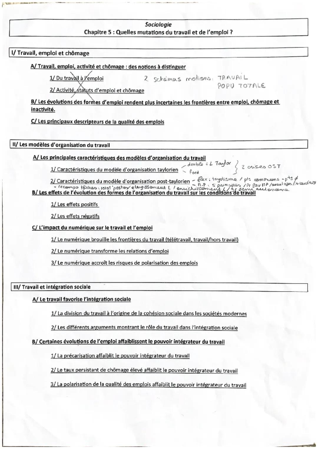
Chapitre 5 : Quelles mutations du travail et de l’emploi ?
Fiche de révision plan + def










Si on te demande...
Qu'est-ce que le compagnon IA de Knowunity ?
Notre compagnon IA est spécialement conçu pour répondre aux besoins des étudiants. Sur la base des millions d'éléments de contenu que nous avons sur la plateforme, nous pouvons fournir des réponses vraiment significatives et pertinentes aux étudiants. Mais il ne s'agit pas seulement de réponses, le compagnon a encore plus pour but de guider les élèves dans leurs défis d'apprentissage quotidiens, avec des plans d'étude personnalisés, des quiz ou des éléments de contenu dans le chat et une personnalisation à 100% basée sur les compétences et les développements de l'étudiant.
Où puis-je télécharger l'appli Knowunity ?
Tu peux télécharger l'application dans Google Play Store et dans l'App Store d'Apple.
L'application est-elle vraiment gratuite ?
Oui, tu as un accès entièrement gratuit à tous les contenus de l'appli, tu peux chatter ou suivre les créateurs à tout moment. De plus, nous proposons Knowunity Premium, qui te permet de réviser sans limites!
Contenus les plus populaires : changement du monde du travail
9GRAND ORAL SES
Dans quelle mesure le dicton "telle mère, telle fille" est il une réalité sociale
GRAND ORAL SES
Comment l'évolution des princesses Disney montre celle de la femme en société ?
Mutations du Travail
Explorez les transformations récentes du travail et de l'emploi, incluant la précarisation, l'impact des technologies numériques, et les modèles organisationnels. Ce cours aborde les concepts clés tels que le chômage, l'inactivité, et les effets du taylorisme et du fordisme sur les conditions de travail. Idéal pour les étudiants en sociologie et sciences économiques.
Mutations du Travail et de l'Emploi
Explorez les transformations majeures du travail et de l'emploi à travers l'histoire, y compris le taylorisme, le fordisme, et les nouvelles formes d'emploi. Ce document présente une analyse approfondie des enjeux contemporains tels que la précarité, le chômage, et l'organisation du travail. Idéal pour les révisions et la préparation aux examens.
Mutation du Travail
Explorez les transformations du travail et de l'emploi à travers une carte mentale détaillant les enjeux de la précarisation, du chômage, et des nouvelles organisations du travail. Ce document met en lumière les effets de la polarisation de l'emploi et les critères de qualité au travail, essentiel pour comprendre les dynamiques actuelles du marché du travail.
Mutations du Travail et Emploi
Explorez les transformations majeures du travail et de l'emploi, y compris le passage du taylorisme au post-taylorisme, l'impact du numérique, et les enjeux de la qualité de l'emploi. Cette fiche de révision aborde les concepts clés tels que l'organisation du travail, la précarité, et les nouvelles formes d'emploi. Idéale pour les étudiants de terminale en SES.
Évolution des Organisations du Travail
Explorez les transformations des organisations du travail, y compris le Taylorisme, le Fordisme et le Toyotisme. Ce résumé aborde les impacts des évolutions numériques sur l'emploi, les conditions de travail et les inégalités sociales. Idéal pour les étudiants préparant le BAC 2023-2024, ce document met en lumière les défis contemporains du monde du travail et les nouvelles formes d'emploi. Type : résumé.
Mutations du Travail
Explorez les transformations du monde du travail à travers les concepts clés tels que le télétravail, la précarité, et l'évolution des emplois. Cette fiche de révision aborde les enjeux de l'emploi, du chômage, et de l'intégration sociale, essentielle pour le programme du bac. Idéale pour comprendre les dynamiques actuelles du marché du travail et les politiques d'emploi.
Modes de Vie et Stratégies Organisationnelles
Explorez comment les changements de modes de vie influencent les stratégies des organisations dans le cadre des transformations numériques et des nouvelles attentes des consommateurs. Ce résumé aborde les enjeux du télétravail, de l'économie collaborative, et de la protection des données personnelles selon le RGPD. Type de contenu : résumé de chapitre.
Contenus les plus populaires en SES
9Caractéristiques de la Mobilité Sociale
Explorez les différentes formes et caractéristiques de la mobilité sociale en France, y compris la mobilité structurelle et la fluidité sociale. Cette fiche présente les trajectoires de mobilité ascendante, descendante et de reproduction sociale, ainsi que les spécificités de la mobilité masculine et féminine. Idéale pour les étudiants préparant le bac en Sciences Économiques et Sociales (SES).
Facteurs de Mobilité Sociale
Explorez les caractéristiques contemporaines de la mobilité sociale, y compris les impacts des ressources familiales, des niveaux de formation et des évolutions socioprofessionnelles. Ce chapitre de Sciences Économiques et Sociales (SES) aborde les inégalités sociales et leur influence sur la réussite scolaire et professionnelle. Idéal pour les étudiants cherchant à comprendre les dynamiques de la mobilité sociale en France.
Évolution du Travail et de l'Emploi
Explorez les mutations du travail et de l'emploi à travers les concepts clés tels que la distinction entre travail, activité, emploi et chômage, ainsi que l'impact des nouvelles formes d'emploi et des technologies numériques. Cette fiche de révision aborde également la qualité de l'emploi et son rôle dans l'intégration sociale, essentielle pour les étudiants en Sciences Économiques et Sociales (SES).
Fiche de révision sur l’engagement politique - SES
Fiche de révision sur l’engagement politique - SES
Engagement Politique Démocratique
Découvrez les différentes formes d'engagement politique dans les sociétés démocratiques, y compris le vote, le militantisme, et la consommation engagée. Ce mémo aborde également le paradoxe de l'action collective et les facteurs sociodémographiques influençant l'engagement. Idéal pour les révisions et la compréhension des dynamiques politiques contemporaines.
Fiche de révisions sur le chômage - SES
Fiche de révisions sur le chômage - SES
Précarité et Emploi: Le Quai de Ouistreham
Explorez un résumé détaillé de 'Le Quai de Ouistreham' de Florence Aubenas, qui met en lumière les défis de la précarité et de la recherche d'emploi en France. Ce document couvre les chapitres clés, les expériences de la journaliste et les réalités sociales des travailleurs précaires. Type: résumé analytique.
Actions Publiques Environnementales
Explorez les instruments de la politique climatique, y compris les marchés de quotas d'émission, la taxation écologique et le rôle des lobbies. Cette fiche de révision en Sciences Économiques et Sociales aborde les enjeux de développement durable, les inégalités de richesse, et les dynamiques politiques influençant l'action publique pour l'environnement.
GRAND ORAL SES
Comment Barbie a influencé la socialisation des jeunes filles ?
Contenus les plus populaires
9Guerre Totale : 1939-1945
Explorez les événements marquants de la Seconde Guerre mondiale, de l'invasion de la Pologne à la capitulation du Japon. Ce résumé aborde les concepts clés tels que la guerre totale, le génocide des Juifs, la bataille de Stalingrad, et l'impact de la propagande. Idéal pour les étudiants en histoire cherchant à comprendre les enjeux et les conséquences de ce conflit majeur.
Introduction à la Seconde Guerre mondiale
Identifiez les causes du conflit, les alliances et les dates clés du déclenchement de la guerre en Europe et dans le Pacifique.
Défaite de 1940 et Régime de Vichy
Comprendre l'armistice de juin 1940, la fin de la IIIe République et la mise en place du nouveau régime autoritaire de Philippe Pétain.
Conscience en Philosophie
Explorez la notion de conscience en philosophie à travers ses implications sur la justice, la liberté, et la connaissance. Cette fiche de révision aborde les débats philosophiques sur la conscience, le cogito, et les valeurs morales, tout en intégrant des perspectives contemporaines. Idéale pour les étudiants en philosophie cherchant à approfondir leur compréhension des enjeux éthiques et existentiels.
Figures de Style Essentielles
Explorez les figures de style clés pour enrichir vos commentaires composés et oraux du Bac de Français. Ce document présente des définitions claires et des exemples illustratifs pour chaque figure, y compris la métaphore, la comparaison, et la personnification. Idéal pour les étudiants préparant le Bac.
Combat pour l'Égalité
Analyse approfondie du 'Discours de la servitude volontaire' d'Étienne de la Boétie, explorant les thèmes de la tyrannie, de la désobéissance civile et des droits du peuple. Ce document est conçu pour aider à la préparation de l'oral du bac de français, en mettant l'accent sur la lutte pour l'égalité et la liberté. Idéal pour les étudiants souhaitant comprendre les enjeux de la servitude volontaire et son impact sur la pensée politique moderne.
Guerre Froide : Conflits et Idéologies
Explorez les événements clés de la Guerre Froide (1947-1991), y compris le Plan Marshall, la crise de Berlin, la guerre de Corée et la crise de Cuba. Ce résumé met en lumière les tensions entre le communisme et le capitalisme, ainsi que les conséquences de cette période sur le monde moderne. Type : résumé de cours BAC PRO.
Amazon : Performance et Conditions de Travail
Explorez l'étude de gestion sur Amazon, mettant en lumière la relation entre performance sociale et commerciale. Ce dossier aborde l'impact des conditions de travail sur la performance de l'entreprise, ainsi que les stratégies de croissance et d'innovation technologique. Idéal pour les étudiants en gestion souhaitant comprendre les enjeux contemporains du e-commerce. Type : Synthèse d'étude de gestion.
Analyse linéaire: Ma Bohème, Rimbaud
Analyse linéaire pour l’oral du bac de français. Poème: Ma Bohème, Arthur Rimbaud
Rien ne te convient ? Explore d'autres matières.
Les étudiants nous adorent — il ne manque plus que toi.
L'application est très facile d'utilisation et bien conçue. Jusqu'à présent, j'ai trouvé tout ce que je cherchais et j'ai pu apprendre beaucoup de choses grâce aux présentations ! Je vais certainement utiliser l'application pour un travail en classe ! Et comme source d'inspiration personnelle, elle est bien sûr aussi très utile.
Cette application est vraiment super. Il y a tellement de fiches de révision et d'aide, [...]. Par exemple, la matière qui me pose problème est le français et l'appli a un choix d'aide très large. Grâce à cette application, je me suis améliorée en français. Je la recommanderais à tout le monde.
Waouh, je suis vraiment abasourdi. J'ai essayé l'application parce que je l'avais déjà vue plusieurs fois dans la publicité et j'ai été absolument choquée. Cette appli est L'AIDE dont on rêve pour l'école et surtout, elle propose tellement de choses, comme des rédactions et des fiches qui m'ont personnellement TRÈS bien aidé.
Chapitre 5 : Quelles mutations du travail et de l’emploi ?
Fiche de révision plan + def

Inscris-toi pour voir le contenu. C'est gratuit!
- Accès à tous les documents
- Améliore tes notes
- Rejoins des millions d'étudiants

Inscris-toi pour voir le contenu. C'est gratuit!
- Accès à tous les documents
- Améliore tes notes
- Rejoins des millions d'étudiants

Inscris-toi pour voir le contenu. C'est gratuit!
- Accès à tous les documents
- Améliore tes notes
- Rejoins des millions d'étudiants

Inscris-toi pour voir le contenu. C'est gratuit!
- Accès à tous les documents
- Améliore tes notes
- Rejoins des millions d'étudiants

Inscris-toi pour voir le contenu. C'est gratuit!
- Accès à tous les documents
- Améliore tes notes
- Rejoins des millions d'étudiants
Si on te demande...
Qu'est-ce que le compagnon IA de Knowunity ?
Notre compagnon IA est spécialement conçu pour répondre aux besoins des étudiants. Sur la base des millions d'éléments de contenu que nous avons sur la plateforme, nous pouvons fournir des réponses vraiment significatives et pertinentes aux étudiants. Mais il ne s'agit pas seulement de réponses, le compagnon a encore plus pour but de guider les élèves dans leurs défis d'apprentissage quotidiens, avec des plans d'étude personnalisés, des quiz ou des éléments de contenu dans le chat et une personnalisation à 100% basée sur les compétences et les développements de l'étudiant.
Où puis-je télécharger l'appli Knowunity ?
Tu peux télécharger l'application dans Google Play Store et dans l'App Store d'Apple.
L'application est-elle vraiment gratuite ?
Oui, tu as un accès entièrement gratuit à tous les contenus de l'appli, tu peux chatter ou suivre les créateurs à tout moment. De plus, nous proposons Knowunity Premium, qui te permet de réviser sans limites!
Contenus les plus populaires : changement du monde du travail
9GRAND ORAL SES
Dans quelle mesure le dicton "telle mère, telle fille" est il une réalité sociale
GRAND ORAL SES
Comment l'évolution des princesses Disney montre celle de la femme en société ?
Mutations du Travail
Explorez les transformations récentes du travail et de l'emploi, incluant la précarisation, l'impact des technologies numériques, et les modèles organisationnels. Ce cours aborde les concepts clés tels que le chômage, l'inactivité, et les effets du taylorisme et du fordisme sur les conditions de travail. Idéal pour les étudiants en sociologie et sciences économiques.
Mutations du Travail et de l'Emploi
Explorez les transformations majeures du travail et de l'emploi à travers l'histoire, y compris le taylorisme, le fordisme, et les nouvelles formes d'emploi. Ce document présente une analyse approfondie des enjeux contemporains tels que la précarité, le chômage, et l'organisation du travail. Idéal pour les révisions et la préparation aux examens.
Mutation du Travail
Explorez les transformations du travail et de l'emploi à travers une carte mentale détaillant les enjeux de la précarisation, du chômage, et des nouvelles organisations du travail. Ce document met en lumière les effets de la polarisation de l'emploi et les critères de qualité au travail, essentiel pour comprendre les dynamiques actuelles du marché du travail.
Mutations du Travail et Emploi
Explorez les transformations majeures du travail et de l'emploi, y compris le passage du taylorisme au post-taylorisme, l'impact du numérique, et les enjeux de la qualité de l'emploi. Cette fiche de révision aborde les concepts clés tels que l'organisation du travail, la précarité, et les nouvelles formes d'emploi. Idéale pour les étudiants de terminale en SES.
Évolution des Organisations du Travail
Explorez les transformations des organisations du travail, y compris le Taylorisme, le Fordisme et le Toyotisme. Ce résumé aborde les impacts des évolutions numériques sur l'emploi, les conditions de travail et les inégalités sociales. Idéal pour les étudiants préparant le BAC 2023-2024, ce document met en lumière les défis contemporains du monde du travail et les nouvelles formes d'emploi. Type : résumé.
Mutations du Travail
Explorez les transformations du monde du travail à travers les concepts clés tels que le télétravail, la précarité, et l'évolution des emplois. Cette fiche de révision aborde les enjeux de l'emploi, du chômage, et de l'intégration sociale, essentielle pour le programme du bac. Idéale pour comprendre les dynamiques actuelles du marché du travail et les politiques d'emploi.
Modes de Vie et Stratégies Organisationnelles
Explorez comment les changements de modes de vie influencent les stratégies des organisations dans le cadre des transformations numériques et des nouvelles attentes des consommateurs. Ce résumé aborde les enjeux du télétravail, de l'économie collaborative, et de la protection des données personnelles selon le RGPD. Type de contenu : résumé de chapitre.
Contenus les plus populaires en SES
9Caractéristiques de la Mobilité Sociale
Explorez les différentes formes et caractéristiques de la mobilité sociale en France, y compris la mobilité structurelle et la fluidité sociale. Cette fiche présente les trajectoires de mobilité ascendante, descendante et de reproduction sociale, ainsi que les spécificités de la mobilité masculine et féminine. Idéale pour les étudiants préparant le bac en Sciences Économiques et Sociales (SES).
Facteurs de Mobilité Sociale
Explorez les caractéristiques contemporaines de la mobilité sociale, y compris les impacts des ressources familiales, des niveaux de formation et des évolutions socioprofessionnelles. Ce chapitre de Sciences Économiques et Sociales (SES) aborde les inégalités sociales et leur influence sur la réussite scolaire et professionnelle. Idéal pour les étudiants cherchant à comprendre les dynamiques de la mobilité sociale en France.
Évolution du Travail et de l'Emploi
Explorez les mutations du travail et de l'emploi à travers les concepts clés tels que la distinction entre travail, activité, emploi et chômage, ainsi que l'impact des nouvelles formes d'emploi et des technologies numériques. Cette fiche de révision aborde également la qualité de l'emploi et son rôle dans l'intégration sociale, essentielle pour les étudiants en Sciences Économiques et Sociales (SES).
Fiche de révision sur l’engagement politique - SES
Fiche de révision sur l’engagement politique - SES
Engagement Politique Démocratique
Découvrez les différentes formes d'engagement politique dans les sociétés démocratiques, y compris le vote, le militantisme, et la consommation engagée. Ce mémo aborde également le paradoxe de l'action collective et les facteurs sociodémographiques influençant l'engagement. Idéal pour les révisions et la compréhension des dynamiques politiques contemporaines.
Fiche de révisions sur le chômage - SES
Fiche de révisions sur le chômage - SES
Précarité et Emploi: Le Quai de Ouistreham
Explorez un résumé détaillé de 'Le Quai de Ouistreham' de Florence Aubenas, qui met en lumière les défis de la précarité et de la recherche d'emploi en France. Ce document couvre les chapitres clés, les expériences de la journaliste et les réalités sociales des travailleurs précaires. Type: résumé analytique.
Actions Publiques Environnementales
Explorez les instruments de la politique climatique, y compris les marchés de quotas d'émission, la taxation écologique et le rôle des lobbies. Cette fiche de révision en Sciences Économiques et Sociales aborde les enjeux de développement durable, les inégalités de richesse, et les dynamiques politiques influençant l'action publique pour l'environnement.
GRAND ORAL SES
Comment Barbie a influencé la socialisation des jeunes filles ?
Contenus les plus populaires
9Guerre Totale : 1939-1945
Explorez les événements marquants de la Seconde Guerre mondiale, de l'invasion de la Pologne à la capitulation du Japon. Ce résumé aborde les concepts clés tels que la guerre totale, le génocide des Juifs, la bataille de Stalingrad, et l'impact de la propagande. Idéal pour les étudiants en histoire cherchant à comprendre les enjeux et les conséquences de ce conflit majeur.
Introduction à la Seconde Guerre mondiale
Identifiez les causes du conflit, les alliances et les dates clés du déclenchement de la guerre en Europe et dans le Pacifique.
Défaite de 1940 et Régime de Vichy
Comprendre l'armistice de juin 1940, la fin de la IIIe République et la mise en place du nouveau régime autoritaire de Philippe Pétain.
Conscience en Philosophie
Explorez la notion de conscience en philosophie à travers ses implications sur la justice, la liberté, et la connaissance. Cette fiche de révision aborde les débats philosophiques sur la conscience, le cogito, et les valeurs morales, tout en intégrant des perspectives contemporaines. Idéale pour les étudiants en philosophie cherchant à approfondir leur compréhension des enjeux éthiques et existentiels.
Figures de Style Essentielles
Explorez les figures de style clés pour enrichir vos commentaires composés et oraux du Bac de Français. Ce document présente des définitions claires et des exemples illustratifs pour chaque figure, y compris la métaphore, la comparaison, et la personnification. Idéal pour les étudiants préparant le Bac.
Combat pour l'Égalité
Analyse approfondie du 'Discours de la servitude volontaire' d'Étienne de la Boétie, explorant les thèmes de la tyrannie, de la désobéissance civile et des droits du peuple. Ce document est conçu pour aider à la préparation de l'oral du bac de français, en mettant l'accent sur la lutte pour l'égalité et la liberté. Idéal pour les étudiants souhaitant comprendre les enjeux de la servitude volontaire et son impact sur la pensée politique moderne.
Guerre Froide : Conflits et Idéologies
Explorez les événements clés de la Guerre Froide (1947-1991), y compris le Plan Marshall, la crise de Berlin, la guerre de Corée et la crise de Cuba. Ce résumé met en lumière les tensions entre le communisme et le capitalisme, ainsi que les conséquences de cette période sur le monde moderne. Type : résumé de cours BAC PRO.
Amazon : Performance et Conditions de Travail
Explorez l'étude de gestion sur Amazon, mettant en lumière la relation entre performance sociale et commerciale. Ce dossier aborde l'impact des conditions de travail sur la performance de l'entreprise, ainsi que les stratégies de croissance et d'innovation technologique. Idéal pour les étudiants en gestion souhaitant comprendre les enjeux contemporains du e-commerce. Type : Synthèse d'étude de gestion.
Analyse linéaire: Ma Bohème, Rimbaud
Analyse linéaire pour l’oral du bac de français. Poème: Ma Bohème, Arthur Rimbaud
Rien ne te convient ? Explore d'autres matières.
Les étudiants nous adorent — il ne manque plus que toi.
L'application est très facile d'utilisation et bien conçue. Jusqu'à présent, j'ai trouvé tout ce que je cherchais et j'ai pu apprendre beaucoup de choses grâce aux présentations ! Je vais certainement utiliser l'application pour un travail en classe ! Et comme source d'inspiration personnelle, elle est bien sûr aussi très utile.
Cette application est vraiment super. Il y a tellement de fiches de révision et d'aide, [...]. Par exemple, la matière qui me pose problème est le français et l'appli a un choix d'aide très large. Grâce à cette application, je me suis améliorée en français. Je la recommanderais à tout le monde.
Waouh, je suis vraiment abasourdi. J'ai essayé l'application parce que je l'avais déjà vue plusieurs fois dans la publicité et j'ai été absolument choquée. Cette appli est L'AIDE dont on rêve pour l'école et surtout, elle propose tellement de choses, comme des rédactions et des fiches qui m'ont personnellement TRÈS bien aidé.