Les suites arithmético-géométriquessont partout autour de nous ! Population... Affiche plus
Inscris-toi pour voir le contenuC'est gratuit!
Accès à tous les documents
Améliore tes notes
Rejoins des millions d'étudiants
Knowunity AI
Matières
Triangle Congruence and Similarity Theorems
Triangle Properties and Classification
Linear Equations and Graphs
Geometric Angle Relationships
Trigonometric Functions and Identities
Equation Solving Techniques
Circle Geometry Fundamentals
Division Operations and Methods
Basic Differentiation Rules
Exponent and Logarithm Properties
Affiche tous les sujets
Human Organ Systems
Reproductive Cell Cycles
Biological Sciences Subdisciplines
Cellular Energy Metabolism
Autotrophic Energy Processes
Inheritance Patterns and Principles
Biomolecular Structure and Organization
Cell Cycle and Division Mechanics
Cellular Organization and Development
Biological Structural Organization
Affiche tous les sujets
Chemical Sciences and Applications
Atomic Structure and Composition
Molecular Electron Structure Representation
Atomic Electron Behavior
Matter Properties and Water
Mole Concept and Calculations
Gas Laws and Behavior
Periodic Table Organization
Chemical Thermodynamics Fundamentals
Chemical Bond Types and Properties
Affiche tous les sujets
European Renaissance and Enlightenment
European Cultural Movements 800-1920
American Revolution Era 1763-1797
American Civil War 1861-1865
Global Imperial Systems
Mongol and Chinese Dynasties
U.S. Presidents and World Leaders
Historical Sources and Documentation
World Wars Era and Impact
World Religious Systems
Affiche tous les sujets
Classic and Contemporary Novels
Literary Character Analysis
Rhetorical Theory and Practice
Classic Literary Narratives
Reading Analysis and Interpretation
Narrative Structure and Techniques
English Language Components
Influential English-Language Authors
Basic Sentence Structure
Narrative Voice and Perspective
Affiche tous les sujets
199
•
Mis à jour Mar 29, 2026
•
Mathieu
@mat_0mhm
Les suites arithmético-géométriquessont partout autour de nous ! Population... Affiche plus









Tu vas bosser sur des suites arithmético-géométriques - des suites qui suivent le modèle . Ces suites apparaissent dans plein de situations concrètes !
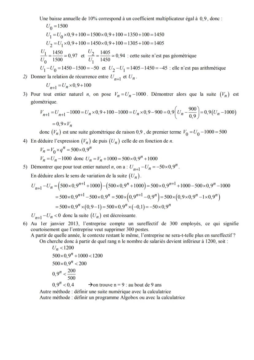
Premier exercice : évolution d'une population avec un taux d'accroissement de 14‰ plus des migrations. Deuxième exercice : effectifs d'une entreprise qui perd 10% de ses employés chaque année mais embauche 100 personnes.
Le troisième traite des donateurs d'une association (20% arrêtent, 300 nouveaux arrivent), le quatrième des inscriptions à la natation, et le dernier d'une suite théorique.
Astuce clé : Pour résoudre ces exercices, on pose toujours pour transformer la suite en suite géométrique !

Les dernières questions portent sur les variations des suites et leur comportement à long terme. Tu dois savoir calculer pour déterminer si une suite est croissante ou décroissante.
Pour les questions "Au bout de combien d'années...", plusieurs méthodes s'offrent à toi : calculatrice, algorithmes, ou résolution d'inéquations. L'algorithme est souvent le plus simple pour les valeurs numériques.
Le dernier exercice te montre comment calculer la somme des termes d'une suite. Tu utilises la formule de la somme géométrique après avoir séparé la partie géométrique de la partie constante.
Méthode pratique : Teste toujours tes formules avec les premiers termes pour vérifier que tu n'as pas fait d'erreur de calcul !

Les corrigés te montrent la méthode complète. Pour l'exercice population : , puis avec la formule .
La transformation donne une suite géométrique de raison 1,014. D'où . En 2015, ça fait environ 86 millions d'habitants !
Pour l'entreprise, même principe : . Avec , on obtient . L'entreprise ne sera plus en sureffectif au bout de 9 ans.
Point important : La transformation fonctionne toujours pour les suites arithmético-géométriques !

Les calculs de variations suivent toujours la même logique. Pour l'entreprise : , donc la suite est décroissante. Normal, l'entreprise perd des employés !
L'algorithme AlgoBox te donne une méthode concrète pour résoudre les questions numériques. Tu initialises tes variables, puis tu fais tourner une boucle "tant que" jusqu'à atteindre la condition voulue.
Les trois méthodes (calculatrice, formule, algorithme) donnent le même résultat : cohérence = réussite ! Si tu obtiens des résultats différents, c'est qu'il y a une erreur quelque part.
Conseil pratique : L'algorithme est très utile quand les calculs deviennent trop lourds à la main !

Pour l'exercice association : avec la transformation . Ça donne . La suite est croissante car .
Question piège : "Quand dépasse-t-on 1500 donateurs ?" En fait, jamais ! La suite tend vers 1500 sans jamais l'atteindre. D'où l'astuce de l'algorithme qui teste 1499 au lieu de 1500.
Cette limite de 1500 s'appelle une asymptote horizontale. C'est logique : avec 20% qui partent et 300 nouveaux, l'équilibre se fait autour de $300 ÷ 0{,}2 = 1500$ donateurs.
Observation importante : Attention aux limites ! Parfois on s'approche d'une valeur sans jamais l'atteindre.

L'exercice natation suit la même logique : 5% d'abandons, 10 nouvelles inscriptions par semaine. Avec , on obtient puis la formule générale .
La transformation donne une suite géométrique de raison 0,95 et premier terme -120. D'où .
Pour dépasser 150 inscrits, il faut 18 semaines. La suite est croissante car . Elle tend vers 200 inscrits (limite théorique).
Logique du modèle : 10 nouveaux par semaine, 5% d'abandons → équilibre à $10 ÷ 0{,}05 = 200$ inscrits.

Le calcul de pour la natation montre bien la méthode : tu développes, tu factorises, tu simplifies. Résultat : $6 \times 0{,}95^n$, donc croissance assurée !
L'algorithme confirme les 18 semaines pour dépasser 150 inscrits. Ces programmes sont très pratiques pour vérifier tes calculs théoriques ou quand les formules deviennent trop complexes.
L'exercice 5 est plus direct : suite définie par avec . C'est une suite arithmético-géométriques classique qui se résout facilement.
Méthode systématique : Transformation → suite géométrique → expression explicite → propriétés !

Pour la suite , la transformation donne une suite géométrique de raison 2. D'où .
Le calcul de la somme des 11 premiers termes utilise la formule de la somme géométrique : .
L'algorithme de vérification donne un résultat légèrement différent (2080 vs 2688), ce qui montre l'importance de vérifier ses calculs ! En cas de doute, reprends étape par étape.
Conseil final : Les suites arithmético-géométriques suivent toujours le même schéma de résolution. Maîtrise cette méthode et tu réussiras tous les exercices !
Notre compagnon IA est spécialement conçu pour répondre aux besoins des étudiants. Sur la base des millions d'éléments de contenu que nous avons sur la plateforme, nous pouvons fournir des réponses vraiment significatives et pertinentes aux étudiants. Mais il ne s'agit pas seulement de réponses, le compagnon a encore plus pour but de guider les élèves dans leurs défis d'apprentissage quotidiens, avec des plans d'étude personnalisés, des quiz ou des éléments de contenu dans le chat et une personnalisation à 100% basée sur les compétences et les développements de l'étudiant.
Tu peux télécharger l'application dans Google Play Store et dans l'App Store d'Apple.
Oui, tu as un accès entièrement gratuit à tous les contenus de l'appli, tu peux chatter ou suivre les créateurs à tout moment. De plus, nous proposons Knowunity Premium, qui te permet de réviser sans limites!
tu vas enfin comprendre des suites
App Store
Google Play
L'application est très facile d'utilisation et bien conçue. Jusqu'à présent, j'ai trouvé tout ce que je cherchais et j'ai pu apprendre beaucoup de choses grâce aux présentations ! Je vais certainement utiliser l'application pour un travail en classe ! Et comme source d'inspiration personnelle, elle est bien sûr aussi très utile.
Stefan S
utilisateur iOS
Cette application est vraiment super. Il y a tellement de fiches de révision et d'aide, [...]. Par exemple, la matière qui me pose problème est le français et l'appli a un choix d'aide très large. Grâce à cette application, je me suis améliorée en français. Je la recommanderais à tout le monde.
Samantha Klich
utilisatrice Android
Waouh, je suis vraiment abasourdi. J'ai essayé l'application parce que je l'avais déjà vue plusieurs fois dans la publicité et j'ai été absolument choquée. Cette appli est L'AIDE dont on rêve pour l'école et surtout, elle propose tellement de choses, comme des rédactions et des fiches qui m'ont personnellement TRÈS bien aidé.
Anna
utilisatrice iOS
Meilleur application je voulais m'entraîner pour mes maths puis j'ai tout compris d'un coup c'est mon nouveau prof maintenant 🤣🤣
Thomas R
utilisateur d' Android
super application pour réviser je révise tout les soirs
Esteban M
utilisateur d'Android
Permet de vraiment comprendre les cours sous forme de fiches de révisions déjà faites ! Incroyable, je recommande vraiment
Leny
utilisateur d'Android
L'application est tout simplement géniale ! Il me suffit de taper mon sujet dans la barre de recherche et je le vérifie très rapidement. Je ne dois plus regarder 10 vidéos YouTube pour comprendre quelque chose et j'économise ainsi mon temps. Je te le recommande !
Sudenaz Ocak
utilisateur Android
Cette application m'a vraiment fait m'améliorer ! J'étais vraiment nul en maths à l'école et grâce à l'appli, je suis meilleur en maths ! Je suis tellement reconnaissante que vous ayez créé cette application.
Greenlight Bonnie
utilisateur Android
PARFAIT 🌟 💕🔥 ça facilite Vrmt la révision avec des fiches de révisions fascinants✨🥰
Khady
utilisatrice d'Android
Je conseille vraiment ! je galère à avoir des cours clairs et ça aide énormément !!
Claire
utilisatrice iOS
LES QUIZ ET CARTES MÉMOIRE SONT TROP UTILES ET J'ADORE Knowunity IA. C'EST LITTÉRALEMENT COMME CHATGPT MAIS EN PLUS INTELLIGENT !! ÇA M'A AIDÉ AVEC MES PROBLÈMES DE MASCARA AUSSI !! AINSI QUE MES VRAIES MATIÈRES ! ÉVIDEMMENT 😍😁😲🤑💗✨🎀😮
Raoul
utilisateur IOS
Knowunity est vraiment une application incroyable elle est pour tous les âges et s’adapte à tous les niveaux.Elle permet de mieux comprendre et apprendre. Cette application est super pour les devoirs et pour les contrôles je la recommande à tous le monde petit ou grands
Ella
utilisatrice iOS
L'application est très facile d'utilisation et bien conçue. Jusqu'à présent, j'ai trouvé tout ce que je cherchais et j'ai pu apprendre beaucoup de choses grâce aux présentations ! Je vais certainement utiliser l'application pour un travail en classe ! Et comme source d'inspiration personnelle, elle est bien sûr aussi très utile.
Stefan S
utilisateur iOS
Cette application est vraiment super. Il y a tellement de fiches de révision et d'aide, [...]. Par exemple, la matière qui me pose problème est le français et l'appli a un choix d'aide très large. Grâce à cette application, je me suis améliorée en français. Je la recommanderais à tout le monde.
Samantha Klich
utilisatrice Android
Waouh, je suis vraiment abasourdi. J'ai essayé l'application parce que je l'avais déjà vue plusieurs fois dans la publicité et j'ai été absolument choquée. Cette appli est L'AIDE dont on rêve pour l'école et surtout, elle propose tellement de choses, comme des rédactions et des fiches qui m'ont personnellement TRÈS bien aidé.
Anna
utilisatrice iOS
Meilleur application je voulais m'entraîner pour mes maths puis j'ai tout compris d'un coup c'est mon nouveau prof maintenant 🤣🤣
Thomas R
utilisateur d' Android
super application pour réviser je révise tout les soirs
Esteban M
utilisateur d'Android
Permet de vraiment comprendre les cours sous forme de fiches de révisions déjà faites ! Incroyable, je recommande vraiment
Leny
utilisateur d'Android
L'application est tout simplement géniale ! Il me suffit de taper mon sujet dans la barre de recherche et je le vérifie très rapidement. Je ne dois plus regarder 10 vidéos YouTube pour comprendre quelque chose et j'économise ainsi mon temps. Je te le recommande !
Sudenaz Ocak
utilisateur Android
Cette application m'a vraiment fait m'améliorer ! J'étais vraiment nul en maths à l'école et grâce à l'appli, je suis meilleur en maths ! Je suis tellement reconnaissante que vous ayez créé cette application.
Greenlight Bonnie
utilisateur Android
PARFAIT 🌟 💕🔥 ça facilite Vrmt la révision avec des fiches de révisions fascinants✨🥰
Khady
utilisatrice d'Android
Je conseille vraiment ! je galère à avoir des cours clairs et ça aide énormément !!
Claire
utilisatrice iOS
LES QUIZ ET CARTES MÉMOIRE SONT TROP UTILES ET J'ADORE Knowunity IA. C'EST LITTÉRALEMENT COMME CHATGPT MAIS EN PLUS INTELLIGENT !! ÇA M'A AIDÉ AVEC MES PROBLÈMES DE MASCARA AUSSI !! AINSI QUE MES VRAIES MATIÈRES ! ÉVIDEMMENT 😍😁😲🤑💗✨🎀😮
Raoul
utilisateur IOS
Knowunity est vraiment une application incroyable elle est pour tous les âges et s’adapte à tous les niveaux.Elle permet de mieux comprendre et apprendre. Cette application est super pour les devoirs et pour les contrôles je la recommande à tous le monde petit ou grands
Ella
utilisatrice iOS
Mathieu
@mat_0mhm
Les suites arithmético-géométriques sont partout autour de nous ! Population d'un pays, effectifs d'une entreprise, nombre de donateurs… Ces situations se modélisent avec des suites qui combinent multiplication et addition. Tu vas découvrir comment résoudre ces exercices étape par étape.

Accès à tous les documents
Améliore tes notes
Rejoins des millions d'étudiants
Tu vas bosser sur des suites arithmético-géométriques - des suites qui suivent le modèle . Ces suites apparaissent dans plein de situations concrètes !
Premier exercice : évolution d'une population avec un taux d'accroissement de 14‰ plus des migrations. Deuxième exercice : effectifs d'une entreprise qui perd 10% de ses employés chaque année mais embauche 100 personnes.
Le troisième traite des donateurs d'une association (20% arrêtent, 300 nouveaux arrivent), le quatrième des inscriptions à la natation, et le dernier d'une suite théorique.
Astuce clé : Pour résoudre ces exercices, on pose toujours pour transformer la suite en suite géométrique !

Accès à tous les documents
Améliore tes notes
Rejoins des millions d'étudiants
Les dernières questions portent sur les variations des suites et leur comportement à long terme. Tu dois savoir calculer pour déterminer si une suite est croissante ou décroissante.
Pour les questions "Au bout de combien d'années...", plusieurs méthodes s'offrent à toi : calculatrice, algorithmes, ou résolution d'inéquations. L'algorithme est souvent le plus simple pour les valeurs numériques.
Le dernier exercice te montre comment calculer la somme des termes d'une suite. Tu utilises la formule de la somme géométrique après avoir séparé la partie géométrique de la partie constante.
Méthode pratique : Teste toujours tes formules avec les premiers termes pour vérifier que tu n'as pas fait d'erreur de calcul !

Accès à tous les documents
Améliore tes notes
Rejoins des millions d'étudiants
Les corrigés te montrent la méthode complète. Pour l'exercice population : , puis avec la formule .
La transformation donne une suite géométrique de raison 1,014. D'où . En 2015, ça fait environ 86 millions d'habitants !
Pour l'entreprise, même principe : . Avec , on obtient . L'entreprise ne sera plus en sureffectif au bout de 9 ans.
Point important : La transformation fonctionne toujours pour les suites arithmético-géométriques !

Accès à tous les documents
Améliore tes notes
Rejoins des millions d'étudiants
Les calculs de variations suivent toujours la même logique. Pour l'entreprise : , donc la suite est décroissante. Normal, l'entreprise perd des employés !
L'algorithme AlgoBox te donne une méthode concrète pour résoudre les questions numériques. Tu initialises tes variables, puis tu fais tourner une boucle "tant que" jusqu'à atteindre la condition voulue.
Les trois méthodes (calculatrice, formule, algorithme) donnent le même résultat : cohérence = réussite ! Si tu obtiens des résultats différents, c'est qu'il y a une erreur quelque part.
Conseil pratique : L'algorithme est très utile quand les calculs deviennent trop lourds à la main !

Accès à tous les documents
Améliore tes notes
Rejoins des millions d'étudiants
Pour l'exercice association : avec la transformation . Ça donne . La suite est croissante car .
Question piège : "Quand dépasse-t-on 1500 donateurs ?" En fait, jamais ! La suite tend vers 1500 sans jamais l'atteindre. D'où l'astuce de l'algorithme qui teste 1499 au lieu de 1500.
Cette limite de 1500 s'appelle une asymptote horizontale. C'est logique : avec 20% qui partent et 300 nouveaux, l'équilibre se fait autour de $300 ÷ 0{,}2 = 1500$ donateurs.
Observation importante : Attention aux limites ! Parfois on s'approche d'une valeur sans jamais l'atteindre.

Accès à tous les documents
Améliore tes notes
Rejoins des millions d'étudiants
L'exercice natation suit la même logique : 5% d'abandons, 10 nouvelles inscriptions par semaine. Avec , on obtient puis la formule générale .
La transformation donne une suite géométrique de raison 0,95 et premier terme -120. D'où .
Pour dépasser 150 inscrits, il faut 18 semaines. La suite est croissante car . Elle tend vers 200 inscrits (limite théorique).
Logique du modèle : 10 nouveaux par semaine, 5% d'abandons → équilibre à $10 ÷ 0{,}05 = 200$ inscrits.

Accès à tous les documents
Améliore tes notes
Rejoins des millions d'étudiants
Le calcul de pour la natation montre bien la méthode : tu développes, tu factorises, tu simplifies. Résultat : $6 \times 0{,}95^n$, donc croissance assurée !
L'algorithme confirme les 18 semaines pour dépasser 150 inscrits. Ces programmes sont très pratiques pour vérifier tes calculs théoriques ou quand les formules deviennent trop complexes.
L'exercice 5 est plus direct : suite définie par avec . C'est une suite arithmético-géométriques classique qui se résout facilement.
Méthode systématique : Transformation → suite géométrique → expression explicite → propriétés !

Accès à tous les documents
Améliore tes notes
Rejoins des millions d'étudiants
Pour la suite , la transformation donne une suite géométrique de raison 2. D'où .
Le calcul de la somme des 11 premiers termes utilise la formule de la somme géométrique : .
L'algorithme de vérification donne un résultat légèrement différent (2080 vs 2688), ce qui montre l'importance de vérifier ses calculs ! En cas de doute, reprends étape par étape.
Conseil final : Les suites arithmético-géométriques suivent toujours le même schéma de résolution. Maîtrise cette méthode et tu réussiras tous les exercices !
Notre compagnon IA est spécialement conçu pour répondre aux besoins des étudiants. Sur la base des millions d'éléments de contenu que nous avons sur la plateforme, nous pouvons fournir des réponses vraiment significatives et pertinentes aux étudiants. Mais il ne s'agit pas seulement de réponses, le compagnon a encore plus pour but de guider les élèves dans leurs défis d'apprentissage quotidiens, avec des plans d'étude personnalisés, des quiz ou des éléments de contenu dans le chat et une personnalisation à 100% basée sur les compétences et les développements de l'étudiant.
Tu peux télécharger l'application dans Google Play Store et dans l'App Store d'Apple.
Oui, tu as un accès entièrement gratuit à tous les contenus de l'appli, tu peux chatter ou suivre les créateurs à tout moment. De plus, nous proposons Knowunity Premium, qui te permet de réviser sans limites!
1
Outils Intelligents NOUVEAU
Transforme cette fiche en : ✓ 50+ Questions d'Entraînement ✓ Cartes Mémoire Interactives ✓ Examen blanc complet ✓ Plans de Dissertation
tu vas enfin comprendre des suites
App Store
Google Play
L'application est très facile d'utilisation et bien conçue. Jusqu'à présent, j'ai trouvé tout ce que je cherchais et j'ai pu apprendre beaucoup de choses grâce aux présentations ! Je vais certainement utiliser l'application pour un travail en classe ! Et comme source d'inspiration personnelle, elle est bien sûr aussi très utile.
Stefan S
utilisateur iOS
Cette application est vraiment super. Il y a tellement de fiches de révision et d'aide, [...]. Par exemple, la matière qui me pose problème est le français et l'appli a un choix d'aide très large. Grâce à cette application, je me suis améliorée en français. Je la recommanderais à tout le monde.
Samantha Klich
utilisatrice Android
Waouh, je suis vraiment abasourdi. J'ai essayé l'application parce que je l'avais déjà vue plusieurs fois dans la publicité et j'ai été absolument choquée. Cette appli est L'AIDE dont on rêve pour l'école et surtout, elle propose tellement de choses, comme des rédactions et des fiches qui m'ont personnellement TRÈS bien aidé.
Anna
utilisatrice iOS
Meilleur application je voulais m'entraîner pour mes maths puis j'ai tout compris d'un coup c'est mon nouveau prof maintenant 🤣🤣
Thomas R
utilisateur d' Android
super application pour réviser je révise tout les soirs
Esteban M
utilisateur d'Android
Permet de vraiment comprendre les cours sous forme de fiches de révisions déjà faites ! Incroyable, je recommande vraiment
Leny
utilisateur d'Android
L'application est tout simplement géniale ! Il me suffit de taper mon sujet dans la barre de recherche et je le vérifie très rapidement. Je ne dois plus regarder 10 vidéos YouTube pour comprendre quelque chose et j'économise ainsi mon temps. Je te le recommande !
Sudenaz Ocak
utilisateur Android
Cette application m'a vraiment fait m'améliorer ! J'étais vraiment nul en maths à l'école et grâce à l'appli, je suis meilleur en maths ! Je suis tellement reconnaissante que vous ayez créé cette application.
Greenlight Bonnie
utilisateur Android
PARFAIT 🌟 💕🔥 ça facilite Vrmt la révision avec des fiches de révisions fascinants✨🥰
Khady
utilisatrice d'Android
Je conseille vraiment ! je galère à avoir des cours clairs et ça aide énormément !!
Claire
utilisatrice iOS
LES QUIZ ET CARTES MÉMOIRE SONT TROP UTILES ET J'ADORE Knowunity IA. C'EST LITTÉRALEMENT COMME CHATGPT MAIS EN PLUS INTELLIGENT !! ÇA M'A AIDÉ AVEC MES PROBLÈMES DE MASCARA AUSSI !! AINSI QUE MES VRAIES MATIÈRES ! ÉVIDEMMENT 😍😁😲🤑💗✨🎀😮
Raoul
utilisateur IOS
Knowunity est vraiment une application incroyable elle est pour tous les âges et s’adapte à tous les niveaux.Elle permet de mieux comprendre et apprendre. Cette application est super pour les devoirs et pour les contrôles je la recommande à tous le monde petit ou grands
Ella
utilisatrice iOS
L'application est très facile d'utilisation et bien conçue. Jusqu'à présent, j'ai trouvé tout ce que je cherchais et j'ai pu apprendre beaucoup de choses grâce aux présentations ! Je vais certainement utiliser l'application pour un travail en classe ! Et comme source d'inspiration personnelle, elle est bien sûr aussi très utile.
Stefan S
utilisateur iOS
Cette application est vraiment super. Il y a tellement de fiches de révision et d'aide, [...]. Par exemple, la matière qui me pose problème est le français et l'appli a un choix d'aide très large. Grâce à cette application, je me suis améliorée en français. Je la recommanderais à tout le monde.
Samantha Klich
utilisatrice Android
Waouh, je suis vraiment abasourdi. J'ai essayé l'application parce que je l'avais déjà vue plusieurs fois dans la publicité et j'ai été absolument choquée. Cette appli est L'AIDE dont on rêve pour l'école et surtout, elle propose tellement de choses, comme des rédactions et des fiches qui m'ont personnellement TRÈS bien aidé.
Anna
utilisatrice iOS
Meilleur application je voulais m'entraîner pour mes maths puis j'ai tout compris d'un coup c'est mon nouveau prof maintenant 🤣🤣
Thomas R
utilisateur d' Android
super application pour réviser je révise tout les soirs
Esteban M
utilisateur d'Android
Permet de vraiment comprendre les cours sous forme de fiches de révisions déjà faites ! Incroyable, je recommande vraiment
Leny
utilisateur d'Android
L'application est tout simplement géniale ! Il me suffit de taper mon sujet dans la barre de recherche et je le vérifie très rapidement. Je ne dois plus regarder 10 vidéos YouTube pour comprendre quelque chose et j'économise ainsi mon temps. Je te le recommande !
Sudenaz Ocak
utilisateur Android
Cette application m'a vraiment fait m'améliorer ! J'étais vraiment nul en maths à l'école et grâce à l'appli, je suis meilleur en maths ! Je suis tellement reconnaissante que vous ayez créé cette application.
Greenlight Bonnie
utilisateur Android
PARFAIT 🌟 💕🔥 ça facilite Vrmt la révision avec des fiches de révisions fascinants✨🥰
Khady
utilisatrice d'Android
Je conseille vraiment ! je galère à avoir des cours clairs et ça aide énormément !!
Claire
utilisatrice iOS
LES QUIZ ET CARTES MÉMOIRE SONT TROP UTILES ET J'ADORE Knowunity IA. C'EST LITTÉRALEMENT COMME CHATGPT MAIS EN PLUS INTELLIGENT !! ÇA M'A AIDÉ AVEC MES PROBLÈMES DE MASCARA AUSSI !! AINSI QUE MES VRAIES MATIÈRES ! ÉVIDEMMENT 😍😁😲🤑💗✨🎀😮
Raoul
utilisateur IOS
Knowunity est vraiment une application incroyable elle est pour tous les âges et s’adapte à tous les niveaux.Elle permet de mieux comprendre et apprendre. Cette application est super pour les devoirs et pour les contrôles je la recommande à tous le monde petit ou grands
Ella
utilisatrice iOS