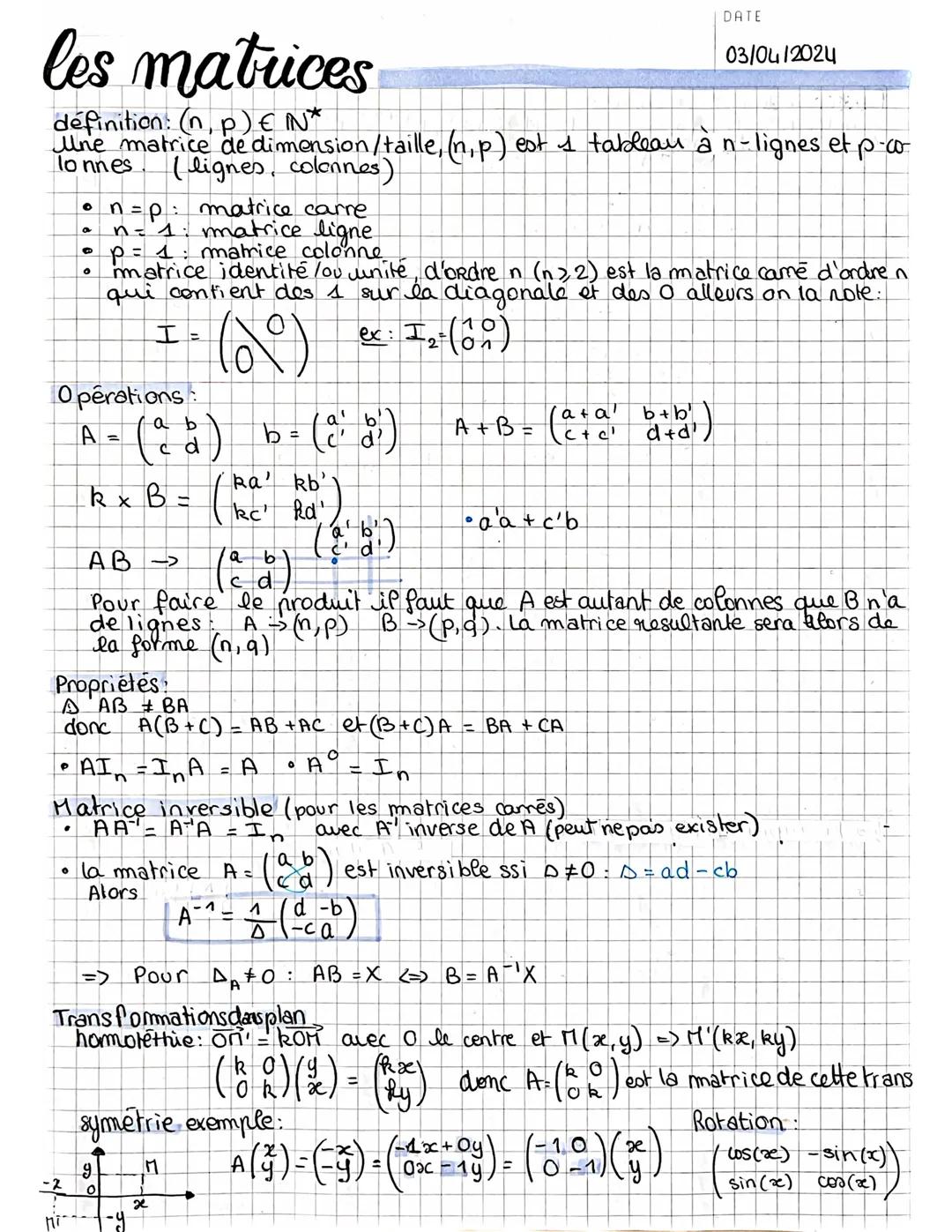
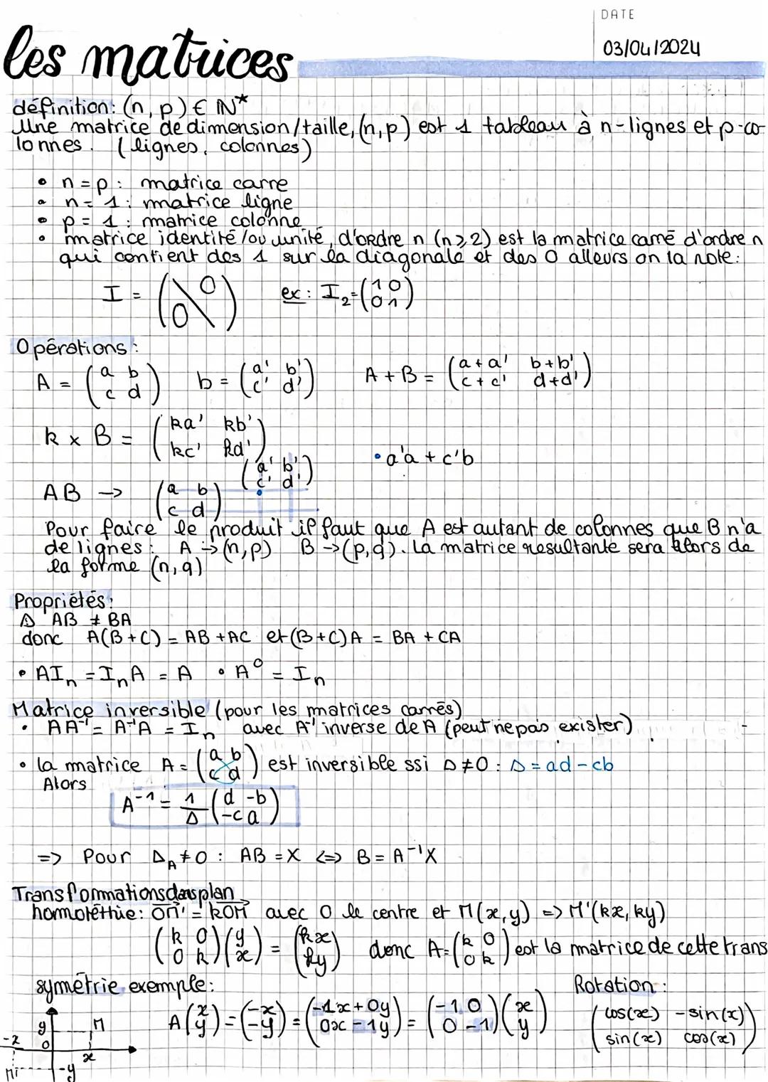
Voici la fiche parfaite pour tes révisions ! Définitions de matrices, opérations (addition, multiplication), matrice inverse, déterminant, transposition, ainsi que la résolution de systèmes d'équations avec des matrices. Bon courage, tu peux le faire !
Inscris-toi pour voir le contenuC'est gratuit!
Accès à tous les documents
Améliore tes notes
Rejoins des millions d'étudiants
En t'inscrivant, tu acceptes les Conditions d'utilisation et la Politique de confidentialité.




