Idéal pour les étudiants en physique et en électronique.
Explorez les principes de l'induction électromagnétique, le fonctionnement des alternateurs, et les calculs essentiels liés à l'énergie électrique. Ce résumé couvre les expériences clés, le rendement des alternateurs, et l'effet Joule, offrant une vue d'ensemble pour les étudiants en physique.
Explorez les propriétés fondamentales des condensateurs, y compris la capacité, la charge et la décharge, ainsi que les relations entre intensité et tension. Ce résumé aborde les concepts clés tels que la capacitance, le comportement capacitif et les équations associées, essentiel pour les étudiants en physique. Type: résumé.
Découvrez les principes fondamentaux de la sécurité électrique, y compris l'utilisation de l'oscilloscope, la tension sinusoïdale, les risques de surintensité, et les moyens de protection comme les disjoncteurs et les fusibles. Apprenez également les règles pour éviter l'électrisation et l'importance du fil de terre. Ce résumé est idéal pour les étudiants en ST2S cherchant à comprendre les bases de la sécurité électrique.
Explorez la dynamique des circuits RC et le comportement des condensateurs. Ce document aborde les concepts clés tels que la capacité, le temps caractéristique, et les lois fondamentales de l'électricité. Idéal pour les étudiants en terminale spécialité physique-chimie.
Explorez les principes fondamentaux de la charge d'un circuit RC, y compris les équations différentielles, la capacité, et la constante de temps. Ce résumé aborde les concepts clés tels que la relation entre intensité et courant, ainsi que les limites de charge du condensateur. Idéal pour les étudiants en physique cherchant à maîtriser les dynamiques des systèmes électriques.
App Store
Google Play
L'application est très facile d'utilisation et bien conçue. Jusqu'à présent, j'ai trouvé tout ce que je cherchais et j'ai pu apprendre beaucoup de choses grâce aux présentations ! Je vais certainement utiliser l'application pour un travail en classe ! Et comme source d'inspiration personnelle, elle est bien sûr aussi très utile.
Stefan S
utilisateur iOS
Cette application est vraiment super. Il y a tellement de fiches de révision et d'aide, [...]. Par exemple, la matière qui me pose problème est le français et l'appli a un choix d'aide très large. Grâce à cette application, je me suis améliorée en français. Je la recommanderais à tout le monde.
Samantha Klich
utilisatrice Android
Waouh, je suis vraiment abasourdi. J'ai essayé l'application parce que je l'avais déjà vue plusieurs fois dans la publicité et j'ai été absolument choquée. Cette appli est L'AIDE dont on rêve pour l'école et surtout, elle propose tellement de choses, comme des rédactions et des fiches qui m'ont personnellement TRÈS bien aidé.
Anna
utilisatrice iOS
Meilleur application je voulais m'entraîner pour mes maths puis j'ai tout compris d'un coup c'est mon nouveau prof maintenant 🤣🤣
Thomas R
utilisateur d' Android
super application pour réviser je révise tout les soirs
Esteban M
utilisateur d'Android
Permet de vraiment comprendre les cours sous forme de fiches de révisions déjà faites ! Incroyable, je recommande vraiment
Leny
utilisateur d'Android
L'application est tout simplement géniale ! Il me suffit de taper mon sujet dans la barre de recherche et je le vérifie très rapidement. Je ne dois plus regarder 10 vidéos YouTube pour comprendre quelque chose et j'économise ainsi mon temps. Je te le recommande !
Sudenaz Ocak
utilisateur Android
Cette application m'a vraiment fait m'améliorer ! J'étais vraiment nul en maths à l'école et grâce à l'appli, je suis meilleur en maths ! Je suis tellement reconnaissante que vous ayez créé cette application.
Greenlight Bonnie
utilisateur Android
PARFAIT 🌟 💕🔥 ça facilite Vrmt la révision avec des fiches de révisions fascinants✨🥰
Khady
utilisatrice d'Android
Je conseille vraiment ! je galère à avoir des cours clairs et ça aide énormément !!
Claire
utilisatrice iOS
LES QUIZ ET CARTES MÉMOIRE SONT TROP UTILES ET J'ADORE Knowunity IA. C'EST LITTÉRALEMENT COMME CHATGPT MAIS EN PLUS INTELLIGENT !! ÇA M'A AIDÉ AVEC MES PROBLÈMES DE MASCARA AUSSI !! AINSI QUE MES VRAIES MATIÈRES ! ÉVIDEMMENT 😍😁😲🤑💗✨🎀😮
Raoul
utilisateur IOS
Knowunity est vraiment une application incroyable elle est pour tous les âges et s’adapte à tous les niveaux.Elle permet de mieux comprendre et apprendre. Cette application est super pour les devoirs et pour les contrôles je la recommande à tous le monde petit ou grands
Ella
utilisatrice iOS
L'application est très facile d'utilisation et bien conçue. Jusqu'à présent, j'ai trouvé tout ce que je cherchais et j'ai pu apprendre beaucoup de choses grâce aux présentations ! Je vais certainement utiliser l'application pour un travail en classe ! Et comme source d'inspiration personnelle, elle est bien sûr aussi très utile.
Stefan S
utilisateur iOS
Cette application est vraiment super. Il y a tellement de fiches de révision et d'aide, [...]. Par exemple, la matière qui me pose problème est le français et l'appli a un choix d'aide très large. Grâce à cette application, je me suis améliorée en français. Je la recommanderais à tout le monde.
Samantha Klich
utilisatrice Android
Waouh, je suis vraiment abasourdi. J'ai essayé l'application parce que je l'avais déjà vue plusieurs fois dans la publicité et j'ai été absolument choquée. Cette appli est L'AIDE dont on rêve pour l'école et surtout, elle propose tellement de choses, comme des rédactions et des fiches qui m'ont personnellement TRÈS bien aidé.
Anna
utilisatrice iOS
Meilleur application je voulais m'entraîner pour mes maths puis j'ai tout compris d'un coup c'est mon nouveau prof maintenant 🤣🤣
Thomas R
utilisateur d' Android
super application pour réviser je révise tout les soirs
Esteban M
utilisateur d'Android
Permet de vraiment comprendre les cours sous forme de fiches de révisions déjà faites ! Incroyable, je recommande vraiment
Leny
utilisateur d'Android
L'application est tout simplement géniale ! Il me suffit de taper mon sujet dans la barre de recherche et je le vérifie très rapidement. Je ne dois plus regarder 10 vidéos YouTube pour comprendre quelque chose et j'économise ainsi mon temps. Je te le recommande !
Sudenaz Ocak
utilisateur Android
Cette application m'a vraiment fait m'améliorer ! J'étais vraiment nul en maths à l'école et grâce à l'appli, je suis meilleur en maths ! Je suis tellement reconnaissante que vous ayez créé cette application.
Greenlight Bonnie
utilisateur Android
PARFAIT 🌟 💕🔥 ça facilite Vrmt la révision avec des fiches de révisions fascinants✨🥰
Khady
utilisatrice d'Android
Je conseille vraiment ! je galère à avoir des cours clairs et ça aide énormément !!
Claire
utilisatrice iOS
LES QUIZ ET CARTES MÉMOIRE SONT TROP UTILES ET J'ADORE Knowunity IA. C'EST LITTÉRALEMENT COMME CHATGPT MAIS EN PLUS INTELLIGENT !! ÇA M'A AIDÉ AVEC MES PROBLÈMES DE MASCARA AUSSI !! AINSI QUE MES VRAIES MATIÈRES ! ÉVIDEMMENT 😍😁😲🤑💗✨🎀😮
Raoul
utilisateur IOS
Knowunity est vraiment une application incroyable elle est pour tous les âges et s’adapte à tous les niveaux.Elle permet de mieux comprendre et apprendre. Cette application est super pour les devoirs et pour les contrôles je la recommande à tous le monde petit ou grands
Ella
utilisatrice iOS