Tu vas maîtriser les dérivées et les limites, deux... Affiche plus
Les Fonctions : Dérivation, Limites et Concepts Essentiels

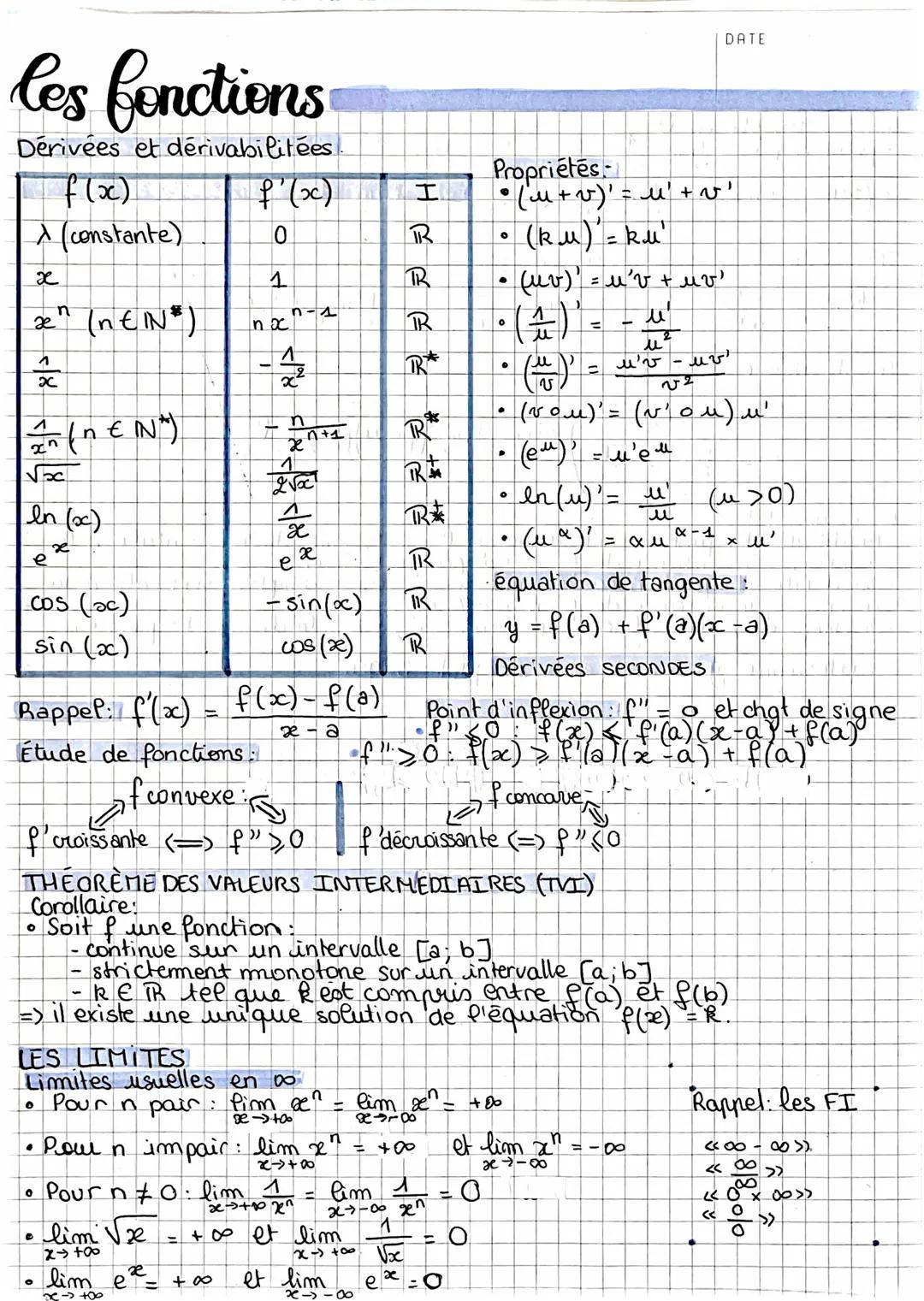
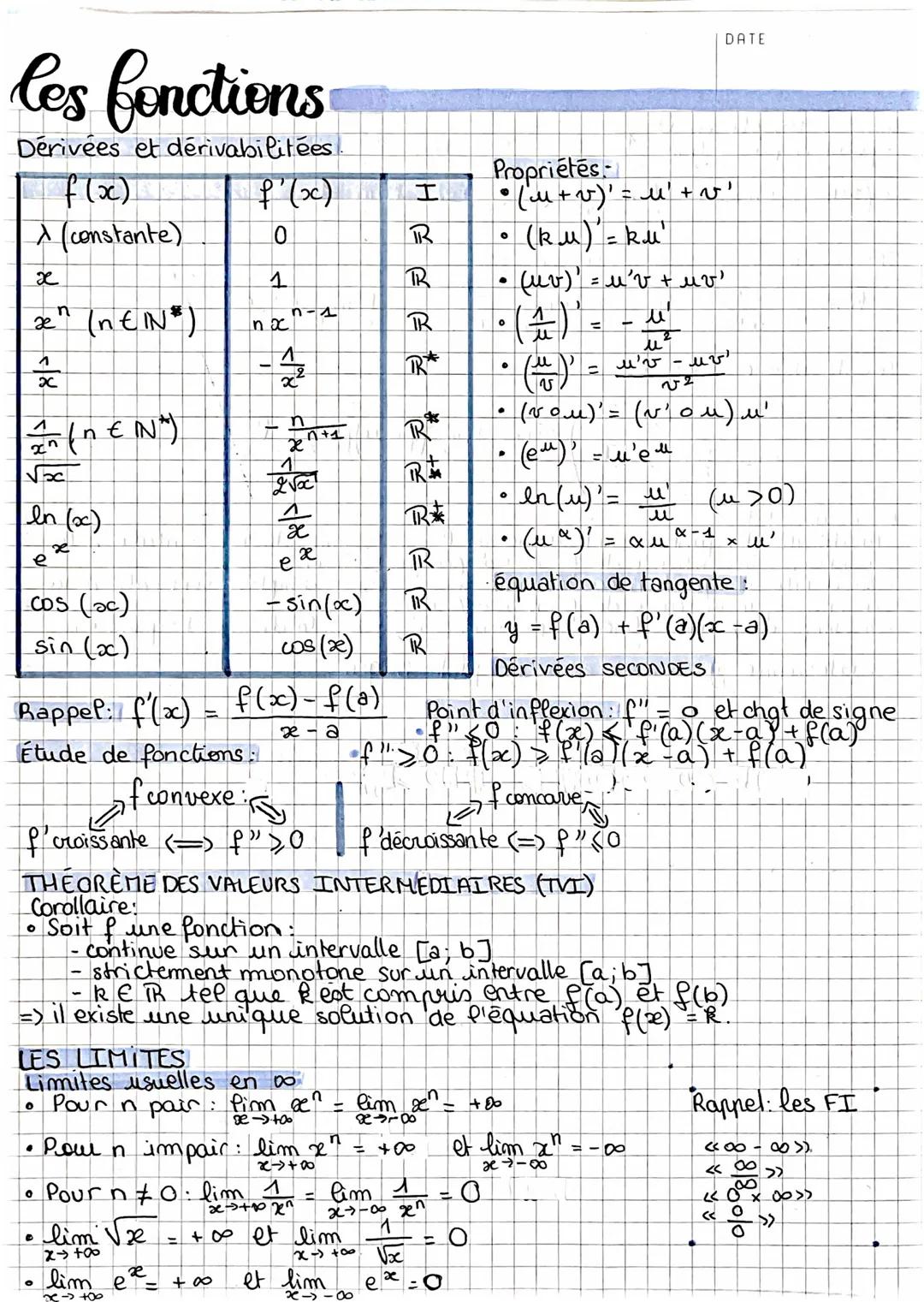
Les dérivées et leurs applications
Retiens d'abord les dérivées usuelles : une constante donne 0, x donne 1, x^n donne nx^. Pour les fonctions plus complexes comme ln(x) ou e^x, leurs dérivées sont respectivement 1/x et e^x elle-même.
Les règles de dérivation sont tes meilleures amies. Pour une somme, tu dérives chaque terme séparément. Pour un produit uv, c'est u'v + uv'. Pour un quotient, utilise la formule ' = /v².
L'équation de la tangente en un point a s'écrit y = f'(a) + f(a). C'est la droite qui "touche" la courbe en ce point précis.
💡 Astuce : La dérivée seconde f'' te renseigne sur la convexité : f'' > 0 signifie que f est convexe (courbe en forme de U), f'' < 0 signifie que f est concave (courbe en forme de ∩).
Le théorème des valeurs intermédiaires garantit qu'une fonction continue et strictement monotone sur [a,b] prend toutes les valeurs entre f(a) et f(b), une seule fois chacune.

Les limites et asymptotes
Les limites en l'infini suivent des règles précises. Pour x^n : si n est pair, la limite est +∞ des deux côtés ; si n est impair, c'est +∞ à droite et -∞ à gauche. Pour 1/x^n, c'est l'inverse qui se produit.
Les limites en 0 dépendent aussi de la parité de n. Pour 1/x^n avec n pair, tu obtiens +∞ des deux côtés. Avec n impair, c'est +∞ à droite et -∞ à gauche.
Le théorème de croissances comparées montre que l'exponentielle "bat" toujours les polynômes : e^x croît plus vite que n'importe quel x^n quand x tend vers +∞.
💡 Important : Pour les asymptotes, retiens les trois types : horizontale , verticale , et oblique qui nécessite que lim = 0.
La limite d'une composée suit une règle simple : si u(x) tend vers β et f(x) tend vers l en β, alors f∘u(x) tend vers l.
Si on te demande...
Qu'est-ce que le compagnon IA de Knowunity ?
Notre compagnon IA est spécialement conçu pour répondre aux besoins des étudiants. Sur la base des millions d'éléments de contenu que nous avons sur la plateforme, nous pouvons fournir des réponses vraiment significatives et pertinentes aux étudiants. Mais il ne s'agit pas seulement de réponses, le compagnon a encore plus pour but de guider les élèves dans leurs défis d'apprentissage quotidiens, avec des plans d'étude personnalisés, des quiz ou des éléments de contenu dans le chat et une personnalisation à 100% basée sur les compétences et les développements de l'étudiant.
Où puis-je télécharger l'appli Knowunity ?
Tu peux télécharger l'application dans Google Play Store et dans l'App Store d'Apple.
L'application est-elle vraiment gratuite ?
Oui, tu as un accès entièrement gratuit à tous les contenus de l'appli, tu peux chatter ou suivre les créateurs à tout moment. De plus, nous proposons Knowunity Premium, qui te permet de réviser sans limites!
Contenus les plus populaires : limite
9Limites et Asymptotes
Explorez les concepts fondamentaux des limites en mathématiques, y compris les limites des fonctions usuelles, les opérations sur les limites, et les théorèmes des gendarmes et de comparaison. Ce résumé est essentiel pour comprendre le comportement asymptotique des fonctions et les limites à l'infini.
Limites et Asymptotes
Explorez les concepts clés des limites de fonctions, y compris les limites infinies, les asymptotes horizontales et verticales, ainsi que les propriétés algébriques des limites. Ce document présente des schémas explicatifs et des théorèmes essentiels pour comprendre le comportement asymptotique des fonctions. Type: résumé.
Limites de Fonctions
Explorez les concepts clés des limites de fonctions, y compris les asymptotes horizontales et verticales, les formes indéterminées, et le théorème de comparaison. Ce résumé essentiel couvre les notations et lois des limites, idéal pour les étudiants en calcul. Type: résumé.
Limites de Fonctions
Explorez les concepts clés des limites de fonctions, y compris les formes indéterminées, les théorèmes des gendarmes et les lois des limites. Ce document présente des exemples pratiques et des méthodes pour déterminer les limites, essentiel pour les étudiants en calcul. Type: résumé.
Limites des Fonctions
Explorez les concepts clés des limites en mathématiques, y compris les limites à l'infini, les formes indéterminées, et les théorèmes de comparaison. Ce résumé est essentiel pour les étudiants en terminale S. Comprenez comment les asymptotes horizontales et verticales influencent le comportement des fonctions.
Limites en Calcul
Explorez les concepts fondamentaux des limites en mathématiques, y compris les formes indéterminées, les limites à l'infini et la notation des limites. Ce document est idéal pour les étudiants de terminale cherchant à maîtriser les limites dans le cadre de leur programme de calcul.
Mathématiques Avancées
Explorez les concepts clés des mathématiques avancées, y compris les suites, les limites, la continuité, et les probabilités. Ce document de révision est essentiel pour préparer le bac spécial mathématiques 2023. Idéal pour les étudiants souhaitant maîtriser les théorèmes de convergence, les propriétés des fonctions, et les lois de probabilité.
Limites de Suites Avancées
Explorez les concepts clés des limites de suites, y compris les critères de convergence, les théorèmes des gendarmes, et les propriétés des limites de sommes et de produits. Ce document de révision est idéal pour les étudiants de terminale cherchant à maîtriser les limites de suites en mathématiques.
Limites et Continuité Mathématiques
Explorez les concepts clés des limites et de la continuité en mathématiques, y compris les asymptotes, les fonctions indéterminées, et les propriétés des fonctions exponentielles. Ce document de révision est essentiel pour les étudiants en terminale souhaitant maîtriser ces notions fondamentales. Type : Fiche de révision.
Contenus les plus populaires en Maths
9Concepts de Dérivation
Explorez les fondamentaux de la dérivation avec cette fiche de révision. Apprenez les taux de variation, le nombre dérivé, l'équation de la tangente, et les règles de dérivation pour diverses fonctions. Idéal pour les élèves de 1ère en spécialité mathématiques.
math révision brevet blanc
petit quiz pour t’aider à réviser pour les math au brevet
Suites Arithmétiques Détaillées
Explorez les suites arithmétiques, leur définition, et comment démontrer qu'une suite est arithmétique. Ce document couvre les concepts clés tels que la raison, la variation des suites, et inclut des exemples pratiques pour une meilleure compréhension. Type: résumé.
Calcul litteral
Quizz calcul litteral
Mathématiques Terminales: Concepts Clés
Explorez les concepts fondamentaux du programme de mathématiques de terminale, incluant les limites, les dérivées, les suites arithmétiques et géométriques, ainsi que la combinatoire. Ce résumé couvre les principales notions telles que les fonctions exponentielles, le logarithme népérien, et les vecteurs dans l'espace. Idéal pour réviser efficacement avant les examens.
Mathématiques Brevet 3ème
Ce mémo essentiel pour le brevet des collèges couvre les compétences clés en mathématiques, y compris les théorèmes de Pythagore et Thalès, le calcul des aires et volumes, ainsi que les équations et fonctions. Idéal pour réviser les concepts fondamentaux et réussir l'examen.
Produit Scalaire et Orthogonalité
Explorez les concepts fondamentaux du produit scalaire, y compris la norme vectorielle, l'orthogonalité, et les opérations avec des vecteurs. Ce résumé couvre les formules essentielles, les identités remarquables, et l'application du produit scalaire avec le cosinus. Idéal pour les étudiants en mathématiques cherchant à maîtriser la géométrie vectorielle.
Dérivation et Convexité
Dérivation et Convexité Fiche de révision Bac Maths spé Terminal
Suites Numériques Avancées
Explorez les concepts clés des suites numériques, y compris les suites arithmétiques et géométriques, leurs variations et leurs propriétés. Ce document présente des définitions claires, des exemples illustratifs et des méthodes de calcul pour mieux comprendre les suites en mathématiques. Type: résumé.
Contenus les plus populaires
9Guerre Totale : 1939-1945
Explorez les événements marquants de la Seconde Guerre mondiale, de l'invasion de la Pologne à la capitulation du Japon. Ce résumé aborde les concepts clés tels que la guerre totale, le génocide des Juifs, la bataille de Stalingrad, et l'impact de la propagande. Idéal pour les étudiants en histoire cherchant à comprendre les enjeux et les conséquences de ce conflit majeur.
Introduction à la Seconde Guerre mondiale
Identifiez les causes du conflit, les alliances et les dates clés du déclenchement de la guerre en Europe et dans le Pacifique.
Défaite de 1940 et Régime de Vichy
Comprendre l'armistice de juin 1940, la fin de la IIIe République et la mise en place du nouveau régime autoritaire de Philippe Pétain.
Conscience en Philosophie
Explorez la notion de conscience en philosophie à travers ses implications sur la justice, la liberté, et la connaissance. Cette fiche de révision aborde les débats philosophiques sur la conscience, le cogito, et les valeurs morales, tout en intégrant des perspectives contemporaines. Idéale pour les étudiants en philosophie cherchant à approfondir leur compréhension des enjeux éthiques et existentiels.
Figures de Style Essentielles
Explorez les figures de style clés pour enrichir vos commentaires composés et oraux du Bac de Français. Ce document présente des définitions claires et des exemples illustratifs pour chaque figure, y compris la métaphore, la comparaison, et la personnification. Idéal pour les étudiants préparant le Bac.
Combat pour l'Égalité
Analyse approfondie du 'Discours de la servitude volontaire' d'Étienne de la Boétie, explorant les thèmes de la tyrannie, de la désobéissance civile et des droits du peuple. Ce document est conçu pour aider à la préparation de l'oral du bac de français, en mettant l'accent sur la lutte pour l'égalité et la liberté. Idéal pour les étudiants souhaitant comprendre les enjeux de la servitude volontaire et son impact sur la pensée politique moderne.
Guerre Froide : Conflits et Idéologies
Explorez les événements clés de la Guerre Froide (1947-1991), y compris le Plan Marshall, la crise de Berlin, la guerre de Corée et la crise de Cuba. Ce résumé met en lumière les tensions entre le communisme et le capitalisme, ainsi que les conséquences de cette période sur le monde moderne. Type : résumé de cours BAC PRO.
Amazon : Performance et Conditions de Travail
Explorez l'étude de gestion sur Amazon, mettant en lumière la relation entre performance sociale et commerciale. Ce dossier aborde l'impact des conditions de travail sur la performance de l'entreprise, ainsi que les stratégies de croissance et d'innovation technologique. Idéal pour les étudiants en gestion souhaitant comprendre les enjeux contemporains du e-commerce. Type : Synthèse d'étude de gestion.
Analyse linéaire: Ma Bohème, Rimbaud
Analyse linéaire pour l’oral du bac de français. Poème: Ma Bohème, Arthur Rimbaud
Rien ne te convient ? Explore d'autres matières.
Les étudiants nous adorent — il ne manque plus que toi.
L'application est très facile d'utilisation et bien conçue. Jusqu'à présent, j'ai trouvé tout ce que je cherchais et j'ai pu apprendre beaucoup de choses grâce aux présentations ! Je vais certainement utiliser l'application pour un travail en classe ! Et comme source d'inspiration personnelle, elle est bien sûr aussi très utile.
Cette application est vraiment super. Il y a tellement de fiches de révision et d'aide, [...]. Par exemple, la matière qui me pose problème est le français et l'appli a un choix d'aide très large. Grâce à cette application, je me suis améliorée en français. Je la recommanderais à tout le monde.
Waouh, je suis vraiment abasourdi. J'ai essayé l'application parce que je l'avais déjà vue plusieurs fois dans la publicité et j'ai été absolument choquée. Cette appli est L'AIDE dont on rêve pour l'école et surtout, elle propose tellement de choses, comme des rédactions et des fiches qui m'ont personnellement TRÈS bien aidé.
Les Fonctions : Dérivation, Limites et Concepts Essentiels
Tu vas maîtriser les dérivées et les limites, deux outils essentiels pour analyser le comportement des fonctions. Ces concepts te permettront de comprendre comment les fonctions varient et se comportent aux "extrêmes".

Inscris-toi pour voir le contenu. C'est gratuit!
- Accès à tous les documents
- Améliore tes notes
- Rejoins des millions d'étudiants
Les dérivées et leurs applications
Retiens d'abord les dérivées usuelles : une constante donne 0, x donne 1, x^n donne nx^. Pour les fonctions plus complexes comme ln(x) ou e^x, leurs dérivées sont respectivement 1/x et e^x elle-même.
Les règles de dérivation sont tes meilleures amies. Pour une somme, tu dérives chaque terme séparément. Pour un produit uv, c'est u'v + uv'. Pour un quotient, utilise la formule ' = /v².
L'équation de la tangente en un point a s'écrit y = f'(a) + f(a). C'est la droite qui "touche" la courbe en ce point précis.
💡 Astuce : La dérivée seconde f'' te renseigne sur la convexité : f'' > 0 signifie que f est convexe (courbe en forme de U), f'' < 0 signifie que f est concave (courbe en forme de ∩).
Le théorème des valeurs intermédiaires garantit qu'une fonction continue et strictement monotone sur [a,b] prend toutes les valeurs entre f(a) et f(b), une seule fois chacune.

Inscris-toi pour voir le contenu. C'est gratuit!
- Accès à tous les documents
- Améliore tes notes
- Rejoins des millions d'étudiants
Les limites et asymptotes
Les limites en l'infini suivent des règles précises. Pour x^n : si n est pair, la limite est +∞ des deux côtés ; si n est impair, c'est +∞ à droite et -∞ à gauche. Pour 1/x^n, c'est l'inverse qui se produit.
Les limites en 0 dépendent aussi de la parité de n. Pour 1/x^n avec n pair, tu obtiens +∞ des deux côtés. Avec n impair, c'est +∞ à droite et -∞ à gauche.
Le théorème de croissances comparées montre que l'exponentielle "bat" toujours les polynômes : e^x croît plus vite que n'importe quel x^n quand x tend vers +∞.
💡 Important : Pour les asymptotes, retiens les trois types : horizontale , verticale , et oblique qui nécessite que lim = 0.
La limite d'une composée suit une règle simple : si u(x) tend vers β et f(x) tend vers l en β, alors f∘u(x) tend vers l.
Si on te demande...
Qu'est-ce que le compagnon IA de Knowunity ?
Notre compagnon IA est spécialement conçu pour répondre aux besoins des étudiants. Sur la base des millions d'éléments de contenu que nous avons sur la plateforme, nous pouvons fournir des réponses vraiment significatives et pertinentes aux étudiants. Mais il ne s'agit pas seulement de réponses, le compagnon a encore plus pour but de guider les élèves dans leurs défis d'apprentissage quotidiens, avec des plans d'étude personnalisés, des quiz ou des éléments de contenu dans le chat et une personnalisation à 100% basée sur les compétences et les développements de l'étudiant.
Où puis-je télécharger l'appli Knowunity ?
Tu peux télécharger l'application dans Google Play Store et dans l'App Store d'Apple.
L'application est-elle vraiment gratuite ?
Oui, tu as un accès entièrement gratuit à tous les contenus de l'appli, tu peux chatter ou suivre les créateurs à tout moment. De plus, nous proposons Knowunity Premium, qui te permet de réviser sans limites!
Contenus les plus populaires : limite
9Limites et Asymptotes
Explorez les concepts fondamentaux des limites en mathématiques, y compris les limites des fonctions usuelles, les opérations sur les limites, et les théorèmes des gendarmes et de comparaison. Ce résumé est essentiel pour comprendre le comportement asymptotique des fonctions et les limites à l'infini.
Limites et Asymptotes
Explorez les concepts clés des limites de fonctions, y compris les limites infinies, les asymptotes horizontales et verticales, ainsi que les propriétés algébriques des limites. Ce document présente des schémas explicatifs et des théorèmes essentiels pour comprendre le comportement asymptotique des fonctions. Type: résumé.
Limites de Fonctions
Explorez les concepts clés des limites de fonctions, y compris les asymptotes horizontales et verticales, les formes indéterminées, et le théorème de comparaison. Ce résumé essentiel couvre les notations et lois des limites, idéal pour les étudiants en calcul. Type: résumé.
Limites de Fonctions
Explorez les concepts clés des limites de fonctions, y compris les formes indéterminées, les théorèmes des gendarmes et les lois des limites. Ce document présente des exemples pratiques et des méthodes pour déterminer les limites, essentiel pour les étudiants en calcul. Type: résumé.
Limites des Fonctions
Explorez les concepts clés des limites en mathématiques, y compris les limites à l'infini, les formes indéterminées, et les théorèmes de comparaison. Ce résumé est essentiel pour les étudiants en terminale S. Comprenez comment les asymptotes horizontales et verticales influencent le comportement des fonctions.
Limites en Calcul
Explorez les concepts fondamentaux des limites en mathématiques, y compris les formes indéterminées, les limites à l'infini et la notation des limites. Ce document est idéal pour les étudiants de terminale cherchant à maîtriser les limites dans le cadre de leur programme de calcul.
Mathématiques Avancées
Explorez les concepts clés des mathématiques avancées, y compris les suites, les limites, la continuité, et les probabilités. Ce document de révision est essentiel pour préparer le bac spécial mathématiques 2023. Idéal pour les étudiants souhaitant maîtriser les théorèmes de convergence, les propriétés des fonctions, et les lois de probabilité.
Limites de Suites Avancées
Explorez les concepts clés des limites de suites, y compris les critères de convergence, les théorèmes des gendarmes, et les propriétés des limites de sommes et de produits. Ce document de révision est idéal pour les étudiants de terminale cherchant à maîtriser les limites de suites en mathématiques.
Limites et Continuité Mathématiques
Explorez les concepts clés des limites et de la continuité en mathématiques, y compris les asymptotes, les fonctions indéterminées, et les propriétés des fonctions exponentielles. Ce document de révision est essentiel pour les étudiants en terminale souhaitant maîtriser ces notions fondamentales. Type : Fiche de révision.
Contenus les plus populaires en Maths
9Concepts de Dérivation
Explorez les fondamentaux de la dérivation avec cette fiche de révision. Apprenez les taux de variation, le nombre dérivé, l'équation de la tangente, et les règles de dérivation pour diverses fonctions. Idéal pour les élèves de 1ère en spécialité mathématiques.
math révision brevet blanc
petit quiz pour t’aider à réviser pour les math au brevet
Suites Arithmétiques Détaillées
Explorez les suites arithmétiques, leur définition, et comment démontrer qu'une suite est arithmétique. Ce document couvre les concepts clés tels que la raison, la variation des suites, et inclut des exemples pratiques pour une meilleure compréhension. Type: résumé.
Calcul litteral
Quizz calcul litteral
Mathématiques Terminales: Concepts Clés
Explorez les concepts fondamentaux du programme de mathématiques de terminale, incluant les limites, les dérivées, les suites arithmétiques et géométriques, ainsi que la combinatoire. Ce résumé couvre les principales notions telles que les fonctions exponentielles, le logarithme népérien, et les vecteurs dans l'espace. Idéal pour réviser efficacement avant les examens.
Mathématiques Brevet 3ème
Ce mémo essentiel pour le brevet des collèges couvre les compétences clés en mathématiques, y compris les théorèmes de Pythagore et Thalès, le calcul des aires et volumes, ainsi que les équations et fonctions. Idéal pour réviser les concepts fondamentaux et réussir l'examen.
Produit Scalaire et Orthogonalité
Explorez les concepts fondamentaux du produit scalaire, y compris la norme vectorielle, l'orthogonalité, et les opérations avec des vecteurs. Ce résumé couvre les formules essentielles, les identités remarquables, et l'application du produit scalaire avec le cosinus. Idéal pour les étudiants en mathématiques cherchant à maîtriser la géométrie vectorielle.
Dérivation et Convexité
Dérivation et Convexité Fiche de révision Bac Maths spé Terminal
Suites Numériques Avancées
Explorez les concepts clés des suites numériques, y compris les suites arithmétiques et géométriques, leurs variations et leurs propriétés. Ce document présente des définitions claires, des exemples illustratifs et des méthodes de calcul pour mieux comprendre les suites en mathématiques. Type: résumé.
Contenus les plus populaires
9Guerre Totale : 1939-1945
Explorez les événements marquants de la Seconde Guerre mondiale, de l'invasion de la Pologne à la capitulation du Japon. Ce résumé aborde les concepts clés tels que la guerre totale, le génocide des Juifs, la bataille de Stalingrad, et l'impact de la propagande. Idéal pour les étudiants en histoire cherchant à comprendre les enjeux et les conséquences de ce conflit majeur.
Introduction à la Seconde Guerre mondiale
Identifiez les causes du conflit, les alliances et les dates clés du déclenchement de la guerre en Europe et dans le Pacifique.
Défaite de 1940 et Régime de Vichy
Comprendre l'armistice de juin 1940, la fin de la IIIe République et la mise en place du nouveau régime autoritaire de Philippe Pétain.
Conscience en Philosophie
Explorez la notion de conscience en philosophie à travers ses implications sur la justice, la liberté, et la connaissance. Cette fiche de révision aborde les débats philosophiques sur la conscience, le cogito, et les valeurs morales, tout en intégrant des perspectives contemporaines. Idéale pour les étudiants en philosophie cherchant à approfondir leur compréhension des enjeux éthiques et existentiels.
Figures de Style Essentielles
Explorez les figures de style clés pour enrichir vos commentaires composés et oraux du Bac de Français. Ce document présente des définitions claires et des exemples illustratifs pour chaque figure, y compris la métaphore, la comparaison, et la personnification. Idéal pour les étudiants préparant le Bac.
Combat pour l'Égalité
Analyse approfondie du 'Discours de la servitude volontaire' d'Étienne de la Boétie, explorant les thèmes de la tyrannie, de la désobéissance civile et des droits du peuple. Ce document est conçu pour aider à la préparation de l'oral du bac de français, en mettant l'accent sur la lutte pour l'égalité et la liberté. Idéal pour les étudiants souhaitant comprendre les enjeux de la servitude volontaire et son impact sur la pensée politique moderne.
Guerre Froide : Conflits et Idéologies
Explorez les événements clés de la Guerre Froide (1947-1991), y compris le Plan Marshall, la crise de Berlin, la guerre de Corée et la crise de Cuba. Ce résumé met en lumière les tensions entre le communisme et le capitalisme, ainsi que les conséquences de cette période sur le monde moderne. Type : résumé de cours BAC PRO.
Amazon : Performance et Conditions de Travail
Explorez l'étude de gestion sur Amazon, mettant en lumière la relation entre performance sociale et commerciale. Ce dossier aborde l'impact des conditions de travail sur la performance de l'entreprise, ainsi que les stratégies de croissance et d'innovation technologique. Idéal pour les étudiants en gestion souhaitant comprendre les enjeux contemporains du e-commerce. Type : Synthèse d'étude de gestion.
Analyse linéaire: Ma Bohème, Rimbaud
Analyse linéaire pour l’oral du bac de français. Poème: Ma Bohème, Arthur Rimbaud
Rien ne te convient ? Explore d'autres matières.
Les étudiants nous adorent — il ne manque plus que toi.
L'application est très facile d'utilisation et bien conçue. Jusqu'à présent, j'ai trouvé tout ce que je cherchais et j'ai pu apprendre beaucoup de choses grâce aux présentations ! Je vais certainement utiliser l'application pour un travail en classe ! Et comme source d'inspiration personnelle, elle est bien sûr aussi très utile.
Cette application est vraiment super. Il y a tellement de fiches de révision et d'aide, [...]. Par exemple, la matière qui me pose problème est le français et l'appli a un choix d'aide très large. Grâce à cette application, je me suis améliorée en français. Je la recommanderais à tout le monde.
Waouh, je suis vraiment abasourdi. J'ai essayé l'application parce que je l'avais déjà vue plusieurs fois dans la publicité et j'ai été absolument choquée. Cette appli est L'AIDE dont on rêve pour l'école et surtout, elle propose tellement de choses, comme des rédactions et des fiches qui m'ont personnellement TRÈS bien aidé.