Ouvrir l'appli

Matières

Découvre la méthode de calcul des suites numériques et les propriétés des suites géométriques !

2

0

user profile picture

sheenmue

01/12/2022

Maths

Suites numérique, géométrique, sommes, et comportement d’une suite

127

1 déc. 2022

5 pages

Découvre la méthode de calcul des suites numériques et les propriétés des suites géométriques !

user profile picture

sheenmue

@sheenmue

A comprehensive guide to numerical sequences and their mathematical properties,... Affiche plus

Page 1
Page 2
Page 3
Page 4
Page 5
1 / 5
>> SUITES
Maths
SUITE NUMERIQUE est une fonction definit SUR IN et à
valur dans R. A chaque valeur de ʼn on associe son
image un. La suite es

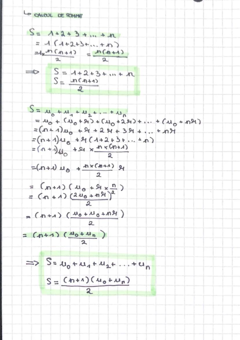
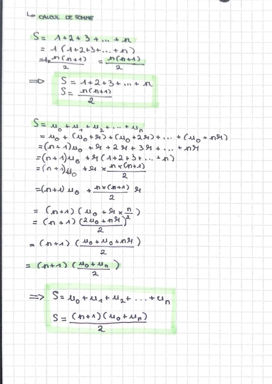
Page 2: Sequence Sum Calculations

This page focuses on methods for calculating sums of sequences, presenting various formulas and techniques for different types of sequences.

Definition: The sum of the first n terms of a sequence is denoted as S = u₁ + u₂ + ... + un

Example: For the sum of natural numbers from 1 to n: S = nn+1n+1/2

Highlight: The page presents a general formula for calculating sums of more complex sequences, showing step-by-step derivation.

>> SUITES
Maths
SUITE NUMERIQUE est une fonction definit SUR IN et à
valur dans R. A chaque valeur de ʼn on associe son
image un. La suite es

Page 3: Geometric Sequences

This page delves into the properties and calculations of geometric sequences, a fundamental concept in sequence mathematics.

Definition: A geometric sequence is a sequence unun where there exists a real number q such that un+₁ = q × un, where q is the common ratio.

Example: A geometric sequence with first term u₁ = 2 and ratio q = 3:

  • u₁ = 2
  • u₂ = 6
  • u₃ = 18
  • u₄ = 54

Highlight: The sum formula for geometric sequences when q ≠ 1: S = u₁1qn1-qⁿ/1q1-q

>> SUITES
Maths
SUITE NUMERIQUE est une fonction definit SUR IN et à
valur dans R. A chaque valeur de ʼn on associe son
image un. La suite es

Page 4: Global Behavior of Sequences

This page examines the overall behavior of sequences, including their variations and trends.

Definition: Three types of sequence behavior are defined:

  • Increasing: un+₁ > un for all n
  • Decreasing: un+₁ < un for all n
  • Constant: un+₁ = un for all n

Highlight: Methods for determining sequence behavior:

  • Study the sign of un+₁ - un
  • Compare un+₁/un to 1 for strictly positive terms

Vocabulary: The limit of a sequence describes the behavior of terms un as n becomes increasingly large.

>> SUITES
Maths
SUITE NUMERIQUE est une fonction definit SUR IN et à
valur dans R. A chaque valeur de ʼn on associe son
image un. La suite es

Page 5: Sequence Limits

This page concludes with an examination of sequence limits and their properties.

Definition: A sequence limit describes what happens to terms un as n approaches infinity.

Highlight: Two key concepts are presented:

  • A sequence can grow arbitrarily large tendsto+tends to +∞
  • A sequence can approach zero as closely as desired

Example: The notation lim un = 0 indicates that the sequence approaches zero as n approaches infinity.

>> SUITES
Maths
SUITE NUMERIQUE est une fonction definit SUR IN et à
valur dans R. A chaque valeur de ʼn on associe son
image un. La suite es

Page 1: Introduction to Numerical Sequences

This page introduces the fundamental concepts of numerical sequences and their various representations. A numerical sequence is defined as a function from natural numbers to real numbers, with specific notation and generation methods.

Definition: A numerical sequence is a function defined on natural numbers (ℕ) with values in real numbers (ℝ), denoted as (un).

Vocabulary: Two primary modes of sequence generation are discussed:

  • Explicit form: allows direct calculation of any term
  • Recursive form: calculated step by step

Example: An arithmetic sequence with a common difference of 4:

  • u₁ = -2
  • u₂ = 2
  • u₃ = 6
  • u₁₀₀ = -199 calculatedusingtheformulaun=u1+(n1calculated using the formula un = u₁ + (n-1d)


Si on te demande...

Qu'est-ce que le compagnon IA de Knowunity ?

Notre compagnon IA est spécialement conçu pour répondre aux besoins des étudiants. Sur la base des millions d'éléments de contenu que nous avons sur la plateforme, nous pouvons fournir des réponses vraiment significatives et pertinentes aux étudiants. Mais il ne s'agit pas seulement de réponses, le compagnon a encore plus pour but de guider les élèves dans leurs défis d'apprentissage quotidiens, avec des plans d'étude personnalisés, des quiz ou des éléments de contenu dans le chat et une personnalisation à 100% basée sur les compétences et les développements de l'étudiant.

Où puis-je télécharger l'application Knowunity ?

Tu peux télécharger l'application dans Google Play Store et dans l'App Store d'Apple.

L'application est-elle vraiment gratuite ?

Oui, tu as un accès entièrement gratuit à tous les contenus de l'appli, tu peux chatter ou suivre les créateurs à tout moment. De plus, nous proposons Knowunity Premium, qui te permet de réviser sans limites!

Rien ne te convient ? Explore d'autres matières.

Les étudiants nous adorent — il ne manque plus que toi.

4.9/5

App Store

4.8/5

Google Play

L'application est très facile d'utilisation et bien conçue. Jusqu'à présent, j'ai trouvé tout ce que je cherchais et j'ai pu apprendre beaucoup de choses grâce aux présentations ! Je vais certainement utiliser l'application pour un travail en classe ! Et comme source d'inspiration personnelle, elle est bien sûr aussi très utile.

Stefan S

utilisateur iOS

Cette application est vraiment super. Il y a tellement de fiches de révision et d'aide, [...]. Par exemple, la matière qui me pose problème est le français et l'appli a un choix d'aide très large. Grâce à cette application, je me suis améliorée en français. Je la recommanderais à tout le monde.

Samantha Klich

utilisatrice Android

Waouh, je suis vraiment abasourdi. J'ai essayé l'application parce que je l'avais déjà vue plusieurs fois dans la publicité et j'ai été absolument choquée. Cette appli est L'AIDE dont on rêve pour l'école et surtout, elle propose tellement de choses, comme des rédactions et des fiches qui m'ont personnellement TRÈS bien aidé.

Anna

utilisatrice iOS

Meilleur application je voulais m'entraîner pour mes maths puis j'ai tout compris d'un coup c'est mon nouveau prof maintenant 🤣🤣

Thomas R

utilisateur d' Android

super application pour réviser je révise tout les soirs

Esteban M

utilisateur d'Android

Permet de vraiment comprendre les cours sous forme de fiches de révisions déjà faites ! Incroyable, je recommande vraiment

Leny

utilisateur d'Android

L'application est tout simplement géniale ! Il me suffit de taper mon sujet dans la barre de recherche et je le vérifie très rapidement. Je ne dois plus regarder 10 vidéos YouTube pour comprendre quelque chose et j'économise ainsi mon temps. Je te le recommande !

Sudenaz Ocak

utilisateur Android

Cette application m'a vraiment fait m'améliorer ! J'étais vraiment nul en maths à l'école et grâce à l'appli, je suis meilleur en maths ! Je suis tellement reconnaissante que vous ayez créé cette application.

Greenlight Bonnie

utilisateur Android

PARFAIT 🌟 💕🔥 ça facilite Vrmt la révision avec des fiches de révisions fascinants✨🥰

Khady

utilisatrice d'Android

Je conseille vraiment ! je galère à avoir des cours clairs et ça aide énormément !!

Claire

utilisatrice iOS

C’est vraiment mais vraiment la meilleurs appli au début de l’année au collège jetait une élève perturbatrice et j’avais 9 de moyenne générale plus précisément 9,68... Et la un de mes potes me donne cette appli pour réviser c’était incroyable y’a des fiche de révision des quiz bref grâce à cette appli je suis passé de 9,68 à 17,40 trop contente 🤩🤩

Raoul

utilisateur IOS

Knowunity est vraiment une application incroyable elle est pour tous les âges et s’adapte à tous les niveaux.Elle permet de mieux comprendre et apprendre. Cette application est super pour les devoirs et pour les contrôles je la recommande à tous le monde petit ou grands

Ella

utilisatrice iOS

L'application est très facile d'utilisation et bien conçue. Jusqu'à présent, j'ai trouvé tout ce que je cherchais et j'ai pu apprendre beaucoup de choses grâce aux présentations ! Je vais certainement utiliser l'application pour un travail en classe ! Et comme source d'inspiration personnelle, elle est bien sûr aussi très utile.

Stefan S

utilisateur iOS

Cette application est vraiment super. Il y a tellement de fiches de révision et d'aide, [...]. Par exemple, la matière qui me pose problème est le français et l'appli a un choix d'aide très large. Grâce à cette application, je me suis améliorée en français. Je la recommanderais à tout le monde.

Samantha Klich

utilisatrice Android

Waouh, je suis vraiment abasourdi. J'ai essayé l'application parce que je l'avais déjà vue plusieurs fois dans la publicité et j'ai été absolument choquée. Cette appli est L'AIDE dont on rêve pour l'école et surtout, elle propose tellement de choses, comme des rédactions et des fiches qui m'ont personnellement TRÈS bien aidé.

Anna

utilisatrice iOS

Meilleur application je voulais m'entraîner pour mes maths puis j'ai tout compris d'un coup c'est mon nouveau prof maintenant 🤣🤣

Thomas R

utilisateur d' Android

super application pour réviser je révise tout les soirs

Esteban M

utilisateur d'Android

Permet de vraiment comprendre les cours sous forme de fiches de révisions déjà faites ! Incroyable, je recommande vraiment

Leny

utilisateur d'Android

L'application est tout simplement géniale ! Il me suffit de taper mon sujet dans la barre de recherche et je le vérifie très rapidement. Je ne dois plus regarder 10 vidéos YouTube pour comprendre quelque chose et j'économise ainsi mon temps. Je te le recommande !

Sudenaz Ocak

utilisateur Android

Cette application m'a vraiment fait m'améliorer ! J'étais vraiment nul en maths à l'école et grâce à l'appli, je suis meilleur en maths ! Je suis tellement reconnaissante que vous ayez créé cette application.

Greenlight Bonnie

utilisateur Android

PARFAIT 🌟 💕🔥 ça facilite Vrmt la révision avec des fiches de révisions fascinants✨🥰

Khady

utilisatrice d'Android

Je conseille vraiment ! je galère à avoir des cours clairs et ça aide énormément !!

Claire

utilisatrice iOS

C’est vraiment mais vraiment la meilleurs appli au début de l’année au collège jetait une élève perturbatrice et j’avais 9 de moyenne générale plus précisément 9,68... Et la un de mes potes me donne cette appli pour réviser c’était incroyable y’a des fiche de révision des quiz bref grâce à cette appli je suis passé de 9,68 à 17,40 trop contente 🤩🤩

Raoul

utilisateur IOS

Knowunity est vraiment une application incroyable elle est pour tous les âges et s’adapte à tous les niveaux.Elle permet de mieux comprendre et apprendre. Cette application est super pour les devoirs et pour les contrôles je la recommande à tous le monde petit ou grands

Ella

utilisatrice iOS

 

Maths

127

1 déc. 2022

5 pages

Découvre la méthode de calcul des suites numériques et les propriétés des suites géométriques !

user profile picture

sheenmue

@sheenmue

A comprehensive guide to numerical sequences and their mathematical properties, focusing on méthode de calcul des suites numériques and propriétés des suites géométriques. This mathematical resource explores sequence calculations, geometric progressions, and the comportement global d'une suite mathématique.... Affiche plus

>> SUITES
Maths
SUITE NUMERIQUE est une fonction definit SUR IN et à
valur dans R. A chaque valeur de ʼn on associe son
image un. La suite es

Inscris-toi pour voir le contenuC'est gratuit!

Accès à tous les documents

Améliore tes notes

Rejoins des millions d'étudiants

En t'inscrivant, tu acceptes les Conditions d'utilisation et la Politique de confidentialité.

Page 2: Sequence Sum Calculations

This page focuses on methods for calculating sums of sequences, presenting various formulas and techniques for different types of sequences.

Definition: The sum of the first n terms of a sequence is denoted as S = u₁ + u₂ + ... + un

Example: For the sum of natural numbers from 1 to n: S = nn+1n+1/2

Highlight: The page presents a general formula for calculating sums of more complex sequences, showing step-by-step derivation.

>> SUITES
Maths
SUITE NUMERIQUE est une fonction definit SUR IN et à
valur dans R. A chaque valeur de ʼn on associe son
image un. La suite es

Inscris-toi pour voir le contenuC'est gratuit!

Accès à tous les documents

Améliore tes notes

Rejoins des millions d'étudiants

En t'inscrivant, tu acceptes les Conditions d'utilisation et la Politique de confidentialité.

Page 3: Geometric Sequences

This page delves into the properties and calculations of geometric sequences, a fundamental concept in sequence mathematics.

Definition: A geometric sequence is a sequence unun where there exists a real number q such that un+₁ = q × un, where q is the common ratio.

Example: A geometric sequence with first term u₁ = 2 and ratio q = 3:

  • u₁ = 2
  • u₂ = 6
  • u₃ = 18
  • u₄ = 54

Highlight: The sum formula for geometric sequences when q ≠ 1: S = u₁1qn1-qⁿ/1q1-q

>> SUITES
Maths
SUITE NUMERIQUE est une fonction definit SUR IN et à
valur dans R. A chaque valeur de ʼn on associe son
image un. La suite es

Inscris-toi pour voir le contenuC'est gratuit!

Accès à tous les documents

Améliore tes notes

Rejoins des millions d'étudiants

En t'inscrivant, tu acceptes les Conditions d'utilisation et la Politique de confidentialité.

Page 4: Global Behavior of Sequences

This page examines the overall behavior of sequences, including their variations and trends.

Definition: Three types of sequence behavior are defined:

  • Increasing: un+₁ > un for all n
  • Decreasing: un+₁ < un for all n
  • Constant: un+₁ = un for all n

Highlight: Methods for determining sequence behavior:

  • Study the sign of un+₁ - un
  • Compare un+₁/un to 1 for strictly positive terms

Vocabulary: The limit of a sequence describes the behavior of terms un as n becomes increasingly large.

>> SUITES
Maths
SUITE NUMERIQUE est une fonction definit SUR IN et à
valur dans R. A chaque valeur de ʼn on associe son
image un. La suite es

Inscris-toi pour voir le contenuC'est gratuit!

Accès à tous les documents

Améliore tes notes

Rejoins des millions d'étudiants

En t'inscrivant, tu acceptes les Conditions d'utilisation et la Politique de confidentialité.

Page 5: Sequence Limits

This page concludes with an examination of sequence limits and their properties.

Definition: A sequence limit describes what happens to terms un as n approaches infinity.

Highlight: Two key concepts are presented:

  • A sequence can grow arbitrarily large tendsto+tends to +∞
  • A sequence can approach zero as closely as desired

Example: The notation lim un = 0 indicates that the sequence approaches zero as n approaches infinity.

>> SUITES
Maths
SUITE NUMERIQUE est une fonction definit SUR IN et à
valur dans R. A chaque valeur de ʼn on associe son
image un. La suite es

Inscris-toi pour voir le contenuC'est gratuit!

Accès à tous les documents

Améliore tes notes

Rejoins des millions d'étudiants

En t'inscrivant, tu acceptes les Conditions d'utilisation et la Politique de confidentialité.

Page 1: Introduction to Numerical Sequences

This page introduces the fundamental concepts of numerical sequences and their various representations. A numerical sequence is defined as a function from natural numbers to real numbers, with specific notation and generation methods.

Definition: A numerical sequence is a function defined on natural numbers (ℕ) with values in real numbers (ℝ), denoted as (un).

Vocabulary: Two primary modes of sequence generation are discussed:

  • Explicit form: allows direct calculation of any term
  • Recursive form: calculated step by step

Example: An arithmetic sequence with a common difference of 4:

  • u₁ = -2
  • u₂ = 2
  • u₃ = 6
  • u₁₀₀ = -199 calculatedusingtheformulaun=u1+(n1calculated using the formula un = u₁ + (n-1d)

Si on te demande...

Qu'est-ce que le compagnon IA de Knowunity ?

Notre compagnon IA est spécialement conçu pour répondre aux besoins des étudiants. Sur la base des millions d'éléments de contenu que nous avons sur la plateforme, nous pouvons fournir des réponses vraiment significatives et pertinentes aux étudiants. Mais il ne s'agit pas seulement de réponses, le compagnon a encore plus pour but de guider les élèves dans leurs défis d'apprentissage quotidiens, avec des plans d'étude personnalisés, des quiz ou des éléments de contenu dans le chat et une personnalisation à 100% basée sur les compétences et les développements de l'étudiant.

Où puis-je télécharger l'application Knowunity ?

Tu peux télécharger l'application dans Google Play Store et dans l'App Store d'Apple.

L'application est-elle vraiment gratuite ?

Oui, tu as un accès entièrement gratuit à tous les contenus de l'appli, tu peux chatter ou suivre les créateurs à tout moment. De plus, nous proposons Knowunity Premium, qui te permet de réviser sans limites!

Outils Intelligents NOUVEAU

Transforme cette fiche en : ✓ 50+ Questions d'Entraînement ✓ Cartes Mémoire Interactives ✓ Examen Blanc Complet ✓ Plans de Dissertation

Examen Blanc
Quiz
Flashcards
Dissertation

Rien ne te convient ? Explore d'autres matières.

Les étudiants nous adorent — il ne manque plus que toi.

4.9/5

App Store

4.8/5

Google Play

L'application est très facile d'utilisation et bien conçue. Jusqu'à présent, j'ai trouvé tout ce que je cherchais et j'ai pu apprendre beaucoup de choses grâce aux présentations ! Je vais certainement utiliser l'application pour un travail en classe ! Et comme source d'inspiration personnelle, elle est bien sûr aussi très utile.

Stefan S

utilisateur iOS

Cette application est vraiment super. Il y a tellement de fiches de révision et d'aide, [...]. Par exemple, la matière qui me pose problème est le français et l'appli a un choix d'aide très large. Grâce à cette application, je me suis améliorée en français. Je la recommanderais à tout le monde.

Samantha Klich

utilisatrice Android

Waouh, je suis vraiment abasourdi. J'ai essayé l'application parce que je l'avais déjà vue plusieurs fois dans la publicité et j'ai été absolument choquée. Cette appli est L'AIDE dont on rêve pour l'école et surtout, elle propose tellement de choses, comme des rédactions et des fiches qui m'ont personnellement TRÈS bien aidé.

Anna

utilisatrice iOS

Meilleur application je voulais m'entraîner pour mes maths puis j'ai tout compris d'un coup c'est mon nouveau prof maintenant 🤣🤣

Thomas R

utilisateur d' Android

super application pour réviser je révise tout les soirs

Esteban M

utilisateur d'Android

Permet de vraiment comprendre les cours sous forme de fiches de révisions déjà faites ! Incroyable, je recommande vraiment

Leny

utilisateur d'Android

L'application est tout simplement géniale ! Il me suffit de taper mon sujet dans la barre de recherche et je le vérifie très rapidement. Je ne dois plus regarder 10 vidéos YouTube pour comprendre quelque chose et j'économise ainsi mon temps. Je te le recommande !

Sudenaz Ocak

utilisateur Android

Cette application m'a vraiment fait m'améliorer ! J'étais vraiment nul en maths à l'école et grâce à l'appli, je suis meilleur en maths ! Je suis tellement reconnaissante que vous ayez créé cette application.

Greenlight Bonnie

utilisateur Android

PARFAIT 🌟 💕🔥 ça facilite Vrmt la révision avec des fiches de révisions fascinants✨🥰

Khady

utilisatrice d'Android

Je conseille vraiment ! je galère à avoir des cours clairs et ça aide énormément !!

Claire

utilisatrice iOS

C’est vraiment mais vraiment la meilleurs appli au début de l’année au collège jetait une élève perturbatrice et j’avais 9 de moyenne générale plus précisément 9,68... Et la un de mes potes me donne cette appli pour réviser c’était incroyable y’a des fiche de révision des quiz bref grâce à cette appli je suis passé de 9,68 à 17,40 trop contente 🤩🤩

Raoul

utilisateur IOS

Knowunity est vraiment une application incroyable elle est pour tous les âges et s’adapte à tous les niveaux.Elle permet de mieux comprendre et apprendre. Cette application est super pour les devoirs et pour les contrôles je la recommande à tous le monde petit ou grands

Ella

utilisatrice iOS

L'application est très facile d'utilisation et bien conçue. Jusqu'à présent, j'ai trouvé tout ce que je cherchais et j'ai pu apprendre beaucoup de choses grâce aux présentations ! Je vais certainement utiliser l'application pour un travail en classe ! Et comme source d'inspiration personnelle, elle est bien sûr aussi très utile.

Stefan S

utilisateur iOS

Cette application est vraiment super. Il y a tellement de fiches de révision et d'aide, [...]. Par exemple, la matière qui me pose problème est le français et l'appli a un choix d'aide très large. Grâce à cette application, je me suis améliorée en français. Je la recommanderais à tout le monde.

Samantha Klich

utilisatrice Android

Waouh, je suis vraiment abasourdi. J'ai essayé l'application parce que je l'avais déjà vue plusieurs fois dans la publicité et j'ai été absolument choquée. Cette appli est L'AIDE dont on rêve pour l'école et surtout, elle propose tellement de choses, comme des rédactions et des fiches qui m'ont personnellement TRÈS bien aidé.

Anna

utilisatrice iOS

Meilleur application je voulais m'entraîner pour mes maths puis j'ai tout compris d'un coup c'est mon nouveau prof maintenant 🤣🤣

Thomas R

utilisateur d' Android

super application pour réviser je révise tout les soirs

Esteban M

utilisateur d'Android

Permet de vraiment comprendre les cours sous forme de fiches de révisions déjà faites ! Incroyable, je recommande vraiment

Leny

utilisateur d'Android

L'application est tout simplement géniale ! Il me suffit de taper mon sujet dans la barre de recherche et je le vérifie très rapidement. Je ne dois plus regarder 10 vidéos YouTube pour comprendre quelque chose et j'économise ainsi mon temps. Je te le recommande !

Sudenaz Ocak

utilisateur Android

Cette application m'a vraiment fait m'améliorer ! J'étais vraiment nul en maths à l'école et grâce à l'appli, je suis meilleur en maths ! Je suis tellement reconnaissante que vous ayez créé cette application.

Greenlight Bonnie

utilisateur Android

PARFAIT 🌟 💕🔥 ça facilite Vrmt la révision avec des fiches de révisions fascinants✨🥰

Khady

utilisatrice d'Android

Je conseille vraiment ! je galère à avoir des cours clairs et ça aide énormément !!

Claire

utilisatrice iOS

C’est vraiment mais vraiment la meilleurs appli au début de l’année au collège jetait une élève perturbatrice et j’avais 9 de moyenne générale plus précisément 9,68... Et la un de mes potes me donne cette appli pour réviser c’était incroyable y’a des fiche de révision des quiz bref grâce à cette appli je suis passé de 9,68 à 17,40 trop contente 🤩🤩

Raoul

utilisateur IOS

Knowunity est vraiment une application incroyable elle est pour tous les âges et s’adapte à tous les niveaux.Elle permet de mieux comprendre et apprendre. Cette application est super pour les devoirs et pour les contrôles je la recommande à tous le monde petit ou grands

Ella

utilisatrice iOS