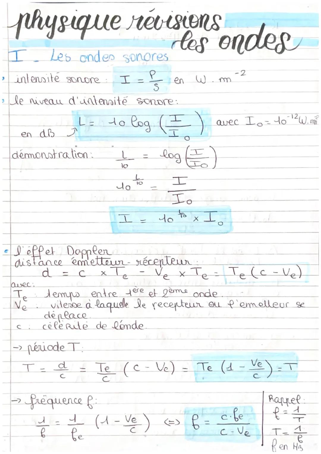
Hello je vous partage ma fiche très complète sur les formules à connaître pour les chapitres sur le sons et la diffraction en physique. Parfait pour réviser le bac j’espère que ça vous aideras ! Bon courage pour vos révisions ! 🦋
Inscris-toi pour voir le contenuC'est gratuit!
Accès à tous les documents
Améliore tes notes
Rejoins des millions d'étudiants
En t'inscrivant, tu acceptes les Conditions d'utilisation et la Politique de confidentialité.

