Arthur Rimbaud, figure emblématique du symbolisme français, révolutionne la poésie... Affiche plus
Inscris-toi pour voir le contenuC'est gratuit!
Accès à tous les documents
Améliore tes notes
Rejoins des millions d'étudiants
Knowunity AI
Matières
Triangle Congruence and Similarity Theorems
Triangle Properties and Classification
Linear Equations and Graphs
Geometric Angle Relationships
Trigonometric Functions and Identities
Equation Solving Techniques
Circle Geometry Fundamentals
Division Operations and Methods
Basic Differentiation Rules
Exponent and Logarithm Properties
Affiche tous les sujets
Human Organ Systems
Reproductive Cell Cycles
Biological Sciences Subdisciplines
Cellular Energy Metabolism
Autotrophic Energy Processes
Inheritance Patterns and Principles
Biomolecular Structure and Organization
Cell Cycle and Division Mechanics
Cellular Organization and Development
Biological Structural Organization
Affiche tous les sujets
Chemical Sciences and Applications
Atomic Structure and Composition
Molecular Electron Structure Representation
Atomic Electron Behavior
Matter Properties and Water
Mole Concept and Calculations
Gas Laws and Behavior
Periodic Table Organization
Chemical Thermodynamics Fundamentals
Chemical Bond Types and Properties
Affiche tous les sujets
European Renaissance and Enlightenment
European Cultural Movements 800-1920
American Revolution Era 1763-1797
American Civil War 1861-1865
Global Imperial Systems
Mongol and Chinese Dynasties
U.S. Presidents and World Leaders
Historical Sources and Documentation
World Wars Era and Impact
World Religious Systems
Affiche tous les sujets
Classic and Contemporary Novels
Literary Character Analysis
Rhetorical Theory and Practice
Classic Literary Narratives
Reading Analysis and Interpretation
Narrative Structure and Techniques
English Language Components
Influential English-Language Authors
Basic Sentence Structure
Narrative Voice and Perspective
Affiche tous les sujets
248
•
Mis à jour Apr 27, 2026
•
laura aubree
@lauraaubree_jrqs
Arthur Rimbaud, figure emblématique du symbolisme français, révolutionne la poésie... Affiche plus





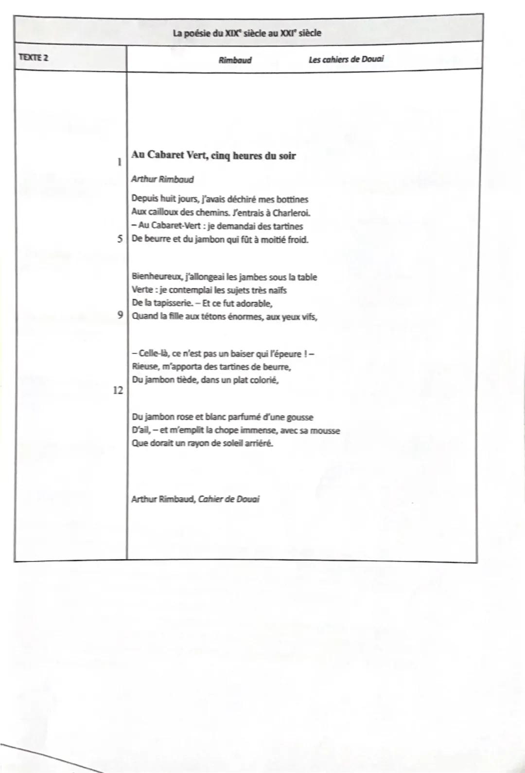
Rimbaud, pionnier du symbolisme, rédige ce poème pendant l'une de ses fugues à l'âge de 16 ans. Il fait partie des Cahiers de Douai, recueil témoignant de son désir de renouveler la poésie et le langage poétique.
Le poème exprime l'intérêt de Rimbaud pour la nature et son désir de liberté à travers une critique subtile de la morale bourgeoise. L'auteur transforme des sensations simples en véritable philosophie de vie.
La structure du poème suit trois mouvements : l'arrivée au cabaret , la simplicité d'un moment adorable , et le bonheur qui déborde . Cette progression montre comment Rimbaud magnifie les instants simples de l'existence.
À retenir : Rimbaud fait de l'errance et de la simplicité des valeurs poétiques nouvelles, rompant avec les conventions de son époque.

Le poème allie tradition et modernité de façon remarquable. La forme du sonnet respecte les codes classiques, mais Rimbaud utilise des enjambements audacieux qui surprennent le lecteur et relancent constamment le rythme.
L'indication temporelle "cinq heures du soir" et la date "1870" donnent une dimension autobiographique au texte. Le passé composé et l'imparfait créent un récit vivant de cette expérience personnelle de l'adolescent.
L'état d'esprit du poète évolue de la fatigue physique ("j'avais déchiré mes bottines") vers le bonheur simple ("Bienheureux, j'allongeai les jambes"). Cette transformation montre sa capacité à trouver la joie dans les plaisirs élémentaires.
Le vocabulaire familier ("tartines", "tétons énormes") rompt avec le registre poétique traditionnel, affirmant la modernité de Rimbaud.
À retenir : Rimbaud révolutionne la poésie en valorisant le vocabulaire trivial et les situations populaires.

Rimbaud transforme un repas simple en tableau impressionniste éclatant de vie et de couleurs. La description de la nourriture devient poétique grâce aux détails sensoriels : "jambon rose et blanc parfumé d'une gousse d'ail".
La serveuse est dépeinte avec une grande sensualité et simplicité. Sa description audacieuse ("fille aux tétons énormes, aux yeux vifs") choque par sa franchise, mais révèle la liberté d'expression que revendique l'adolescent.
Le dernier vers sublime complètement la scène : "Que dorait un rayon de soleil arrière". Cette métaphore poétique transfigure la réalité banale d'une taverne en moment de grâce esthétique.
Les synesthésies (mélange des sensations) et les hyperboles ("chope immense") montrent comment Rimbaud poétise son expérience en amplifiant chaque détail.
À retenir : Le génie de Rimbaud consiste à transformer le quotidien le plus prosaïque en poésie pure par son regard neuf d'adolescent.

Le sonnet "Au Cabaret-Vert" révèle toute la modernité de l'écriture rimbaldienne. Chaque vers témoigne de sa capacité à saisir la beauté dans l'ordinaire et à exprimer sa philosophie de la liberté.
Cette évocation joyeuse d'un lieu simple après une longue marche devient un hymne à la jeunesse, à la sensualité et à l'indépendance. Rimbaud y affirme ses valeurs : le plaisir immédiat, la sincérité des émotions, le rejet des conventions.
Le poème s'inscrit dans la continuité d'autres textes des Cahiers de Douai comme "Ma Bohème" ou "Sensation", qui prônent tous l'errance dans la nature et la liberté d'écriture poétique.
Cette œuvre annonce le symbolisme et influence toute la poésie moderne par sa capacité à révéler l'extraordinaire dans l'ordinaire.
À retenir : "Au Cabaret-Vert" est un manifeste poétique qui affirme que la vraie poésie naît de l'expérience vécue et des sensations authentiques.
Notre compagnon IA est spécialement conçu pour répondre aux besoins des étudiants. Sur la base des millions d'éléments de contenu que nous avons sur la plateforme, nous pouvons fournir des réponses vraiment significatives et pertinentes aux étudiants. Mais il ne s'agit pas seulement de réponses, le compagnon a encore plus pour but de guider les élèves dans leurs défis d'apprentissage quotidiens, avec des plans d'étude personnalisés, des quiz ou des éléments de contenu dans le chat et une personnalisation à 100% basée sur les compétences et les développements de l'étudiant.
Tu peux télécharger l'application dans Google Play Store et dans l'App Store d'Apple.
Oui, tu as un accès entièrement gratuit à tous les contenus de l'appli, tu peux chatter ou suivre les créateurs à tout moment. De plus, nous proposons Knowunity Premium, qui te permet de réviser sans limites!
App Store
Google Play
L'application est très facile d'utilisation et bien conçue. Jusqu'à présent, j'ai trouvé tout ce que je cherchais et j'ai pu apprendre beaucoup de choses grâce aux présentations ! Je vais certainement utiliser l'application pour un travail en classe ! Et comme source d'inspiration personnelle, elle est bien sûr aussi très utile.
Stefan S
utilisateur iOS
Cette application est vraiment super. Il y a tellement de fiches de révision et d'aide, [...]. Par exemple, la matière qui me pose problème est le français et l'appli a un choix d'aide très large. Grâce à cette application, je me suis améliorée en français. Je la recommanderais à tout le monde.
Samantha Klich
utilisatrice Android
Waouh, je suis vraiment abasourdi. J'ai essayé l'application parce que je l'avais déjà vue plusieurs fois dans la publicité et j'ai été absolument choquée. Cette appli est L'AIDE dont on rêve pour l'école et surtout, elle propose tellement de choses, comme des rédactions et des fiches qui m'ont personnellement TRÈS bien aidé.
Anna
utilisatrice iOS
Meilleur application je voulais m'entraîner pour mes maths puis j'ai tout compris d'un coup c'est mon nouveau prof maintenant 🤣🤣
Thomas R
utilisateur d' Android
super application pour réviser je révise tout les soirs
Esteban M
utilisateur d'Android
Permet de vraiment comprendre les cours sous forme de fiches de révisions déjà faites ! Incroyable, je recommande vraiment
Leny
utilisateur d'Android
L'application est tout simplement géniale ! Il me suffit de taper mon sujet dans la barre de recherche et je le vérifie très rapidement. Je ne dois plus regarder 10 vidéos YouTube pour comprendre quelque chose et j'économise ainsi mon temps. Je te le recommande !
Sudenaz Ocak
utilisateur Android
Cette application m'a vraiment fait m'améliorer ! J'étais vraiment nul en maths à l'école et grâce à l'appli, je suis meilleur en maths ! Je suis tellement reconnaissante que vous ayez créé cette application.
Greenlight Bonnie
utilisateur Android
PARFAIT 🌟 💕🔥 ça facilite Vrmt la révision avec des fiches de révisions fascinants✨🥰
Khady
utilisatrice d'Android
Je conseille vraiment ! je galère à avoir des cours clairs et ça aide énormément !!
Claire
utilisatrice iOS
LES QUIZ ET CARTES MÉMOIRE SONT TROP UTILES ET J'ADORE Knowunity IA. C'EST LITTÉRALEMENT COMME CHATGPT MAIS EN PLUS INTELLIGENT !! ÇA M'A AIDÉ AVEC MES PROBLÈMES DE MASCARA AUSSI !! AINSI QUE MES VRAIES MATIÈRES ! ÉVIDEMMENT 😍😁😲🤑💗✨🎀😮
Raoul
utilisateur IOS
Knowunity est vraiment une application incroyable elle est pour tous les âges et s’adapte à tous les niveaux.Elle permet de mieux comprendre et apprendre. Cette application est super pour les devoirs et pour les contrôles je la recommande à tous le monde petit ou grands
Ella
utilisatrice iOS
L'application est très facile d'utilisation et bien conçue. Jusqu'à présent, j'ai trouvé tout ce que je cherchais et j'ai pu apprendre beaucoup de choses grâce aux présentations ! Je vais certainement utiliser l'application pour un travail en classe ! Et comme source d'inspiration personnelle, elle est bien sûr aussi très utile.
Stefan S
utilisateur iOS
Cette application est vraiment super. Il y a tellement de fiches de révision et d'aide, [...]. Par exemple, la matière qui me pose problème est le français et l'appli a un choix d'aide très large. Grâce à cette application, je me suis améliorée en français. Je la recommanderais à tout le monde.
Samantha Klich
utilisatrice Android
Waouh, je suis vraiment abasourdi. J'ai essayé l'application parce que je l'avais déjà vue plusieurs fois dans la publicité et j'ai été absolument choquée. Cette appli est L'AIDE dont on rêve pour l'école et surtout, elle propose tellement de choses, comme des rédactions et des fiches qui m'ont personnellement TRÈS bien aidé.
Anna
utilisatrice iOS
Meilleur application je voulais m'entraîner pour mes maths puis j'ai tout compris d'un coup c'est mon nouveau prof maintenant 🤣🤣
Thomas R
utilisateur d' Android
super application pour réviser je révise tout les soirs
Esteban M
utilisateur d'Android
Permet de vraiment comprendre les cours sous forme de fiches de révisions déjà faites ! Incroyable, je recommande vraiment
Leny
utilisateur d'Android
L'application est tout simplement géniale ! Il me suffit de taper mon sujet dans la barre de recherche et je le vérifie très rapidement. Je ne dois plus regarder 10 vidéos YouTube pour comprendre quelque chose et j'économise ainsi mon temps. Je te le recommande !
Sudenaz Ocak
utilisateur Android
Cette application m'a vraiment fait m'améliorer ! J'étais vraiment nul en maths à l'école et grâce à l'appli, je suis meilleur en maths ! Je suis tellement reconnaissante que vous ayez créé cette application.
Greenlight Bonnie
utilisateur Android
PARFAIT 🌟 💕🔥 ça facilite Vrmt la révision avec des fiches de révisions fascinants✨🥰
Khady
utilisatrice d'Android
Je conseille vraiment ! je galère à avoir des cours clairs et ça aide énormément !!
Claire
utilisatrice iOS
LES QUIZ ET CARTES MÉMOIRE SONT TROP UTILES ET J'ADORE Knowunity IA. C'EST LITTÉRALEMENT COMME CHATGPT MAIS EN PLUS INTELLIGENT !! ÇA M'A AIDÉ AVEC MES PROBLÈMES DE MASCARA AUSSI !! AINSI QUE MES VRAIES MATIÈRES ! ÉVIDEMMENT 😍😁😲🤑💗✨🎀😮
Raoul
utilisateur IOS
Knowunity est vraiment une application incroyable elle est pour tous les âges et s’adapte à tous les niveaux.Elle permet de mieux comprendre et apprendre. Cette application est super pour les devoirs et pour les contrôles je la recommande à tous le monde petit ou grands
Ella
utilisatrice iOS
laura aubree
@lauraaubree_jrqs
Arthur Rimbaud, figure emblématique du symbolisme français, révolutionne la poésie à seulement 16 ans avec "Au Cabaret-Vert". Ce sonnet écrit en 1870 transforme une simple pause dans une taverne en véritable manifeste de liberté et de sensualité. Rimbaud y exprime... Affiche plus

Accès à tous les documents
Améliore tes notes
Rejoins des millions d'étudiants
Rimbaud, pionnier du symbolisme, rédige ce poème pendant l'une de ses fugues à l'âge de 16 ans. Il fait partie des Cahiers de Douai, recueil témoignant de son désir de renouveler la poésie et le langage poétique.
Le poème exprime l'intérêt de Rimbaud pour la nature et son désir de liberté à travers une critique subtile de la morale bourgeoise. L'auteur transforme des sensations simples en véritable philosophie de vie.
La structure du poème suit trois mouvements : l'arrivée au cabaret , la simplicité d'un moment adorable , et le bonheur qui déborde . Cette progression montre comment Rimbaud magnifie les instants simples de l'existence.
À retenir : Rimbaud fait de l'errance et de la simplicité des valeurs poétiques nouvelles, rompant avec les conventions de son époque.

Accès à tous les documents
Améliore tes notes
Rejoins des millions d'étudiants
Le poème allie tradition et modernité de façon remarquable. La forme du sonnet respecte les codes classiques, mais Rimbaud utilise des enjambements audacieux qui surprennent le lecteur et relancent constamment le rythme.
L'indication temporelle "cinq heures du soir" et la date "1870" donnent une dimension autobiographique au texte. Le passé composé et l'imparfait créent un récit vivant de cette expérience personnelle de l'adolescent.
L'état d'esprit du poète évolue de la fatigue physique ("j'avais déchiré mes bottines") vers le bonheur simple ("Bienheureux, j'allongeai les jambes"). Cette transformation montre sa capacité à trouver la joie dans les plaisirs élémentaires.
Le vocabulaire familier ("tartines", "tétons énormes") rompt avec le registre poétique traditionnel, affirmant la modernité de Rimbaud.
À retenir : Rimbaud révolutionne la poésie en valorisant le vocabulaire trivial et les situations populaires.

Accès à tous les documents
Améliore tes notes
Rejoins des millions d'étudiants
Rimbaud transforme un repas simple en tableau impressionniste éclatant de vie et de couleurs. La description de la nourriture devient poétique grâce aux détails sensoriels : "jambon rose et blanc parfumé d'une gousse d'ail".
La serveuse est dépeinte avec une grande sensualité et simplicité. Sa description audacieuse ("fille aux tétons énormes, aux yeux vifs") choque par sa franchise, mais révèle la liberté d'expression que revendique l'adolescent.
Le dernier vers sublime complètement la scène : "Que dorait un rayon de soleil arrière". Cette métaphore poétique transfigure la réalité banale d'une taverne en moment de grâce esthétique.
Les synesthésies (mélange des sensations) et les hyperboles ("chope immense") montrent comment Rimbaud poétise son expérience en amplifiant chaque détail.
À retenir : Le génie de Rimbaud consiste à transformer le quotidien le plus prosaïque en poésie pure par son regard neuf d'adolescent.

Accès à tous les documents
Améliore tes notes
Rejoins des millions d'étudiants
Le sonnet "Au Cabaret-Vert" révèle toute la modernité de l'écriture rimbaldienne. Chaque vers témoigne de sa capacité à saisir la beauté dans l'ordinaire et à exprimer sa philosophie de la liberté.
Cette évocation joyeuse d'un lieu simple après une longue marche devient un hymne à la jeunesse, à la sensualité et à l'indépendance. Rimbaud y affirme ses valeurs : le plaisir immédiat, la sincérité des émotions, le rejet des conventions.
Le poème s'inscrit dans la continuité d'autres textes des Cahiers de Douai comme "Ma Bohème" ou "Sensation", qui prônent tous l'errance dans la nature et la liberté d'écriture poétique.
Cette œuvre annonce le symbolisme et influence toute la poésie moderne par sa capacité à révéler l'extraordinaire dans l'ordinaire.
À retenir : "Au Cabaret-Vert" est un manifeste poétique qui affirme que la vraie poésie naît de l'expérience vécue et des sensations authentiques.
Notre compagnon IA est spécialement conçu pour répondre aux besoins des étudiants. Sur la base des millions d'éléments de contenu que nous avons sur la plateforme, nous pouvons fournir des réponses vraiment significatives et pertinentes aux étudiants. Mais il ne s'agit pas seulement de réponses, le compagnon a encore plus pour but de guider les élèves dans leurs défis d'apprentissage quotidiens, avec des plans d'étude personnalisés, des quiz ou des éléments de contenu dans le chat et une personnalisation à 100% basée sur les compétences et les développements de l'étudiant.
Tu peux télécharger l'application dans Google Play Store et dans l'App Store d'Apple.
Oui, tu as un accès entièrement gratuit à tous les contenus de l'appli, tu peux chatter ou suivre les créateurs à tout moment. De plus, nous proposons Knowunity Premium, qui te permet de réviser sans limites!
2
Outils Intelligents NOUVEAU
Transforme cette fiche en : ✓ 50+ Questions d'Entraînement ✓ Cartes Mémoire Interactives ✓ Examen blanc complet ✓ Plans de Dissertation
App Store
Google Play
L'application est très facile d'utilisation et bien conçue. Jusqu'à présent, j'ai trouvé tout ce que je cherchais et j'ai pu apprendre beaucoup de choses grâce aux présentations ! Je vais certainement utiliser l'application pour un travail en classe ! Et comme source d'inspiration personnelle, elle est bien sûr aussi très utile.
Stefan S
utilisateur iOS
Cette application est vraiment super. Il y a tellement de fiches de révision et d'aide, [...]. Par exemple, la matière qui me pose problème est le français et l'appli a un choix d'aide très large. Grâce à cette application, je me suis améliorée en français. Je la recommanderais à tout le monde.
Samantha Klich
utilisatrice Android
Waouh, je suis vraiment abasourdi. J'ai essayé l'application parce que je l'avais déjà vue plusieurs fois dans la publicité et j'ai été absolument choquée. Cette appli est L'AIDE dont on rêve pour l'école et surtout, elle propose tellement de choses, comme des rédactions et des fiches qui m'ont personnellement TRÈS bien aidé.
Anna
utilisatrice iOS
Meilleur application je voulais m'entraîner pour mes maths puis j'ai tout compris d'un coup c'est mon nouveau prof maintenant 🤣🤣
Thomas R
utilisateur d' Android
super application pour réviser je révise tout les soirs
Esteban M
utilisateur d'Android
Permet de vraiment comprendre les cours sous forme de fiches de révisions déjà faites ! Incroyable, je recommande vraiment
Leny
utilisateur d'Android
L'application est tout simplement géniale ! Il me suffit de taper mon sujet dans la barre de recherche et je le vérifie très rapidement. Je ne dois plus regarder 10 vidéos YouTube pour comprendre quelque chose et j'économise ainsi mon temps. Je te le recommande !
Sudenaz Ocak
utilisateur Android
Cette application m'a vraiment fait m'améliorer ! J'étais vraiment nul en maths à l'école et grâce à l'appli, je suis meilleur en maths ! Je suis tellement reconnaissante que vous ayez créé cette application.
Greenlight Bonnie
utilisateur Android
PARFAIT 🌟 💕🔥 ça facilite Vrmt la révision avec des fiches de révisions fascinants✨🥰
Khady
utilisatrice d'Android
Je conseille vraiment ! je galère à avoir des cours clairs et ça aide énormément !!
Claire
utilisatrice iOS
LES QUIZ ET CARTES MÉMOIRE SONT TROP UTILES ET J'ADORE Knowunity IA. C'EST LITTÉRALEMENT COMME CHATGPT MAIS EN PLUS INTELLIGENT !! ÇA M'A AIDÉ AVEC MES PROBLÈMES DE MASCARA AUSSI !! AINSI QUE MES VRAIES MATIÈRES ! ÉVIDEMMENT 😍😁😲🤑💗✨🎀😮
Raoul
utilisateur IOS
Knowunity est vraiment une application incroyable elle est pour tous les âges et s’adapte à tous les niveaux.Elle permet de mieux comprendre et apprendre. Cette application est super pour les devoirs et pour les contrôles je la recommande à tous le monde petit ou grands
Ella
utilisatrice iOS
L'application est très facile d'utilisation et bien conçue. Jusqu'à présent, j'ai trouvé tout ce que je cherchais et j'ai pu apprendre beaucoup de choses grâce aux présentations ! Je vais certainement utiliser l'application pour un travail en classe ! Et comme source d'inspiration personnelle, elle est bien sûr aussi très utile.
Stefan S
utilisateur iOS
Cette application est vraiment super. Il y a tellement de fiches de révision et d'aide, [...]. Par exemple, la matière qui me pose problème est le français et l'appli a un choix d'aide très large. Grâce à cette application, je me suis améliorée en français. Je la recommanderais à tout le monde.
Samantha Klich
utilisatrice Android
Waouh, je suis vraiment abasourdi. J'ai essayé l'application parce que je l'avais déjà vue plusieurs fois dans la publicité et j'ai été absolument choquée. Cette appli est L'AIDE dont on rêve pour l'école et surtout, elle propose tellement de choses, comme des rédactions et des fiches qui m'ont personnellement TRÈS bien aidé.
Anna
utilisatrice iOS
Meilleur application je voulais m'entraîner pour mes maths puis j'ai tout compris d'un coup c'est mon nouveau prof maintenant 🤣🤣
Thomas R
utilisateur d' Android
super application pour réviser je révise tout les soirs
Esteban M
utilisateur d'Android
Permet de vraiment comprendre les cours sous forme de fiches de révisions déjà faites ! Incroyable, je recommande vraiment
Leny
utilisateur d'Android
L'application est tout simplement géniale ! Il me suffit de taper mon sujet dans la barre de recherche et je le vérifie très rapidement. Je ne dois plus regarder 10 vidéos YouTube pour comprendre quelque chose et j'économise ainsi mon temps. Je te le recommande !
Sudenaz Ocak
utilisateur Android
Cette application m'a vraiment fait m'améliorer ! J'étais vraiment nul en maths à l'école et grâce à l'appli, je suis meilleur en maths ! Je suis tellement reconnaissante que vous ayez créé cette application.
Greenlight Bonnie
utilisateur Android
PARFAIT 🌟 💕🔥 ça facilite Vrmt la révision avec des fiches de révisions fascinants✨🥰
Khady
utilisatrice d'Android
Je conseille vraiment ! je galère à avoir des cours clairs et ça aide énormément !!
Claire
utilisatrice iOS
LES QUIZ ET CARTES MÉMOIRE SONT TROP UTILES ET J'ADORE Knowunity IA. C'EST LITTÉRALEMENT COMME CHATGPT MAIS EN PLUS INTELLIGENT !! ÇA M'A AIDÉ AVEC MES PROBLÈMES DE MASCARA AUSSI !! AINSI QUE MES VRAIES MATIÈRES ! ÉVIDEMMENT 😍😁😲🤑💗✨🎀😮
Raoul
utilisateur IOS
Knowunity est vraiment une application incroyable elle est pour tous les âges et s’adapte à tous les niveaux.Elle permet de mieux comprendre et apprendre. Cette application est super pour les devoirs et pour les contrôles je la recommande à tous le monde petit ou grands
Ella
utilisatrice iOS