La dérivation est un concept clé en mathématiques qui permet... Affiche plus
Inscris-toi pour voir le contenuC'est gratuit!
Accès à tous les documents
Améliore tes notes
Rejoins des millions d'étudiants
Knowunity AI
Matières
Triangle Congruence and Similarity Theorems
Triangle Properties and Classification
Linear Equations and Graphs
Geometric Angle Relationships
Trigonometric Functions and Identities
Equation Solving Techniques
Circle Geometry Fundamentals
Division Operations and Methods
Basic Differentiation Rules
Exponent and Logarithm Properties
Affiche tous les sujets
Human Organ Systems
Reproductive Cell Cycles
Biological Sciences Subdisciplines
Cellular Energy Metabolism
Autotrophic Energy Processes
Inheritance Patterns and Principles
Biomolecular Structure and Organization
Cell Cycle and Division Mechanics
Cellular Organization and Development
Biological Structural Organization
Affiche tous les sujets
Chemical Sciences and Applications
Atomic Structure and Composition
Molecular Electron Structure Representation
Atomic Electron Behavior
Matter Properties and Water
Mole Concept and Calculations
Gas Laws and Behavior
Periodic Table Organization
Chemical Thermodynamics Fundamentals
Chemical Bond Types and Properties
Affiche tous les sujets
European Renaissance and Enlightenment
European Cultural Movements 800-1920
American Revolution Era 1763-1797
American Civil War 1861-1865
Global Imperial Systems
Mongol and Chinese Dynasties
U.S. Presidents and World Leaders
Historical Sources and Documentation
World Wars Era and Impact
World Religious Systems
Affiche tous les sujets
Classic and Contemporary Novels
Literary Character Analysis
Rhetorical Theory and Practice
Classic Literary Narratives
Reading Analysis and Interpretation
Narrative Structure and Techniques
English Language Components
Influential English-Language Authors
Basic Sentence Structure
Narrative Voice and Perspective
Affiche tous les sujets
255
•
Mis à jour Apr 17, 2026
•
Sofia
@sofia.5
La dérivation est un concept clé en mathématiques qui permet... Affiche plus





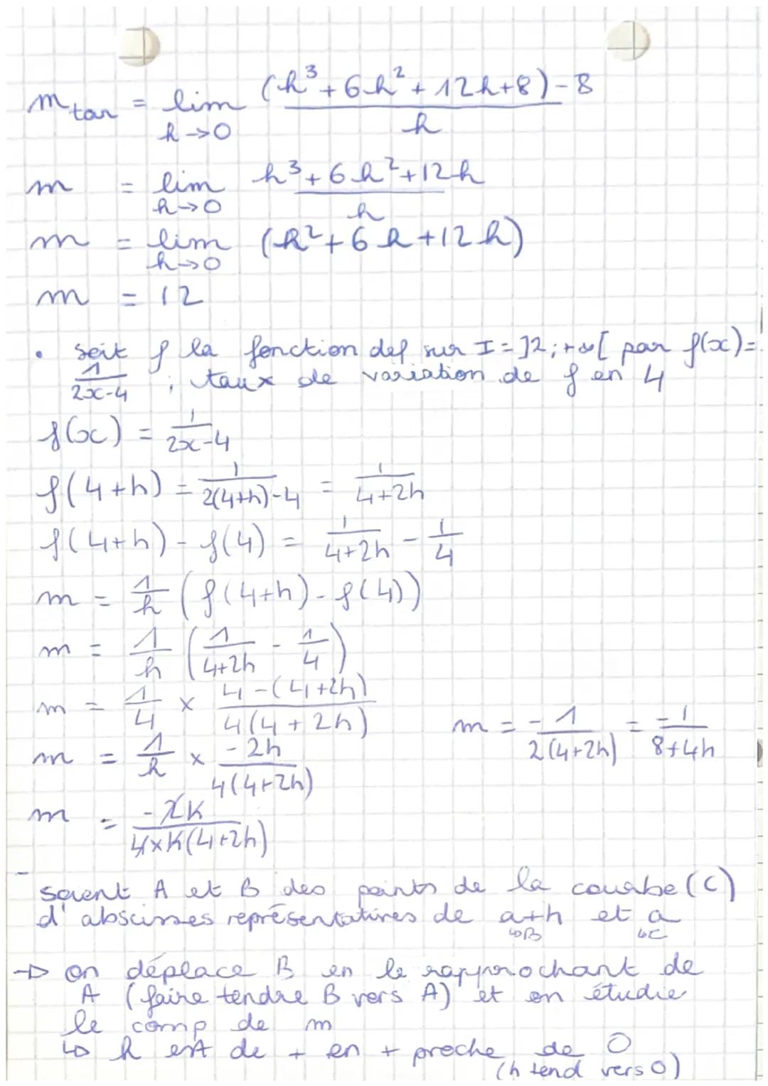
Lorsque nous étudions une courbe représentative d'une fonction, nous pouvons tracer une sécante qui passe par deux points P et Q de cette courbe. Le coefficient directeur de cette sécante se calcule par la formule .
Quand le point Q se rapproche du point P, la sécante tend vers une position limite qu'on appelle la tangente à la courbe au point P. Le coefficient directeur de cette tangente correspond à une limite que l'on note : , où h représente la différence entre les abscisses.
Pour calculer concrètement ce coefficient, on substitue les valeurs dans la formule et on résout la limite. Par exemple, pour la fonction au point (2;8), on remplace par 2 dans la formule du coefficient directeur.
💡 La tangente à une courbe peut être vue comme la droite qui "effleure" la courbe en un seul point, donnant la meilleure approximation linéaire de la courbe à cet endroit.

Pour résoudre notre exemple précédent avec au point (2;8), on développe le calcul en remplaçant les valeurs. Après simplification, on obtient . Le coefficient directeur de la tangente est donc 12.
Un autre exemple intéressant est le calcul du taux de variation de la fonction au point d'abscisse 4. On commence par calculer et . Après plusieurs étapes de simplification, on obtient .
Quand h tend vers 0, le taux de variation tend vers . Ce processus illustre comment on peut déterminer précisément la pente de la courbe en un point donné.
💡 Le taux de variation est comme une "vitesse de changement" de la fonction. Quand ce taux est constant, la fonction est linéaire; quand il varie, la fonction forme une courbe.

Quand on observe ce qui se passe lorsque le point B se rapproche du point A sur une courbe, on constate que la sécante AB prend une position limite. Cette position limite est ce qu'on appelle la tangente à la courbe au point A.
Le coefficient directeur de cette tangente correspond exactement au nombre dérivé de la fonction en ce point. On dit qu'une fonction est dérivable au point d'abscisse a si le taux de variation tend vers une limite finie lorsque h tend vers 0.
Cette limite, notée , est le nombre dérivé de f en a. Il représente concrètement le coefficient directeur de la tangente à la courbe au point d'abscisse a. C'est un outil puissant qui nous permet de comprendre comment la fonction "évolue" localement.
💡 La dérivabilité en un point signifie que la courbe ne présente ni angle ni interruption en ce point - elle est "lisse" et permet de tracer une unique tangente.

Prenons la fonction et calculons son nombre dérivé au point d'abscisse 3. On commence par le taux de variation . Après simplification, on obtient . Quand h tend vers 0, la limite vaut 6, donc .
En revanche, la fonction présente un cas particulier intéressant. En calculant son nombre dérivé au point d'abscisse 0, on obtient . Quand h tend vers 0 par valeurs positives, cette expression tend vers l'infini.
La limite n'existant pas, la fonction n'est pas dérivable au point d'abscisse 0. Cela signifie que la courbe n'admet pas de tangente en ce point - elle présente une "singularité" sous forme de tangente verticale.
💡 Toutes les fonctions ne sont pas dérivables partout ! Les points où la dérivée n'existe pas correspondent souvent à des "ruptures" dans le comportement de la fonction (angles, asymptotes verticales, etc.).
Notre compagnon IA est spécialement conçu pour répondre aux besoins des étudiants. Sur la base des millions d'éléments de contenu que nous avons sur la plateforme, nous pouvons fournir des réponses vraiment significatives et pertinentes aux étudiants. Mais il ne s'agit pas seulement de réponses, le compagnon a encore plus pour but de guider les élèves dans leurs défis d'apprentissage quotidiens, avec des plans d'étude personnalisés, des quiz ou des éléments de contenu dans le chat et une personnalisation à 100% basée sur les compétences et les développements de l'étudiant.
Tu peux télécharger l'application dans Google Play Store et dans l'App Store d'Apple.
Oui, tu as un accès entièrement gratuit à tous les contenus de l'appli, tu peux chatter ou suivre les créateurs à tout moment. De plus, nous proposons Knowunity Premium, qui te permet de réviser sans limites!
App Store
Google Play
L'application est très facile d'utilisation et bien conçue. Jusqu'à présent, j'ai trouvé tout ce que je cherchais et j'ai pu apprendre beaucoup de choses grâce aux présentations ! Je vais certainement utiliser l'application pour un travail en classe ! Et comme source d'inspiration personnelle, elle est bien sûr aussi très utile.
Stefan S
utilisateur iOS
Cette application est vraiment super. Il y a tellement de fiches de révision et d'aide, [...]. Par exemple, la matière qui me pose problème est le français et l'appli a un choix d'aide très large. Grâce à cette application, je me suis améliorée en français. Je la recommanderais à tout le monde.
Samantha Klich
utilisatrice Android
Waouh, je suis vraiment abasourdi. J'ai essayé l'application parce que je l'avais déjà vue plusieurs fois dans la publicité et j'ai été absolument choquée. Cette appli est L'AIDE dont on rêve pour l'école et surtout, elle propose tellement de choses, comme des rédactions et des fiches qui m'ont personnellement TRÈS bien aidé.
Anna
utilisatrice iOS
Meilleur application je voulais m'entraîner pour mes maths puis j'ai tout compris d'un coup c'est mon nouveau prof maintenant 🤣🤣
Thomas R
utilisateur d' Android
super application pour réviser je révise tout les soirs
Esteban M
utilisateur d'Android
Permet de vraiment comprendre les cours sous forme de fiches de révisions déjà faites ! Incroyable, je recommande vraiment
Leny
utilisateur d'Android
L'application est tout simplement géniale ! Il me suffit de taper mon sujet dans la barre de recherche et je le vérifie très rapidement. Je ne dois plus regarder 10 vidéos YouTube pour comprendre quelque chose et j'économise ainsi mon temps. Je te le recommande !
Sudenaz Ocak
utilisateur Android
Cette application m'a vraiment fait m'améliorer ! J'étais vraiment nul en maths à l'école et grâce à l'appli, je suis meilleur en maths ! Je suis tellement reconnaissante que vous ayez créé cette application.
Greenlight Bonnie
utilisateur Android
PARFAIT 🌟 💕🔥 ça facilite Vrmt la révision avec des fiches de révisions fascinants✨🥰
Khady
utilisatrice d'Android
Je conseille vraiment ! je galère à avoir des cours clairs et ça aide énormément !!
Claire
utilisatrice iOS
LES QUIZ ET CARTES MÉMOIRE SONT TROP UTILES ET J'ADORE Knowunity IA. C'EST LITTÉRALEMENT COMME CHATGPT MAIS EN PLUS INTELLIGENT !! ÇA M'A AIDÉ AVEC MES PROBLÈMES DE MASCARA AUSSI !! AINSI QUE MES VRAIES MATIÈRES ! ÉVIDEMMENT 😍😁😲🤑💗✨🎀😮
Raoul
utilisateur IOS
Knowunity est vraiment une application incroyable elle est pour tous les âges et s’adapte à tous les niveaux.Elle permet de mieux comprendre et apprendre. Cette application est super pour les devoirs et pour les contrôles je la recommande à tous le monde petit ou grands
Ella
utilisatrice iOS
L'application est très facile d'utilisation et bien conçue. Jusqu'à présent, j'ai trouvé tout ce que je cherchais et j'ai pu apprendre beaucoup de choses grâce aux présentations ! Je vais certainement utiliser l'application pour un travail en classe ! Et comme source d'inspiration personnelle, elle est bien sûr aussi très utile.
Stefan S
utilisateur iOS
Cette application est vraiment super. Il y a tellement de fiches de révision et d'aide, [...]. Par exemple, la matière qui me pose problème est le français et l'appli a un choix d'aide très large. Grâce à cette application, je me suis améliorée en français. Je la recommanderais à tout le monde.
Samantha Klich
utilisatrice Android
Waouh, je suis vraiment abasourdi. J'ai essayé l'application parce que je l'avais déjà vue plusieurs fois dans la publicité et j'ai été absolument choquée. Cette appli est L'AIDE dont on rêve pour l'école et surtout, elle propose tellement de choses, comme des rédactions et des fiches qui m'ont personnellement TRÈS bien aidé.
Anna
utilisatrice iOS
Meilleur application je voulais m'entraîner pour mes maths puis j'ai tout compris d'un coup c'est mon nouveau prof maintenant 🤣🤣
Thomas R
utilisateur d' Android
super application pour réviser je révise tout les soirs
Esteban M
utilisateur d'Android
Permet de vraiment comprendre les cours sous forme de fiches de révisions déjà faites ! Incroyable, je recommande vraiment
Leny
utilisateur d'Android
L'application est tout simplement géniale ! Il me suffit de taper mon sujet dans la barre de recherche et je le vérifie très rapidement. Je ne dois plus regarder 10 vidéos YouTube pour comprendre quelque chose et j'économise ainsi mon temps. Je te le recommande !
Sudenaz Ocak
utilisateur Android
Cette application m'a vraiment fait m'améliorer ! J'étais vraiment nul en maths à l'école et grâce à l'appli, je suis meilleur en maths ! Je suis tellement reconnaissante que vous ayez créé cette application.
Greenlight Bonnie
utilisateur Android
PARFAIT 🌟 💕🔥 ça facilite Vrmt la révision avec des fiches de révisions fascinants✨🥰
Khady
utilisatrice d'Android
Je conseille vraiment ! je galère à avoir des cours clairs et ça aide énormément !!
Claire
utilisatrice iOS
LES QUIZ ET CARTES MÉMOIRE SONT TROP UTILES ET J'ADORE Knowunity IA. C'EST LITTÉRALEMENT COMME CHATGPT MAIS EN PLUS INTELLIGENT !! ÇA M'A AIDÉ AVEC MES PROBLÈMES DE MASCARA AUSSI !! AINSI QUE MES VRAIES MATIÈRES ! ÉVIDEMMENT 😍😁😲🤑💗✨🎀😮
Raoul
utilisateur IOS
Knowunity est vraiment une application incroyable elle est pour tous les âges et s’adapte à tous les niveaux.Elle permet de mieux comprendre et apprendre. Cette application est super pour les devoirs et pour les contrôles je la recommande à tous le monde petit ou grands
Ella
utilisatrice iOS
Sofia
@sofia.5
La dérivation est un concept clé en mathématiques qui permet d'analyser comment les fonctions évoluent. Elle nous aide à déterminer la pente de la courbe en un point précis et à tracer des tangentes - des outils essentiels pour comprendre... Affiche plus

Accès à tous les documents
Améliore tes notes
Rejoins des millions d'étudiants
Lorsque nous étudions une courbe représentative d'une fonction, nous pouvons tracer une sécante qui passe par deux points P et Q de cette courbe. Le coefficient directeur de cette sécante se calcule par la formule .
Quand le point Q se rapproche du point P, la sécante tend vers une position limite qu'on appelle la tangente à la courbe au point P. Le coefficient directeur de cette tangente correspond à une limite que l'on note : , où h représente la différence entre les abscisses.
Pour calculer concrètement ce coefficient, on substitue les valeurs dans la formule et on résout la limite. Par exemple, pour la fonction au point (2;8), on remplace par 2 dans la formule du coefficient directeur.
💡 La tangente à une courbe peut être vue comme la droite qui "effleure" la courbe en un seul point, donnant la meilleure approximation linéaire de la courbe à cet endroit.

Accès à tous les documents
Améliore tes notes
Rejoins des millions d'étudiants
Pour résoudre notre exemple précédent avec au point (2;8), on développe le calcul en remplaçant les valeurs. Après simplification, on obtient . Le coefficient directeur de la tangente est donc 12.
Un autre exemple intéressant est le calcul du taux de variation de la fonction au point d'abscisse 4. On commence par calculer et . Après plusieurs étapes de simplification, on obtient .
Quand h tend vers 0, le taux de variation tend vers . Ce processus illustre comment on peut déterminer précisément la pente de la courbe en un point donné.
💡 Le taux de variation est comme une "vitesse de changement" de la fonction. Quand ce taux est constant, la fonction est linéaire; quand il varie, la fonction forme une courbe.

Accès à tous les documents
Améliore tes notes
Rejoins des millions d'étudiants
Quand on observe ce qui se passe lorsque le point B se rapproche du point A sur une courbe, on constate que la sécante AB prend une position limite. Cette position limite est ce qu'on appelle la tangente à la courbe au point A.
Le coefficient directeur de cette tangente correspond exactement au nombre dérivé de la fonction en ce point. On dit qu'une fonction est dérivable au point d'abscisse a si le taux de variation tend vers une limite finie lorsque h tend vers 0.
Cette limite, notée , est le nombre dérivé de f en a. Il représente concrètement le coefficient directeur de la tangente à la courbe au point d'abscisse a. C'est un outil puissant qui nous permet de comprendre comment la fonction "évolue" localement.
💡 La dérivabilité en un point signifie que la courbe ne présente ni angle ni interruption en ce point - elle est "lisse" et permet de tracer une unique tangente.

Accès à tous les documents
Améliore tes notes
Rejoins des millions d'étudiants
Prenons la fonction et calculons son nombre dérivé au point d'abscisse 3. On commence par le taux de variation . Après simplification, on obtient . Quand h tend vers 0, la limite vaut 6, donc .
En revanche, la fonction présente un cas particulier intéressant. En calculant son nombre dérivé au point d'abscisse 0, on obtient . Quand h tend vers 0 par valeurs positives, cette expression tend vers l'infini.
La limite n'existant pas, la fonction n'est pas dérivable au point d'abscisse 0. Cela signifie que la courbe n'admet pas de tangente en ce point - elle présente une "singularité" sous forme de tangente verticale.
💡 Toutes les fonctions ne sont pas dérivables partout ! Les points où la dérivée n'existe pas correspondent souvent à des "ruptures" dans le comportement de la fonction (angles, asymptotes verticales, etc.).
Notre compagnon IA est spécialement conçu pour répondre aux besoins des étudiants. Sur la base des millions d'éléments de contenu que nous avons sur la plateforme, nous pouvons fournir des réponses vraiment significatives et pertinentes aux étudiants. Mais il ne s'agit pas seulement de réponses, le compagnon a encore plus pour but de guider les élèves dans leurs défis d'apprentissage quotidiens, avec des plans d'étude personnalisés, des quiz ou des éléments de contenu dans le chat et une personnalisation à 100% basée sur les compétences et les développements de l'étudiant.
Tu peux télécharger l'application dans Google Play Store et dans l'App Store d'Apple.
Oui, tu as un accès entièrement gratuit à tous les contenus de l'appli, tu peux chatter ou suivre les créateurs à tout moment. De plus, nous proposons Knowunity Premium, qui te permet de réviser sans limites!
4
Outils Intelligents NOUVEAU
Transforme cette fiche en : ✓ 50+ Questions d'Entraînement ✓ Cartes Mémoire Interactives ✓ Examen blanc complet ✓ Plans de Dissertation
App Store
Google Play
L'application est très facile d'utilisation et bien conçue. Jusqu'à présent, j'ai trouvé tout ce que je cherchais et j'ai pu apprendre beaucoup de choses grâce aux présentations ! Je vais certainement utiliser l'application pour un travail en classe ! Et comme source d'inspiration personnelle, elle est bien sûr aussi très utile.
Stefan S
utilisateur iOS
Cette application est vraiment super. Il y a tellement de fiches de révision et d'aide, [...]. Par exemple, la matière qui me pose problème est le français et l'appli a un choix d'aide très large. Grâce à cette application, je me suis améliorée en français. Je la recommanderais à tout le monde.
Samantha Klich
utilisatrice Android
Waouh, je suis vraiment abasourdi. J'ai essayé l'application parce que je l'avais déjà vue plusieurs fois dans la publicité et j'ai été absolument choquée. Cette appli est L'AIDE dont on rêve pour l'école et surtout, elle propose tellement de choses, comme des rédactions et des fiches qui m'ont personnellement TRÈS bien aidé.
Anna
utilisatrice iOS
Meilleur application je voulais m'entraîner pour mes maths puis j'ai tout compris d'un coup c'est mon nouveau prof maintenant 🤣🤣
Thomas R
utilisateur d' Android
super application pour réviser je révise tout les soirs
Esteban M
utilisateur d'Android
Permet de vraiment comprendre les cours sous forme de fiches de révisions déjà faites ! Incroyable, je recommande vraiment
Leny
utilisateur d'Android
L'application est tout simplement géniale ! Il me suffit de taper mon sujet dans la barre de recherche et je le vérifie très rapidement. Je ne dois plus regarder 10 vidéos YouTube pour comprendre quelque chose et j'économise ainsi mon temps. Je te le recommande !
Sudenaz Ocak
utilisateur Android
Cette application m'a vraiment fait m'améliorer ! J'étais vraiment nul en maths à l'école et grâce à l'appli, je suis meilleur en maths ! Je suis tellement reconnaissante que vous ayez créé cette application.
Greenlight Bonnie
utilisateur Android
PARFAIT 🌟 💕🔥 ça facilite Vrmt la révision avec des fiches de révisions fascinants✨🥰
Khady
utilisatrice d'Android
Je conseille vraiment ! je galère à avoir des cours clairs et ça aide énormément !!
Claire
utilisatrice iOS
LES QUIZ ET CARTES MÉMOIRE SONT TROP UTILES ET J'ADORE Knowunity IA. C'EST LITTÉRALEMENT COMME CHATGPT MAIS EN PLUS INTELLIGENT !! ÇA M'A AIDÉ AVEC MES PROBLÈMES DE MASCARA AUSSI !! AINSI QUE MES VRAIES MATIÈRES ! ÉVIDEMMENT 😍😁😲🤑💗✨🎀😮
Raoul
utilisateur IOS
Knowunity est vraiment une application incroyable elle est pour tous les âges et s’adapte à tous les niveaux.Elle permet de mieux comprendre et apprendre. Cette application est super pour les devoirs et pour les contrôles je la recommande à tous le monde petit ou grands
Ella
utilisatrice iOS
L'application est très facile d'utilisation et bien conçue. Jusqu'à présent, j'ai trouvé tout ce que je cherchais et j'ai pu apprendre beaucoup de choses grâce aux présentations ! Je vais certainement utiliser l'application pour un travail en classe ! Et comme source d'inspiration personnelle, elle est bien sûr aussi très utile.
Stefan S
utilisateur iOS
Cette application est vraiment super. Il y a tellement de fiches de révision et d'aide, [...]. Par exemple, la matière qui me pose problème est le français et l'appli a un choix d'aide très large. Grâce à cette application, je me suis améliorée en français. Je la recommanderais à tout le monde.
Samantha Klich
utilisatrice Android
Waouh, je suis vraiment abasourdi. J'ai essayé l'application parce que je l'avais déjà vue plusieurs fois dans la publicité et j'ai été absolument choquée. Cette appli est L'AIDE dont on rêve pour l'école et surtout, elle propose tellement de choses, comme des rédactions et des fiches qui m'ont personnellement TRÈS bien aidé.
Anna
utilisatrice iOS
Meilleur application je voulais m'entraîner pour mes maths puis j'ai tout compris d'un coup c'est mon nouveau prof maintenant 🤣🤣
Thomas R
utilisateur d' Android
super application pour réviser je révise tout les soirs
Esteban M
utilisateur d'Android
Permet de vraiment comprendre les cours sous forme de fiches de révisions déjà faites ! Incroyable, je recommande vraiment
Leny
utilisateur d'Android
L'application est tout simplement géniale ! Il me suffit de taper mon sujet dans la barre de recherche et je le vérifie très rapidement. Je ne dois plus regarder 10 vidéos YouTube pour comprendre quelque chose et j'économise ainsi mon temps. Je te le recommande !
Sudenaz Ocak
utilisateur Android
Cette application m'a vraiment fait m'améliorer ! J'étais vraiment nul en maths à l'école et grâce à l'appli, je suis meilleur en maths ! Je suis tellement reconnaissante que vous ayez créé cette application.
Greenlight Bonnie
utilisateur Android
PARFAIT 🌟 💕🔥 ça facilite Vrmt la révision avec des fiches de révisions fascinants✨🥰
Khady
utilisatrice d'Android
Je conseille vraiment ! je galère à avoir des cours clairs et ça aide énormément !!
Claire
utilisatrice iOS
LES QUIZ ET CARTES MÉMOIRE SONT TROP UTILES ET J'ADORE Knowunity IA. C'EST LITTÉRALEMENT COMME CHATGPT MAIS EN PLUS INTELLIGENT !! ÇA M'A AIDÉ AVEC MES PROBLÈMES DE MASCARA AUSSI !! AINSI QUE MES VRAIES MATIÈRES ! ÉVIDEMMENT 😍😁😲🤑💗✨🎀😮
Raoul
utilisateur IOS
Knowunity est vraiment une application incroyable elle est pour tous les âges et s’adapte à tous les niveaux.Elle permet de mieux comprendre et apprendre. Cette application est super pour les devoirs et pour les contrôles je la recommande à tous le monde petit ou grands
Ella
utilisatrice iOS