Ouvrir l'appli

Matières

221

1 janv. 2026

4 pages

Approfondir vos compétences en dérivation - Guide pratique

M

Marine Gaurier

@marinegaurier_rrb3

Tu vas maintenant maîtriser la dérivation des fonctions composées, une... Affiche plus

Page 1
Page 1
Page 2
Page 2
1 / 4
Maths: compléments sur la
derivation part 2.

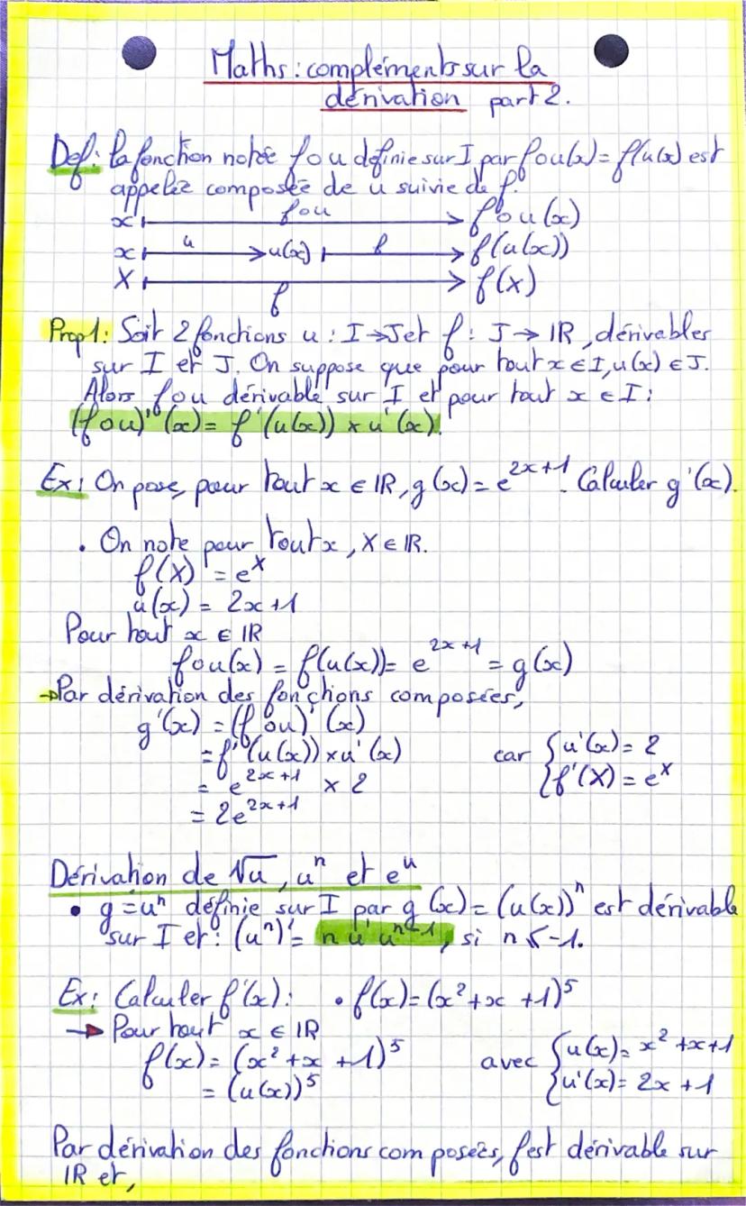
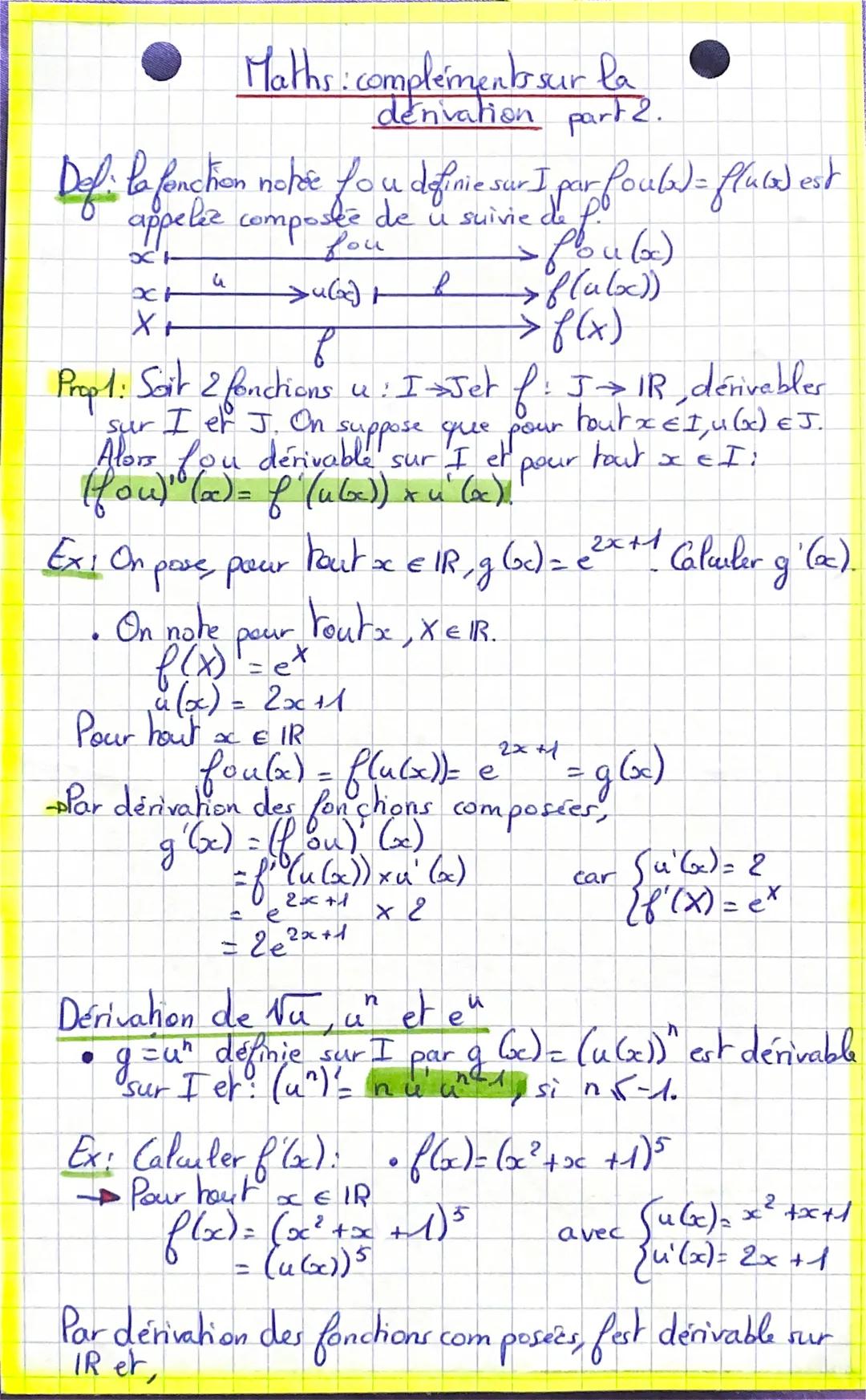
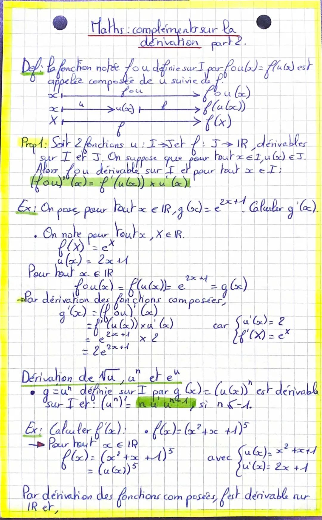
Df. la fonction noke to u definie sur I pour $fou(x)= f(u(x))$ est
appelez composte de u suivi

La fonction composée et sa dérivation

Imagine que tu appliques deux transformations successives à un nombre : d'abord uu, puis ff. La fonction composée fuf \circ u fait exactement ça : fu(x)=f(u(x))f \circ u(x) = f(u(x)).

La règle de dérivation est simple mais puissante : (fu)(x)=f(u(x))×u(x)(f \circ u)'(x) = f'(u(x)) \times u'(x). Tu dérive d'abord la fonction extérieure, puis tu multiplies par la dérivée de la fonction intérieure.

Prenons g(x)=e2x+1g(x) = e^{2x+1}. Ici, f(x)=exf(x) = e^x et u(x)=2x+1u(x) = 2x+1. Donc g(x)=e2x+1×2=2e2x+1g'(x) = e^{2x+1} \times 2 = 2e^{2x+1}.

Astuce : Identifie toujours la fonction "extérieure" et la fonction "intérieure" avant de dériver !

Maths: compléments sur la
derivation part 2.

Df. la fonction noke to u definie sur I pour $fou(x)= f(u(x))$ est
appelez composte de u suivi

Les formules de dérivation essentielles

Voici ton arsenal de base pour dériver n'importe quelle fonction. Ces formules, tu dois les connaître par cœur !

Fonctions usuelles : xnx^n donne nxn1nx^{n-1}, x\sqrt{x} donne 12x\frac{1}{2\sqrt{x}}, exe^x reste exe^x. Pour eax+be^{ax+b}, c'est aeax+bae^{ax+b}.

Opérations importantes : La somme (u+v)=u+v(u+v)' = u' + v', le produit (uv)=uv+uv(uv)' = u'v + uv', le quotient (uv)=uvuvv2(\frac{u}{v})' = \frac{u'v - uv'}{v^2}.

Ces règles se combinent avec la dérivation des fonctions composées pour résoudre tous les exercices !

Important : Maîtrise d'abord ces formules simples avant de t'attaquer aux fonctions composées.

Maths: compléments sur la
derivation part 2.

Df. la fonction noke to u definie sur I pour $fou(x)= f(u(x))$ est
appelez composte de u suivi

Applications pratiques des fonctions composées

Maintenant, appliquons ces règles à des cas concrets que tu retrouveras souvent dans tes exercices.

Pour unu^n : Si f(x)=(x2+x+1)5f(x) = (x^2+x+1)^5, alors f(x)=5(2x+1)(x2+x+1)4f'(x) = 5(2x+1)(x^2+x+1)^4. Tu multiplies par la puissance, tu baisses d'un cran, et tu multiplies par la dérivée de l'intérieur.

Pour u\sqrt{u} : La dérivée de ax+b\sqrt{ax+b} est a2ax+b\frac{a}{2\sqrt{ax+b}}. Pour eue^u : La dérivée de ex2+x+1e^{x^2+x+1} est (2x+1)ex2+x+1(2x+1)e^{x^2+x+1}.

Le schéma reste le même : dérive l'extérieur, garde l'intérieur intact, multiplie par la dérivée de l'intérieur.

Conseil : Écris toujours clairement u(x)u(x) et u(x)u'(x) avant de calculer pour éviter les erreurs !

Maths: compléments sur la
derivation part 2.

Df. la fonction noke to u definie sur I pour $fou(x)= f(u(x))$ est
appelez composte de u suivi

Exercices types et tableaux de variations

Ces exercices montrent comment appliquer concrètement toutes ces règles dans différentes situations.

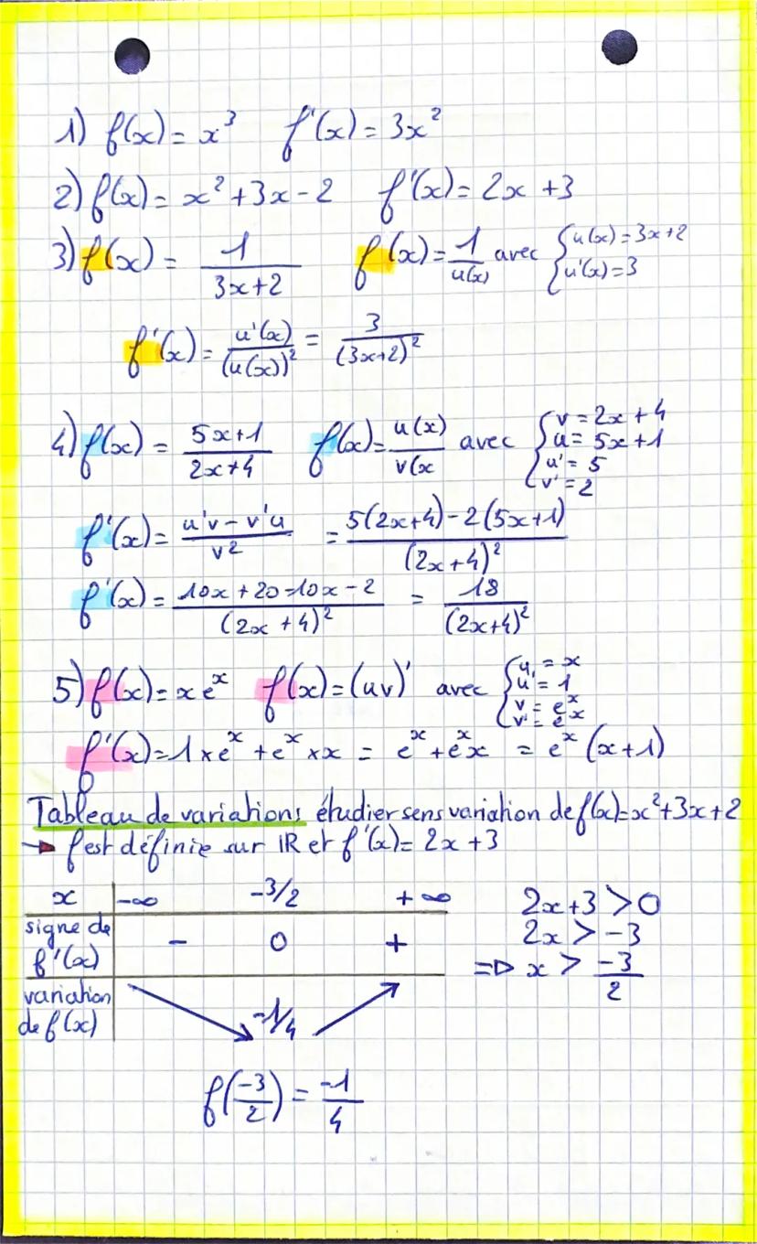
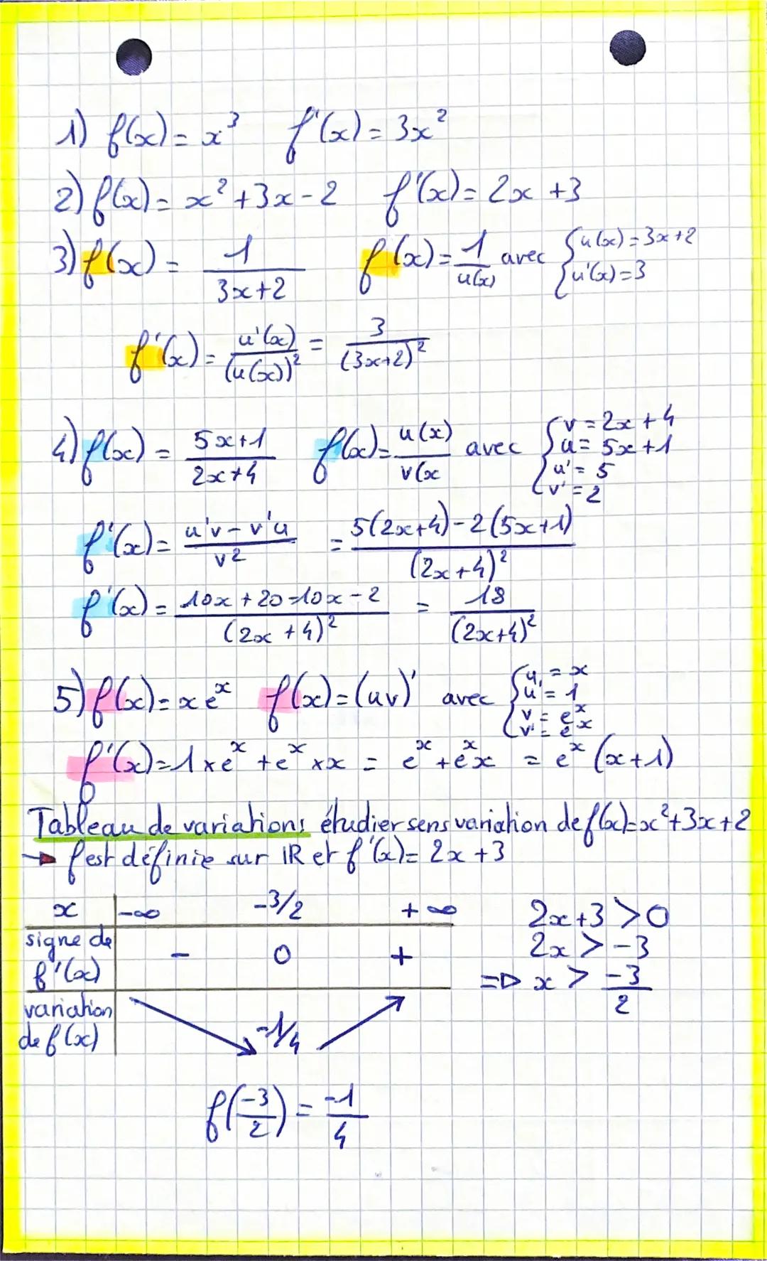
Fonctions rationnelles : Pour f(x)=13x+2f(x) = \frac{1}{3x+2}, tu utilises (1u)=uu2(\frac{1}{u})' = -\frac{u'}{u^2}, ce qui donne 3(3x+2)2\frac{-3}{(3x+2)^2}. Pour les quotients comme 5x+12x+4\frac{5x+1}{2x+4}, applique la formule du quotient.

Produits avec exponentielle : f(x)=xexf(x) = xe^x donne f(x)=ex+xex=ex(1+x)f'(x) = e^x + xe^x = e^x(1+x) grâce à la règle du produit.

Tableau de variations : Une fois que tu as f(x)f'(x), trouve où elle s'annule pour déterminer les extremums. Par exemple, pour f(x)=2x+3f'(x) = 2x+3, le minimum est en x=32x = -\frac{3}{2}.

Méthode : Toujours factoriser f(x)f'(x) quand c'est possible pour mieux voir les changements de signe !



Si on te demande...

Qu'est-ce que le compagnon IA de Knowunity ?

Notre compagnon IA est spécialement conçu pour répondre aux besoins des étudiants. Sur la base des millions d'éléments de contenu que nous avons sur la plateforme, nous pouvons fournir des réponses vraiment significatives et pertinentes aux étudiants. Mais il ne s'agit pas seulement de réponses, le compagnon a encore plus pour but de guider les élèves dans leurs défis d'apprentissage quotidiens, avec des plans d'étude personnalisés, des quiz ou des éléments de contenu dans le chat et une personnalisation à 100% basée sur les compétences et les développements de l'étudiant.

Où puis-je télécharger l'application Knowunity ?

Tu peux télécharger l'application dans Google Play Store et dans l'App Store d'Apple.

L'application est-elle vraiment gratuite ?

Oui, tu as un accès entièrement gratuit à tous les contenus de l'appli, tu peux chatter ou suivre les créateurs à tout moment. De plus, nous proposons Knowunity Premium, qui te permet de réviser sans limites!

Contenus les plus populaires en Maths

Contenus les plus populaires

Rien ne te convient ? Explore d'autres matières.

Les étudiants nous adorent — il ne manque plus que toi.

4.9/5

App Store

4.8/5

Google Play

L'application est très facile d'utilisation et bien conçue. Jusqu'à présent, j'ai trouvé tout ce que je cherchais et j'ai pu apprendre beaucoup de choses grâce aux présentations ! Je vais certainement utiliser l'application pour un travail en classe ! Et comme source d'inspiration personnelle, elle est bien sûr aussi très utile.

Stefan S

utilisateur iOS

Cette application est vraiment super. Il y a tellement de fiches de révision et d'aide, [...]. Par exemple, la matière qui me pose problème est le français et l'appli a un choix d'aide très large. Grâce à cette application, je me suis améliorée en français. Je la recommanderais à tout le monde.

Samantha Klich

utilisatrice Android

Waouh, je suis vraiment abasourdi. J'ai essayé l'application parce que je l'avais déjà vue plusieurs fois dans la publicité et j'ai été absolument choquée. Cette appli est L'AIDE dont on rêve pour l'école et surtout, elle propose tellement de choses, comme des rédactions et des fiches qui m'ont personnellement TRÈS bien aidé.

Anna

utilisatrice iOS

Meilleur application je voulais m'entraîner pour mes maths puis j'ai tout compris d'un coup c'est mon nouveau prof maintenant 🤣🤣

Thomas R

utilisateur d' Android

super application pour réviser je révise tout les soirs

Esteban M

utilisateur d'Android

Permet de vraiment comprendre les cours sous forme de fiches de révisions déjà faites ! Incroyable, je recommande vraiment

Leny

utilisateur d'Android

L'application est tout simplement géniale ! Il me suffit de taper mon sujet dans la barre de recherche et je le vérifie très rapidement. Je ne dois plus regarder 10 vidéos YouTube pour comprendre quelque chose et j'économise ainsi mon temps. Je te le recommande !

Sudenaz Ocak

utilisateur Android

Cette application m'a vraiment fait m'améliorer ! J'étais vraiment nul en maths à l'école et grâce à l'appli, je suis meilleur en maths ! Je suis tellement reconnaissante que vous ayez créé cette application.

Greenlight Bonnie

utilisateur Android

PARFAIT 🌟 💕🔥 ça facilite Vrmt la révision avec des fiches de révisions fascinants✨🥰

Khady

utilisatrice d'Android

Je conseille vraiment ! je galère à avoir des cours clairs et ça aide énormément !!

Claire

utilisatrice iOS

C’est vraiment mais vraiment la meilleurs appli au début de l’année au collège jetait une élève perturbatrice et j’avais 9 de moyenne générale plus précisément 9,68... Et la un de mes potes me donne cette appli pour réviser c’était incroyable y’a des fiche de révision des quiz bref grâce à cette appli je suis passé de 9,68 à 17,40 trop contente 🤩🤩

Raoul

utilisateur IOS

Knowunity est vraiment une application incroyable elle est pour tous les âges et s’adapte à tous les niveaux.Elle permet de mieux comprendre et apprendre. Cette application est super pour les devoirs et pour les contrôles je la recommande à tous le monde petit ou grands

Ella

utilisatrice iOS

L'application est très facile d'utilisation et bien conçue. Jusqu'à présent, j'ai trouvé tout ce que je cherchais et j'ai pu apprendre beaucoup de choses grâce aux présentations ! Je vais certainement utiliser l'application pour un travail en classe ! Et comme source d'inspiration personnelle, elle est bien sûr aussi très utile.

Stefan S

utilisateur iOS

Cette application est vraiment super. Il y a tellement de fiches de révision et d'aide, [...]. Par exemple, la matière qui me pose problème est le français et l'appli a un choix d'aide très large. Grâce à cette application, je me suis améliorée en français. Je la recommanderais à tout le monde.

Samantha Klich

utilisatrice Android

Waouh, je suis vraiment abasourdi. J'ai essayé l'application parce que je l'avais déjà vue plusieurs fois dans la publicité et j'ai été absolument choquée. Cette appli est L'AIDE dont on rêve pour l'école et surtout, elle propose tellement de choses, comme des rédactions et des fiches qui m'ont personnellement TRÈS bien aidé.

Anna

utilisatrice iOS

Meilleur application je voulais m'entraîner pour mes maths puis j'ai tout compris d'un coup c'est mon nouveau prof maintenant 🤣🤣

Thomas R

utilisateur d' Android

super application pour réviser je révise tout les soirs

Esteban M

utilisateur d'Android

Permet de vraiment comprendre les cours sous forme de fiches de révisions déjà faites ! Incroyable, je recommande vraiment

Leny

utilisateur d'Android

L'application est tout simplement géniale ! Il me suffit de taper mon sujet dans la barre de recherche et je le vérifie très rapidement. Je ne dois plus regarder 10 vidéos YouTube pour comprendre quelque chose et j'économise ainsi mon temps. Je te le recommande !

Sudenaz Ocak

utilisateur Android

Cette application m'a vraiment fait m'améliorer ! J'étais vraiment nul en maths à l'école et grâce à l'appli, je suis meilleur en maths ! Je suis tellement reconnaissante que vous ayez créé cette application.

Greenlight Bonnie

utilisateur Android

PARFAIT 🌟 💕🔥 ça facilite Vrmt la révision avec des fiches de révisions fascinants✨🥰

Khady

utilisatrice d'Android

Je conseille vraiment ! je galère à avoir des cours clairs et ça aide énormément !!

Claire

utilisatrice iOS

C’est vraiment mais vraiment la meilleurs appli au début de l’année au collège jetait une élève perturbatrice et j’avais 9 de moyenne générale plus précisément 9,68... Et la un de mes potes me donne cette appli pour réviser c’était incroyable y’a des fiche de révision des quiz bref grâce à cette appli je suis passé de 9,68 à 17,40 trop contente 🤩🤩

Raoul

utilisateur IOS

Knowunity est vraiment une application incroyable elle est pour tous les âges et s’adapte à tous les niveaux.Elle permet de mieux comprendre et apprendre. Cette application est super pour les devoirs et pour les contrôles je la recommande à tous le monde petit ou grands

Ella

utilisatrice iOS

 

Maths

221

1 janv. 2026

4 pages

Approfondir vos compétences en dérivation - Guide pratique

M

Marine Gaurier

@marinegaurier_rrb3

Tu vas maintenant maîtriser la dérivation des fonctions composées, une technique super utile pour calculer des dérivées plus complexes. Cette méthode te permettra de dériver facilement des fonctions comme $e^{2x+1}$ ou $(x^2+1)^5$.

Maths: compléments sur la
derivation part 2.

Df. la fonction noke to u definie sur I pour $fou(x)= f(u(x))$ est
appelez composte de u suivi

Inscris-toi pour voir le contenuC'est gratuit!

Accès à tous les documents

Améliore tes notes

Rejoins des millions d'étudiants

En t'inscrivant, tu acceptes les Conditions d'utilisation et la Politique de confidentialité.

La fonction composée et sa dérivation

Imagine que tu appliques deux transformations successives à un nombre : d'abord uu, puis ff. La fonction composée fuf \circ u fait exactement ça : fu(x)=f(u(x))f \circ u(x) = f(u(x)).

La règle de dérivation est simple mais puissante : (fu)(x)=f(u(x))×u(x)(f \circ u)'(x) = f'(u(x)) \times u'(x). Tu dérive d'abord la fonction extérieure, puis tu multiplies par la dérivée de la fonction intérieure.

Prenons g(x)=e2x+1g(x) = e^{2x+1}. Ici, f(x)=exf(x) = e^x et u(x)=2x+1u(x) = 2x+1. Donc g(x)=e2x+1×2=2e2x+1g'(x) = e^{2x+1} \times 2 = 2e^{2x+1}.

Astuce : Identifie toujours la fonction "extérieure" et la fonction "intérieure" avant de dériver !

Maths: compléments sur la
derivation part 2.

Df. la fonction noke to u definie sur I pour $fou(x)= f(u(x))$ est
appelez composte de u suivi

Inscris-toi pour voir le contenuC'est gratuit!

Accès à tous les documents

Améliore tes notes

Rejoins des millions d'étudiants

En t'inscrivant, tu acceptes les Conditions d'utilisation et la Politique de confidentialité.

Les formules de dérivation essentielles

Voici ton arsenal de base pour dériver n'importe quelle fonction. Ces formules, tu dois les connaître par cœur !

Fonctions usuelles : xnx^n donne nxn1nx^{n-1}, x\sqrt{x} donne 12x\frac{1}{2\sqrt{x}}, exe^x reste exe^x. Pour eax+be^{ax+b}, c'est aeax+bae^{ax+b}.

Opérations importantes : La somme (u+v)=u+v(u+v)' = u' + v', le produit (uv)=uv+uv(uv)' = u'v + uv', le quotient (uv)=uvuvv2(\frac{u}{v})' = \frac{u'v - uv'}{v^2}.

Ces règles se combinent avec la dérivation des fonctions composées pour résoudre tous les exercices !

Important : Maîtrise d'abord ces formules simples avant de t'attaquer aux fonctions composées.

Maths: compléments sur la
derivation part 2.

Df. la fonction noke to u definie sur I pour $fou(x)= f(u(x))$ est
appelez composte de u suivi

Inscris-toi pour voir le contenuC'est gratuit!

Accès à tous les documents

Améliore tes notes

Rejoins des millions d'étudiants

En t'inscrivant, tu acceptes les Conditions d'utilisation et la Politique de confidentialité.

Applications pratiques des fonctions composées

Maintenant, appliquons ces règles à des cas concrets que tu retrouveras souvent dans tes exercices.

Pour unu^n : Si f(x)=(x2+x+1)5f(x) = (x^2+x+1)^5, alors f(x)=5(2x+1)(x2+x+1)4f'(x) = 5(2x+1)(x^2+x+1)^4. Tu multiplies par la puissance, tu baisses d'un cran, et tu multiplies par la dérivée de l'intérieur.

Pour u\sqrt{u} : La dérivée de ax+b\sqrt{ax+b} est a2ax+b\frac{a}{2\sqrt{ax+b}}. Pour eue^u : La dérivée de ex2+x+1e^{x^2+x+1} est (2x+1)ex2+x+1(2x+1)e^{x^2+x+1}.

Le schéma reste le même : dérive l'extérieur, garde l'intérieur intact, multiplie par la dérivée de l'intérieur.

Conseil : Écris toujours clairement u(x)u(x) et u(x)u'(x) avant de calculer pour éviter les erreurs !

Maths: compléments sur la
derivation part 2.

Df. la fonction noke to u definie sur I pour $fou(x)= f(u(x))$ est
appelez composte de u suivi

Inscris-toi pour voir le contenuC'est gratuit!

Accès à tous les documents

Améliore tes notes

Rejoins des millions d'étudiants

En t'inscrivant, tu acceptes les Conditions d'utilisation et la Politique de confidentialité.

Exercices types et tableaux de variations

Ces exercices montrent comment appliquer concrètement toutes ces règles dans différentes situations.

Fonctions rationnelles : Pour f(x)=13x+2f(x) = \frac{1}{3x+2}, tu utilises (1u)=uu2(\frac{1}{u})' = -\frac{u'}{u^2}, ce qui donne 3(3x+2)2\frac{-3}{(3x+2)^2}. Pour les quotients comme 5x+12x+4\frac{5x+1}{2x+4}, applique la formule du quotient.

Produits avec exponentielle : f(x)=xexf(x) = xe^x donne f(x)=ex+xex=ex(1+x)f'(x) = e^x + xe^x = e^x(1+x) grâce à la règle du produit.

Tableau de variations : Une fois que tu as f(x)f'(x), trouve où elle s'annule pour déterminer les extremums. Par exemple, pour f(x)=2x+3f'(x) = 2x+3, le minimum est en x=32x = -\frac{3}{2}.

Méthode : Toujours factoriser f(x)f'(x) quand c'est possible pour mieux voir les changements de signe !

Si on te demande...

Qu'est-ce que le compagnon IA de Knowunity ?

Notre compagnon IA est spécialement conçu pour répondre aux besoins des étudiants. Sur la base des millions d'éléments de contenu que nous avons sur la plateforme, nous pouvons fournir des réponses vraiment significatives et pertinentes aux étudiants. Mais il ne s'agit pas seulement de réponses, le compagnon a encore plus pour but de guider les élèves dans leurs défis d'apprentissage quotidiens, avec des plans d'étude personnalisés, des quiz ou des éléments de contenu dans le chat et une personnalisation à 100% basée sur les compétences et les développements de l'étudiant.

Où puis-je télécharger l'application Knowunity ?

Tu peux télécharger l'application dans Google Play Store et dans l'App Store d'Apple.

L'application est-elle vraiment gratuite ?

Oui, tu as un accès entièrement gratuit à tous les contenus de l'appli, tu peux chatter ou suivre les créateurs à tout moment. De plus, nous proposons Knowunity Premium, qui te permet de réviser sans limites!

4

Outils Intelligents NOUVEAU

Transforme cette fiche en : ✓ 50+ Questions d'Entraînement ✓ Cartes Mémoire Interactives ✓ Examen Blanc Complet ✓ Plans de Dissertation

Examen Blanc
Quiz
Flashcards
Dissertation

Contenus les plus populaires en Maths

Contenus les plus populaires

Rien ne te convient ? Explore d'autres matières.

Les étudiants nous adorent — il ne manque plus que toi.

4.9/5

App Store

4.8/5

Google Play

L'application est très facile d'utilisation et bien conçue. Jusqu'à présent, j'ai trouvé tout ce que je cherchais et j'ai pu apprendre beaucoup de choses grâce aux présentations ! Je vais certainement utiliser l'application pour un travail en classe ! Et comme source d'inspiration personnelle, elle est bien sûr aussi très utile.

Stefan S

utilisateur iOS

Cette application est vraiment super. Il y a tellement de fiches de révision et d'aide, [...]. Par exemple, la matière qui me pose problème est le français et l'appli a un choix d'aide très large. Grâce à cette application, je me suis améliorée en français. Je la recommanderais à tout le monde.

Samantha Klich

utilisatrice Android

Waouh, je suis vraiment abasourdi. J'ai essayé l'application parce que je l'avais déjà vue plusieurs fois dans la publicité et j'ai été absolument choquée. Cette appli est L'AIDE dont on rêve pour l'école et surtout, elle propose tellement de choses, comme des rédactions et des fiches qui m'ont personnellement TRÈS bien aidé.

Anna

utilisatrice iOS

Meilleur application je voulais m'entraîner pour mes maths puis j'ai tout compris d'un coup c'est mon nouveau prof maintenant 🤣🤣

Thomas R

utilisateur d' Android

super application pour réviser je révise tout les soirs

Esteban M

utilisateur d'Android

Permet de vraiment comprendre les cours sous forme de fiches de révisions déjà faites ! Incroyable, je recommande vraiment

Leny

utilisateur d'Android

L'application est tout simplement géniale ! Il me suffit de taper mon sujet dans la barre de recherche et je le vérifie très rapidement. Je ne dois plus regarder 10 vidéos YouTube pour comprendre quelque chose et j'économise ainsi mon temps. Je te le recommande !

Sudenaz Ocak

utilisateur Android

Cette application m'a vraiment fait m'améliorer ! J'étais vraiment nul en maths à l'école et grâce à l'appli, je suis meilleur en maths ! Je suis tellement reconnaissante que vous ayez créé cette application.

Greenlight Bonnie

utilisateur Android

PARFAIT 🌟 💕🔥 ça facilite Vrmt la révision avec des fiches de révisions fascinants✨🥰

Khady

utilisatrice d'Android

Je conseille vraiment ! je galère à avoir des cours clairs et ça aide énormément !!

Claire

utilisatrice iOS

C’est vraiment mais vraiment la meilleurs appli au début de l’année au collège jetait une élève perturbatrice et j’avais 9 de moyenne générale plus précisément 9,68... Et la un de mes potes me donne cette appli pour réviser c’était incroyable y’a des fiche de révision des quiz bref grâce à cette appli je suis passé de 9,68 à 17,40 trop contente 🤩🤩

Raoul

utilisateur IOS

Knowunity est vraiment une application incroyable elle est pour tous les âges et s’adapte à tous les niveaux.Elle permet de mieux comprendre et apprendre. Cette application est super pour les devoirs et pour les contrôles je la recommande à tous le monde petit ou grands

Ella

utilisatrice iOS

L'application est très facile d'utilisation et bien conçue. Jusqu'à présent, j'ai trouvé tout ce que je cherchais et j'ai pu apprendre beaucoup de choses grâce aux présentations ! Je vais certainement utiliser l'application pour un travail en classe ! Et comme source d'inspiration personnelle, elle est bien sûr aussi très utile.

Stefan S

utilisateur iOS

Cette application est vraiment super. Il y a tellement de fiches de révision et d'aide, [...]. Par exemple, la matière qui me pose problème est le français et l'appli a un choix d'aide très large. Grâce à cette application, je me suis améliorée en français. Je la recommanderais à tout le monde.

Samantha Klich

utilisatrice Android

Waouh, je suis vraiment abasourdi. J'ai essayé l'application parce que je l'avais déjà vue plusieurs fois dans la publicité et j'ai été absolument choquée. Cette appli est L'AIDE dont on rêve pour l'école et surtout, elle propose tellement de choses, comme des rédactions et des fiches qui m'ont personnellement TRÈS bien aidé.

Anna

utilisatrice iOS

Meilleur application je voulais m'entraîner pour mes maths puis j'ai tout compris d'un coup c'est mon nouveau prof maintenant 🤣🤣

Thomas R

utilisateur d' Android

super application pour réviser je révise tout les soirs

Esteban M

utilisateur d'Android

Permet de vraiment comprendre les cours sous forme de fiches de révisions déjà faites ! Incroyable, je recommande vraiment

Leny

utilisateur d'Android

L'application est tout simplement géniale ! Il me suffit de taper mon sujet dans la barre de recherche et je le vérifie très rapidement. Je ne dois plus regarder 10 vidéos YouTube pour comprendre quelque chose et j'économise ainsi mon temps. Je te le recommande !

Sudenaz Ocak

utilisateur Android

Cette application m'a vraiment fait m'améliorer ! J'étais vraiment nul en maths à l'école et grâce à l'appli, je suis meilleur en maths ! Je suis tellement reconnaissante que vous ayez créé cette application.

Greenlight Bonnie

utilisateur Android

PARFAIT 🌟 💕🔥 ça facilite Vrmt la révision avec des fiches de révisions fascinants✨🥰

Khady

utilisatrice d'Android

Je conseille vraiment ! je galère à avoir des cours clairs et ça aide énormément !!

Claire

utilisatrice iOS

C’est vraiment mais vraiment la meilleurs appli au début de l’année au collège jetait une élève perturbatrice et j’avais 9 de moyenne générale plus précisément 9,68... Et la un de mes potes me donne cette appli pour réviser c’était incroyable y’a des fiche de révision des quiz bref grâce à cette appli je suis passé de 9,68 à 17,40 trop contente 🤩🤩

Raoul

utilisateur IOS

Knowunity est vraiment une application incroyable elle est pour tous les âges et s’adapte à tous les niveaux.Elle permet de mieux comprendre et apprendre. Cette application est super pour les devoirs et pour les contrôles je la recommande à tous le monde petit ou grands

Ella

utilisatrice iOS