Ouvrir l'appli

Matières

133

25 déc. 2025

4 pages

Vecteurs, Droites et Plans dans l'Espace - Cours Terminal avec Rappels de Seconde

user profile picture

jade

@jade_bll

Les vecteurs dans l'espace, c'est comme une extension en 3D... Affiche plus

Page 1
Page 2
Page 3
Page 4
1 / 4
TERM
# VECTEURS, DROITES
## ET PLANS DE L'ESPACE

### VECTEURS DE L'ESPACE:
*   $AB$ NOTATION DE VECTEUR
*   $AA$ : VECTEUR NUL Nové
*   $AB

Vecteurs de l'espace - Les bases

Les vecteurs dans l'espace fonctionnent exactement comme en 2D, mais avec une dimension de plus. Un vecteur AB\overrightarrow{AB} représente toujours un déplacement d'un point A vers un point B.

Le vecteur nul AA=0\overrightarrow{AA} = \overrightarrow{0} correspond à un déplacement... de nulle part ! Deux vecteurs AB\overrightarrow{AB} et CD\overrightarrow{CD} sont égaux quand ABDC forme un parallélogramme (même direction, même sens, même longueur).

Pour les opérations, tu retrouves tes classiques : l'addition avec la règle du parallélogramme $\overrightarrow{u} + \overrightarrow{v} = \overrightarrow{AD}$ et la relation de Chasles $\overrightarrow{EF} + \overrightarrow{FG} = \overrightarrow{EG}$. La multiplication par un réel λ agrandit ou rétrécit le vecteur, et change sa direction si λ < 0.

💡 Astuce : Garde en tête que pour tout point M et tout vecteur u\overrightarrow{u}, il existe un unique point N tel que MN=u\overrightarrow{MN} = \overrightarrow{u}. C'est la base de tout !

TERM
# VECTEURS, DROITES
## ET PLANS DE L'ESPACE

### VECTEURS DE L'ESPACE:
*   $AB$ NOTATION DE VECTEUR
*   $AA$ : VECTEUR NUL Nové
*   $AB

Droites et plans dans l'espace

Les droites dans l'espace se caractérisent par leurs vecteurs directeurs. Un point M appartient à la droite (AB) si et seulement si AM=rAB\overrightarrow{AM} = r\overrightarrow{AB} (où r est un nombre réel). En gros, M est sur la droite si on peut l'atteindre en suivant la direction de AB\overrightarrow{AB}.

Trois points A, B, C sont alignés quand AB\overrightarrow{AB} et AC\overrightarrow{AC} sont colinéaires (ils ont la même direction). Pour que deux droites soient perpendiculaires, leurs vecteurs directeurs doivent être colinéaires.

Les plans sont plus intéressants ! Un point M appartient au plan (ABC) s'il existe des nombres x et y tels que AM=xAB+yAC\overrightarrow{AM} = x\overrightarrow{AB} + y\overrightarrow{AC}. C'est comme si tu combinais deux directions pour atteindre n'importe quel point du plan.

💡 À retenir : Les vecteurs OA\overrightarrow{OA}, OB\overrightarrow{OB} et OC\overrightarrow{OC} sont coplanaires si O, A, B et C sont dans le même plan.

TERM
# VECTEURS, DROITES
## ET PLANS DE L'ESPACE

### VECTEURS DE L'ESPACE:
*   $AB$ NOTATION DE VECTEUR
*   $AA$ : VECTEUR NUL Nové
*   $AB

Bases et repères de l'espace

Une base de l'espace est formée de trois vecteurs i\vec{i}, j\vec{j}, k\vec{k} non coplanaires. Ces trois vecteurs te permettent d'exprimer n'importe quel vecteur v\vec{v} sous la forme v=ai+bj+ck\vec{v} = a\vec{i} + b\vec{j} + c\vec{k} avec un triplet unique (a, b, c).

Le repère de l'espace $O$, $\vec{i}$, $\vec{j}$, $\vec{k}$ ajoute une origine O à ta base. Chaque point M de l'espace a des coordonnées uniques (x, y, z) telles que OM=xi+yj+zk\vec{OM} = x\vec{i} + y\vec{j} + z\vec{k}.

C'est exactement comme un GPS en 3D : tu as besoin de trois coordonnées pour localiser précisément n'importe quel point dans l'espace. Les vecteurs ont aussi leurs coordonnées (a, b, c) dans cette même base.

💡 Pratique : Une fois que tu maîtrises les coordonnées, tous les calculs deviennent beaucoup plus simples !

TERM
# VECTEURS, DROITES
## ET PLANS DE L'ESPACE

### VECTEURS DE L'ESPACE:
*   $AB$ NOTATION DE VECTEUR
*   $AA$ : VECTEUR NUL Nové
*   $AB

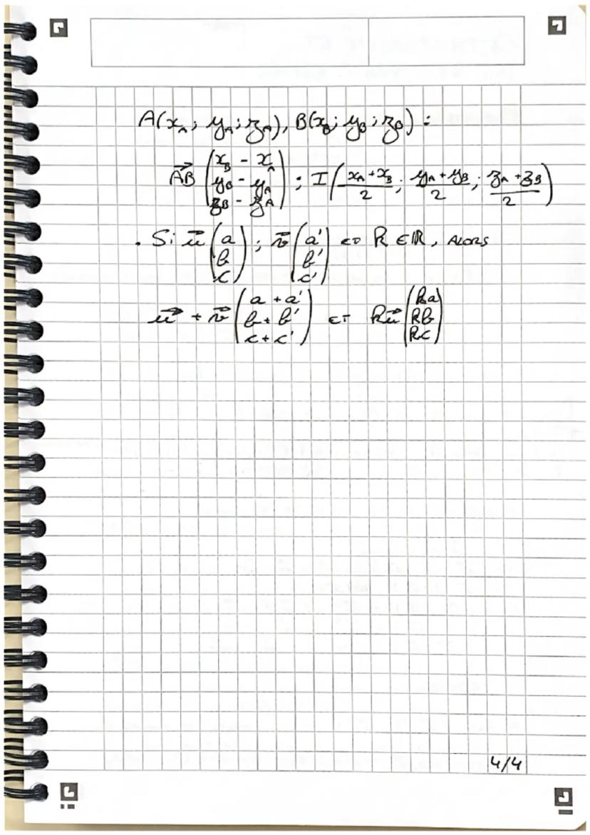
Calculs avec les coordonnées

Les coordonnées rendent les calculs super pratiques ! Pour un vecteur AB\overrightarrow{AB}, tu as simplement (xBxA yByA zBzA)\begin{pmatrix} x_B - x_A \ y_B - y_A \ z_B - z_A \end{pmatrix}. Le milieu I de ABAB a pour coordonnées (xA+xB2 yA+yB2 zA+zB2)\begin{pmatrix} \frac{x_A + x_B}{2} \ \frac{y_A + y_B}{2} \ \frac{z_A + z_B}{2} \end{pmatrix}.

L'addition de vecteurs devient un jeu d'enfant : tu additionnes coordonnée par coordonnée. Si u=(a b c)\overrightarrow{u} = \begin{pmatrix} a \ b \ c \end{pmatrix} et v=(a b c)\overrightarrow{v} = \begin{pmatrix} a' \ b' \ c' \end{pmatrix}, alors u+v=(a+a b+b c+c)\overrightarrow{u} + \overrightarrow{v} = \begin{pmatrix} a + a' \ b + b' \ c + c' \end{pmatrix}.

La multiplication par un réel λ se fait aussi coordonnée par coordonnée : λu=(λa λb λc)λ\overrightarrow{u} = \begin{pmatrix} λa \ λb \ λc \end{pmatrix}. Finis les schémas compliqués, tout se calcule maintenant !

💡 Efficace : Avec les coordonnées, tu peux résoudre n'importe quel problème de géométrie spatiale par le calcul !



Si on te demande...

Qu'est-ce que le compagnon IA de Knowunity ?

Notre compagnon IA est spécialement conçu pour répondre aux besoins des étudiants. Sur la base des millions d'éléments de contenu que nous avons sur la plateforme, nous pouvons fournir des réponses vraiment significatives et pertinentes aux étudiants. Mais il ne s'agit pas seulement de réponses, le compagnon a encore plus pour but de guider les élèves dans leurs défis d'apprentissage quotidiens, avec des plans d'étude personnalisés, des quiz ou des éléments de contenu dans le chat et une personnalisation à 100% basée sur les compétences et les développements de l'étudiant.

Où puis-je télécharger l'application Knowunity ?

Tu peux télécharger l'application dans Google Play Store et dans l'App Store d'Apple.

L'application est-elle vraiment gratuite ?

Oui, tu as un accès entièrement gratuit à tous les contenus de l'appli, tu peux chatter ou suivre les créateurs à tout moment. De plus, nous proposons Knowunity Premium, qui te permet de réviser sans limites!

Contenus les plus populaires : Base

Contenus les plus populaires en Maths

Contenus les plus populaires

Rien ne te convient ? Explore d'autres matières.

Les étudiants nous adorent — il ne manque plus que toi.

4.9/5

App Store

4.8/5

Google Play

L'application est très facile d'utilisation et bien conçue. Jusqu'à présent, j'ai trouvé tout ce que je cherchais et j'ai pu apprendre beaucoup de choses grâce aux présentations ! Je vais certainement utiliser l'application pour un travail en classe ! Et comme source d'inspiration personnelle, elle est bien sûr aussi très utile.

Stefan S

utilisateur iOS

Cette application est vraiment super. Il y a tellement de fiches de révision et d'aide, [...]. Par exemple, la matière qui me pose problème est le français et l'appli a un choix d'aide très large. Grâce à cette application, je me suis améliorée en français. Je la recommanderais à tout le monde.

Samantha Klich

utilisatrice Android

Waouh, je suis vraiment abasourdi. J'ai essayé l'application parce que je l'avais déjà vue plusieurs fois dans la publicité et j'ai été absolument choquée. Cette appli est L'AIDE dont on rêve pour l'école et surtout, elle propose tellement de choses, comme des rédactions et des fiches qui m'ont personnellement TRÈS bien aidé.

Anna

utilisatrice iOS

Meilleur application je voulais m'entraîner pour mes maths puis j'ai tout compris d'un coup c'est mon nouveau prof maintenant 🤣🤣

Thomas R

utilisateur d' Android

super application pour réviser je révise tout les soirs

Esteban M

utilisateur d'Android

Permet de vraiment comprendre les cours sous forme de fiches de révisions déjà faites ! Incroyable, je recommande vraiment

Leny

utilisateur d'Android

L'application est tout simplement géniale ! Il me suffit de taper mon sujet dans la barre de recherche et je le vérifie très rapidement. Je ne dois plus regarder 10 vidéos YouTube pour comprendre quelque chose et j'économise ainsi mon temps. Je te le recommande !

Sudenaz Ocak

utilisateur Android

Cette application m'a vraiment fait m'améliorer ! J'étais vraiment nul en maths à l'école et grâce à l'appli, je suis meilleur en maths ! Je suis tellement reconnaissante que vous ayez créé cette application.

Greenlight Bonnie

utilisateur Android

PARFAIT 🌟 💕🔥 ça facilite Vrmt la révision avec des fiches de révisions fascinants✨🥰

Khady

utilisatrice d'Android

Je conseille vraiment ! je galère à avoir des cours clairs et ça aide énormément !!

Claire

utilisatrice iOS

C’est vraiment mais vraiment la meilleurs appli au début de l’année au collège jetait une élève perturbatrice et j’avais 9 de moyenne générale plus précisément 9,68... Et la un de mes potes me donne cette appli pour réviser c’était incroyable y’a des fiche de révision des quiz bref grâce à cette appli je suis passé de 9,68 à 17,40 trop contente 🤩🤩

Raoul

utilisateur IOS

Knowunity est vraiment une application incroyable elle est pour tous les âges et s’adapte à tous les niveaux.Elle permet de mieux comprendre et apprendre. Cette application est super pour les devoirs et pour les contrôles je la recommande à tous le monde petit ou grands

Ella

utilisatrice iOS

L'application est très facile d'utilisation et bien conçue. Jusqu'à présent, j'ai trouvé tout ce que je cherchais et j'ai pu apprendre beaucoup de choses grâce aux présentations ! Je vais certainement utiliser l'application pour un travail en classe ! Et comme source d'inspiration personnelle, elle est bien sûr aussi très utile.

Stefan S

utilisateur iOS

Cette application est vraiment super. Il y a tellement de fiches de révision et d'aide, [...]. Par exemple, la matière qui me pose problème est le français et l'appli a un choix d'aide très large. Grâce à cette application, je me suis améliorée en français. Je la recommanderais à tout le monde.

Samantha Klich

utilisatrice Android

Waouh, je suis vraiment abasourdi. J'ai essayé l'application parce que je l'avais déjà vue plusieurs fois dans la publicité et j'ai été absolument choquée. Cette appli est L'AIDE dont on rêve pour l'école et surtout, elle propose tellement de choses, comme des rédactions et des fiches qui m'ont personnellement TRÈS bien aidé.

Anna

utilisatrice iOS

Meilleur application je voulais m'entraîner pour mes maths puis j'ai tout compris d'un coup c'est mon nouveau prof maintenant 🤣🤣

Thomas R

utilisateur d' Android

super application pour réviser je révise tout les soirs

Esteban M

utilisateur d'Android

Permet de vraiment comprendre les cours sous forme de fiches de révisions déjà faites ! Incroyable, je recommande vraiment

Leny

utilisateur d'Android

L'application est tout simplement géniale ! Il me suffit de taper mon sujet dans la barre de recherche et je le vérifie très rapidement. Je ne dois plus regarder 10 vidéos YouTube pour comprendre quelque chose et j'économise ainsi mon temps. Je te le recommande !

Sudenaz Ocak

utilisateur Android

Cette application m'a vraiment fait m'améliorer ! J'étais vraiment nul en maths à l'école et grâce à l'appli, je suis meilleur en maths ! Je suis tellement reconnaissante que vous ayez créé cette application.

Greenlight Bonnie

utilisateur Android

PARFAIT 🌟 💕🔥 ça facilite Vrmt la révision avec des fiches de révisions fascinants✨🥰

Khady

utilisatrice d'Android

Je conseille vraiment ! je galère à avoir des cours clairs et ça aide énormément !!

Claire

utilisatrice iOS

C’est vraiment mais vraiment la meilleurs appli au début de l’année au collège jetait une élève perturbatrice et j’avais 9 de moyenne générale plus précisément 9,68... Et la un de mes potes me donne cette appli pour réviser c’était incroyable y’a des fiche de révision des quiz bref grâce à cette appli je suis passé de 9,68 à 17,40 trop contente 🤩🤩

Raoul

utilisateur IOS

Knowunity est vraiment une application incroyable elle est pour tous les âges et s’adapte à tous les niveaux.Elle permet de mieux comprendre et apprendre. Cette application est super pour les devoirs et pour les contrôles je la recommande à tous le monde petit ou grands

Ella

utilisatrice iOS

 

Maths

133

25 déc. 2025

4 pages

Vecteurs, Droites et Plans dans l'Espace - Cours Terminal avec Rappels de Seconde

user profile picture

jade

@jade_bll

Les vecteurs dans l'espace, c'est comme une extension en 3D de ce que tu connais déjà en 2D ! Tu vas voir comment manipuler les vecteurs, les droites et les plans dans l'espace, puis apprendre à utiliser les coordonnées pour... Affiche plus

TERM
# VECTEURS, DROITES
## ET PLANS DE L'ESPACE

### VECTEURS DE L'ESPACE:
*   $AB$ NOTATION DE VECTEUR
*   $AA$ : VECTEUR NUL Nové
*   $AB

Inscris-toi pour voir le contenuC'est gratuit!

Accès à tous les documents

Améliore tes notes

Rejoins des millions d'étudiants

En t'inscrivant, tu acceptes les Conditions d'utilisation et la Politique de confidentialité.

Vecteurs de l'espace - Les bases

Les vecteurs dans l'espace fonctionnent exactement comme en 2D, mais avec une dimension de plus. Un vecteur AB\overrightarrow{AB} représente toujours un déplacement d'un point A vers un point B.

Le vecteur nul AA=0\overrightarrow{AA} = \overrightarrow{0} correspond à un déplacement... de nulle part ! Deux vecteurs AB\overrightarrow{AB} et CD\overrightarrow{CD} sont égaux quand ABDC forme un parallélogramme (même direction, même sens, même longueur).

Pour les opérations, tu retrouves tes classiques : l'addition avec la règle du parallélogramme $\overrightarrow{u} + \overrightarrow{v} = \overrightarrow{AD}$ et la relation de Chasles $\overrightarrow{EF} + \overrightarrow{FG} = \overrightarrow{EG}$. La multiplication par un réel λ agrandit ou rétrécit le vecteur, et change sa direction si λ < 0.

💡 Astuce : Garde en tête que pour tout point M et tout vecteur u\overrightarrow{u}, il existe un unique point N tel que MN=u\overrightarrow{MN} = \overrightarrow{u}. C'est la base de tout !

TERM
# VECTEURS, DROITES
## ET PLANS DE L'ESPACE

### VECTEURS DE L'ESPACE:
*   $AB$ NOTATION DE VECTEUR
*   $AA$ : VECTEUR NUL Nové
*   $AB

Inscris-toi pour voir le contenuC'est gratuit!

Accès à tous les documents

Améliore tes notes

Rejoins des millions d'étudiants

En t'inscrivant, tu acceptes les Conditions d'utilisation et la Politique de confidentialité.

Droites et plans dans l'espace

Les droites dans l'espace se caractérisent par leurs vecteurs directeurs. Un point M appartient à la droite (AB) si et seulement si AM=rAB\overrightarrow{AM} = r\overrightarrow{AB} (où r est un nombre réel). En gros, M est sur la droite si on peut l'atteindre en suivant la direction de AB\overrightarrow{AB}.

Trois points A, B, C sont alignés quand AB\overrightarrow{AB} et AC\overrightarrow{AC} sont colinéaires (ils ont la même direction). Pour que deux droites soient perpendiculaires, leurs vecteurs directeurs doivent être colinéaires.

Les plans sont plus intéressants ! Un point M appartient au plan (ABC) s'il existe des nombres x et y tels que AM=xAB+yAC\overrightarrow{AM} = x\overrightarrow{AB} + y\overrightarrow{AC}. C'est comme si tu combinais deux directions pour atteindre n'importe quel point du plan.

💡 À retenir : Les vecteurs OA\overrightarrow{OA}, OB\overrightarrow{OB} et OC\overrightarrow{OC} sont coplanaires si O, A, B et C sont dans le même plan.

TERM
# VECTEURS, DROITES
## ET PLANS DE L'ESPACE

### VECTEURS DE L'ESPACE:
*   $AB$ NOTATION DE VECTEUR
*   $AA$ : VECTEUR NUL Nové
*   $AB

Inscris-toi pour voir le contenuC'est gratuit!

Accès à tous les documents

Améliore tes notes

Rejoins des millions d'étudiants

En t'inscrivant, tu acceptes les Conditions d'utilisation et la Politique de confidentialité.

Bases et repères de l'espace

Une base de l'espace est formée de trois vecteurs i\vec{i}, j\vec{j}, k\vec{k} non coplanaires. Ces trois vecteurs te permettent d'exprimer n'importe quel vecteur v\vec{v} sous la forme v=ai+bj+ck\vec{v} = a\vec{i} + b\vec{j} + c\vec{k} avec un triplet unique (a, b, c).

Le repère de l'espace $O$, $\vec{i}$, $\vec{j}$, $\vec{k}$ ajoute une origine O à ta base. Chaque point M de l'espace a des coordonnées uniques (x, y, z) telles que OM=xi+yj+zk\vec{OM} = x\vec{i} + y\vec{j} + z\vec{k}.

C'est exactement comme un GPS en 3D : tu as besoin de trois coordonnées pour localiser précisément n'importe quel point dans l'espace. Les vecteurs ont aussi leurs coordonnées (a, b, c) dans cette même base.

💡 Pratique : Une fois que tu maîtrises les coordonnées, tous les calculs deviennent beaucoup plus simples !

TERM
# VECTEURS, DROITES
## ET PLANS DE L'ESPACE

### VECTEURS DE L'ESPACE:
*   $AB$ NOTATION DE VECTEUR
*   $AA$ : VECTEUR NUL Nové
*   $AB

Inscris-toi pour voir le contenuC'est gratuit!

Accès à tous les documents

Améliore tes notes

Rejoins des millions d'étudiants

En t'inscrivant, tu acceptes les Conditions d'utilisation et la Politique de confidentialité.

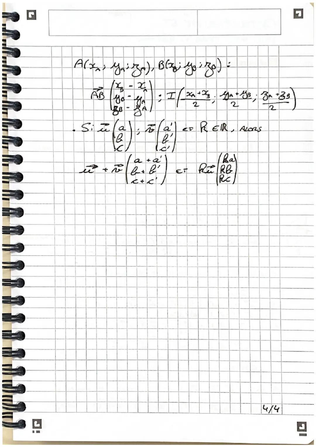
Calculs avec les coordonnées

Les coordonnées rendent les calculs super pratiques ! Pour un vecteur AB\overrightarrow{AB}, tu as simplement (xBxA yByA zBzA)\begin{pmatrix} x_B - x_A \ y_B - y_A \ z_B - z_A \end{pmatrix}. Le milieu I de ABAB a pour coordonnées (xA+xB2 yA+yB2 zA+zB2)\begin{pmatrix} \frac{x_A + x_B}{2} \ \frac{y_A + y_B}{2} \ \frac{z_A + z_B}{2} \end{pmatrix}.

L'addition de vecteurs devient un jeu d'enfant : tu additionnes coordonnée par coordonnée. Si u=(a b c)\overrightarrow{u} = \begin{pmatrix} a \ b \ c \end{pmatrix} et v=(a b c)\overrightarrow{v} = \begin{pmatrix} a' \ b' \ c' \end{pmatrix}, alors u+v=(a+a b+b c+c)\overrightarrow{u} + \overrightarrow{v} = \begin{pmatrix} a + a' \ b + b' \ c + c' \end{pmatrix}.

La multiplication par un réel λ se fait aussi coordonnée par coordonnée : λu=(λa λb λc)λ\overrightarrow{u} = \begin{pmatrix} λa \ λb \ λc \end{pmatrix}. Finis les schémas compliqués, tout se calcule maintenant !

💡 Efficace : Avec les coordonnées, tu peux résoudre n'importe quel problème de géométrie spatiale par le calcul !

Si on te demande...

Qu'est-ce que le compagnon IA de Knowunity ?

Notre compagnon IA est spécialement conçu pour répondre aux besoins des étudiants. Sur la base des millions d'éléments de contenu que nous avons sur la plateforme, nous pouvons fournir des réponses vraiment significatives et pertinentes aux étudiants. Mais il ne s'agit pas seulement de réponses, le compagnon a encore plus pour but de guider les élèves dans leurs défis d'apprentissage quotidiens, avec des plans d'étude personnalisés, des quiz ou des éléments de contenu dans le chat et une personnalisation à 100% basée sur les compétences et les développements de l'étudiant.

Où puis-je télécharger l'application Knowunity ?

Tu peux télécharger l'application dans Google Play Store et dans l'App Store d'Apple.

L'application est-elle vraiment gratuite ?

Oui, tu as un accès entièrement gratuit à tous les contenus de l'appli, tu peux chatter ou suivre les créateurs à tout moment. De plus, nous proposons Knowunity Premium, qui te permet de réviser sans limites!

1

Outils Intelligents NOUVEAU

Transforme cette fiche en : ✓ 50+ Questions d'Entraînement ✓ Cartes Mémoire Interactives ✓ Examen Blanc Complet ✓ Plans de Dissertation

Examen Blanc
Quiz
Flashcards
Dissertation

Contenus les plus populaires : Base

Contenus les plus populaires en Maths

Contenus les plus populaires

Rien ne te convient ? Explore d'autres matières.

Les étudiants nous adorent — il ne manque plus que toi.

4.9/5

App Store

4.8/5

Google Play

L'application est très facile d'utilisation et bien conçue. Jusqu'à présent, j'ai trouvé tout ce que je cherchais et j'ai pu apprendre beaucoup de choses grâce aux présentations ! Je vais certainement utiliser l'application pour un travail en classe ! Et comme source d'inspiration personnelle, elle est bien sûr aussi très utile.

Stefan S

utilisateur iOS

Cette application est vraiment super. Il y a tellement de fiches de révision et d'aide, [...]. Par exemple, la matière qui me pose problème est le français et l'appli a un choix d'aide très large. Grâce à cette application, je me suis améliorée en français. Je la recommanderais à tout le monde.

Samantha Klich

utilisatrice Android

Waouh, je suis vraiment abasourdi. J'ai essayé l'application parce que je l'avais déjà vue plusieurs fois dans la publicité et j'ai été absolument choquée. Cette appli est L'AIDE dont on rêve pour l'école et surtout, elle propose tellement de choses, comme des rédactions et des fiches qui m'ont personnellement TRÈS bien aidé.

Anna

utilisatrice iOS

Meilleur application je voulais m'entraîner pour mes maths puis j'ai tout compris d'un coup c'est mon nouveau prof maintenant 🤣🤣

Thomas R

utilisateur d' Android

super application pour réviser je révise tout les soirs

Esteban M

utilisateur d'Android

Permet de vraiment comprendre les cours sous forme de fiches de révisions déjà faites ! Incroyable, je recommande vraiment

Leny

utilisateur d'Android

L'application est tout simplement géniale ! Il me suffit de taper mon sujet dans la barre de recherche et je le vérifie très rapidement. Je ne dois plus regarder 10 vidéos YouTube pour comprendre quelque chose et j'économise ainsi mon temps. Je te le recommande !

Sudenaz Ocak

utilisateur Android

Cette application m'a vraiment fait m'améliorer ! J'étais vraiment nul en maths à l'école et grâce à l'appli, je suis meilleur en maths ! Je suis tellement reconnaissante que vous ayez créé cette application.

Greenlight Bonnie

utilisateur Android

PARFAIT 🌟 💕🔥 ça facilite Vrmt la révision avec des fiches de révisions fascinants✨🥰

Khady

utilisatrice d'Android

Je conseille vraiment ! je galère à avoir des cours clairs et ça aide énormément !!

Claire

utilisatrice iOS

C’est vraiment mais vraiment la meilleurs appli au début de l’année au collège jetait une élève perturbatrice et j’avais 9 de moyenne générale plus précisément 9,68... Et la un de mes potes me donne cette appli pour réviser c’était incroyable y’a des fiche de révision des quiz bref grâce à cette appli je suis passé de 9,68 à 17,40 trop contente 🤩🤩

Raoul

utilisateur IOS

Knowunity est vraiment une application incroyable elle est pour tous les âges et s’adapte à tous les niveaux.Elle permet de mieux comprendre et apprendre. Cette application est super pour les devoirs et pour les contrôles je la recommande à tous le monde petit ou grands

Ella

utilisatrice iOS

L'application est très facile d'utilisation et bien conçue. Jusqu'à présent, j'ai trouvé tout ce que je cherchais et j'ai pu apprendre beaucoup de choses grâce aux présentations ! Je vais certainement utiliser l'application pour un travail en classe ! Et comme source d'inspiration personnelle, elle est bien sûr aussi très utile.

Stefan S

utilisateur iOS

Cette application est vraiment super. Il y a tellement de fiches de révision et d'aide, [...]. Par exemple, la matière qui me pose problème est le français et l'appli a un choix d'aide très large. Grâce à cette application, je me suis améliorée en français. Je la recommanderais à tout le monde.

Samantha Klich

utilisatrice Android

Waouh, je suis vraiment abasourdi. J'ai essayé l'application parce que je l'avais déjà vue plusieurs fois dans la publicité et j'ai été absolument choquée. Cette appli est L'AIDE dont on rêve pour l'école et surtout, elle propose tellement de choses, comme des rédactions et des fiches qui m'ont personnellement TRÈS bien aidé.

Anna

utilisatrice iOS

Meilleur application je voulais m'entraîner pour mes maths puis j'ai tout compris d'un coup c'est mon nouveau prof maintenant 🤣🤣

Thomas R

utilisateur d' Android

super application pour réviser je révise tout les soirs

Esteban M

utilisateur d'Android

Permet de vraiment comprendre les cours sous forme de fiches de révisions déjà faites ! Incroyable, je recommande vraiment

Leny

utilisateur d'Android

L'application est tout simplement géniale ! Il me suffit de taper mon sujet dans la barre de recherche et je le vérifie très rapidement. Je ne dois plus regarder 10 vidéos YouTube pour comprendre quelque chose et j'économise ainsi mon temps. Je te le recommande !

Sudenaz Ocak

utilisateur Android

Cette application m'a vraiment fait m'améliorer ! J'étais vraiment nul en maths à l'école et grâce à l'appli, je suis meilleur en maths ! Je suis tellement reconnaissante que vous ayez créé cette application.

Greenlight Bonnie

utilisateur Android

PARFAIT 🌟 💕🔥 ça facilite Vrmt la révision avec des fiches de révisions fascinants✨🥰

Khady

utilisatrice d'Android

Je conseille vraiment ! je galère à avoir des cours clairs et ça aide énormément !!

Claire

utilisatrice iOS

C’est vraiment mais vraiment la meilleurs appli au début de l’année au collège jetait une élève perturbatrice et j’avais 9 de moyenne générale plus précisément 9,68... Et la un de mes potes me donne cette appli pour réviser c’était incroyable y’a des fiche de révision des quiz bref grâce à cette appli je suis passé de 9,68 à 17,40 trop contente 🤩🤩

Raoul

utilisateur IOS

Knowunity est vraiment une application incroyable elle est pour tous les âges et s’adapte à tous les niveaux.Elle permet de mieux comprendre et apprendre. Cette application est super pour les devoirs et pour les contrôles je la recommande à tous le monde petit ou grands

Ella

utilisatrice iOS