Tu vas plonger dans l'univers fascinant de La République de... Affiche plus
Inscris-toi pour voir le contenuC'est gratuit!
Accès à tous les documents
Améliore tes notes
Rejoins des millions d'étudiants
Knowunity AI
Matières
Triangle Congruence and Similarity Theorems
Triangle Properties and Classification
Linear Equations and Graphs
Geometric Angle Relationships
Trigonometric Functions and Identities
Equation Solving Techniques
Circle Geometry Fundamentals
Division Operations and Methods
Basic Differentiation Rules
Exponent and Logarithm Properties
Affiche tous les sujets
Human Organ Systems
Reproductive Cell Cycles
Biological Sciences Subdisciplines
Cellular Energy Metabolism
Autotrophic Energy Processes
Inheritance Patterns and Principles
Biomolecular Structure and Organization
Cell Cycle and Division Mechanics
Cellular Organization and Development
Biological Structural Organization
Affiche tous les sujets
Chemical Sciences and Applications
Atomic Structure and Composition
Molecular Electron Structure Representation
Atomic Electron Behavior
Matter Properties and Water
Mole Concept and Calculations
Gas Laws and Behavior
Periodic Table Organization
Chemical Thermodynamics Fundamentals
Chemical Bond Types and Properties
Affiche tous les sujets
European Renaissance and Enlightenment
European Cultural Movements 800-1920
American Revolution Era 1763-1797
American Civil War 1861-1865
Global Imperial Systems
Mongol and Chinese Dynasties
U.S. Presidents and World Leaders
Historical Sources and Documentation
World Wars Era and Impact
World Religious Systems
Affiche tous les sujets
Classic and Contemporary Novels
Literary Character Analysis
Rhetorical Theory and Practice
Classic Literary Narratives
Reading Analysis and Interpretation
Narrative Structure and Techniques
English Language Components
Influential English-Language Authors
Basic Sentence Structure
Narrative Voice and Perspective
Affiche tous les sujets
482
•
Mis à jour Mar 30, 2026
•
PierreFo
@pierrefo
Tu vas plonger dans l'univers fascinant de La République de... Affiche plus











Imagine-toi dans l'Athènes antique ! Socrate raconte une soirée chez Céphale, un riche marchand d'armes du Pirée. Autour de lui, on retrouve Glaucon et Adimante (les frères de Platon), Polémarque (le fils de Céphale) et surtout Thrasymaque, un sophiste qui va défier Socrate.
Le débat commence par une discussion sur la vieillesse entre Socrate et Céphale. Le vieux marchand défend l'idée que vieillir peut être merveilleux - on se libère des passions destructrices de la jeunesse et on gagne en sagesse. Pour lui, la fortune aide à bien vieillir car elle offre l'indépendance morale.
Mais Socrate n'est pas convaincu par cette vision simpliste. Il pousse la réflexion plus loin en s'attaquant à la définition même de la justice. Céphale propose : "rendre à chacun ce qui lui appartient". Socrate montre rapidement les limites de cette définition avec des exemples concrets.
💡 Point clé : Méfie-toi des définitions qui paraissent évidentes - elles cachent souvent des contradictions !

Polémarque prend le relais de son père et cite le poète Simonide : la justice consiste à "rendre à chacun ce qu'on lui doit". Mais Socrate, avec sa méthode habituelle, démonte cette définition par des questions en cascade.
Son raisonnement (assez tordu, il faut l'avouer) : si la justice sert à conserver les biens, alors l'homme juste sait aussi les dérober - donc il serait un "fripon en puissance" ! Polémarque, complètement perdu, tente une nouvelle approche : "faire du bien aux amis et du mal aux ennemis".
Socrate réfute encore cette idée. Comment savoir qui sont nos vrais amis ? Et surtout, si on fait du mal à nos ennemis, on les rend plus injustes - ce qui contredit le principe même de justice.
La leçon importante ici ? Socrate montre qu'il faut privilégier l'autorité de la raison sur l'autorité intellectuelle des grands noms. Peu importe que Simonide soit célèbre si son idée ne tient pas la route !
💡 Point clé : Questionne toujours les idées reçues, même celles des "experts" - ta logique vaut mieux que leur réputation !

Voici le moment le plus intense du débat ! Thrasymaque explose littéralement contre Socrate et balance sa définition provocante : "La justice n'est autre chose que ce qui est avantageux au plus fort."
Pour lui, c'est simple : ceux qui gouvernent font des lois à leur avantage, et la justice consiste juste à obéir à ces lois. En gros, la justice = la légalité, et tout ça sert les intérêts des puissants.
L'ambiance devient électrique ! Thrasymaque critique la méthode de Socrate (toujours poser des questions, jamais donner de réponses) et demande même à être payé pour ses explications. Le clash philosophique est total !
Socrate contre-attaque avec finesse. Il montre une contradiction dans le raisonnement de Thrasymaque : si le gouvernant peut se tromper sur ses intérêts, alors il serait "juste" d'obéir à des lois qui le desservent. Échec et mat !
💡 Point clé : Les définitions qui semblent cyniques mais "réalistes" cachent souvent des failles logiques importantes.

Face aux corrections de Thrasymaque, Socrate développe une argumentation brillante. Il compare le gouvernant à un médecin : de même que la médecine vise la santé du patient (pas celle du médecin), l'art politique doit viser le bien des gouvernés.
Cette analogie révolutionne le débat ! Si chaque art a pour but le bien-être de son objet, alors gouverner, c'est servir le peuple, pas s'enrichir. La preuve ? Les vrais gouvernants demandent une rémunération parce qu'ils se sacrifient pour les autres.
Thrasymaque ne lâche rien et insiste : l'injustice est plus rentable que la justice ! Regarde les tyrans - ils sont riches et respectés, tandis que les honnêtes gens galèrent.
Mais Socrate a une dernière carte. Il prend l'exemple du savant : un vrai médecin ne cherche pas à surpasser un autre médecin, seulement l'ignorant. De même, l'homme juste ne rivalise qu'avec l'injuste. Conclusion : l'homme injuste ressemble à l'ignorant !
💡 Point clé : Les analogies peuvent être de puissants outils de raisonnement - elles révèlent des structures cachées !

Socrate porte le coup de grâce avec un argument décisif : l'injustice détruit la coopération ! Dans une armée, un État ou même chez un individu, l'injustice crée des conflits internes qui rendent l'action impossible.
La justice, au contraire, assure la cohésion. Elle permet aux groupes de fonctionner harmonieusement et aux individus d'être en paix avec eux-mêmes. C'est pourquoi elle rend plus heureux que l'injustice.
Le philosophe conclut avec sa théorie de la fonction : chaque chose a une vertu propre qui lui permet de bien remplir son rôle. L'âme humaine aussi a sa vertu propre - la justice - qui lui permet de bien vivre.
Le livre I se termine sur une victoire de Socrate, mais le débat est loin d'être fini ! Les idées principales à retenir : la vieillesse peut être épanouissante, l'argent ne fait pas tout, et la justice n'est ni la loi du plus fort, ni le "chacun pour soi".
💡 Point clé : La vraie justice unit plutôt qu'elle ne divise - c'est ce qui la rend supérieure à l'injustice !

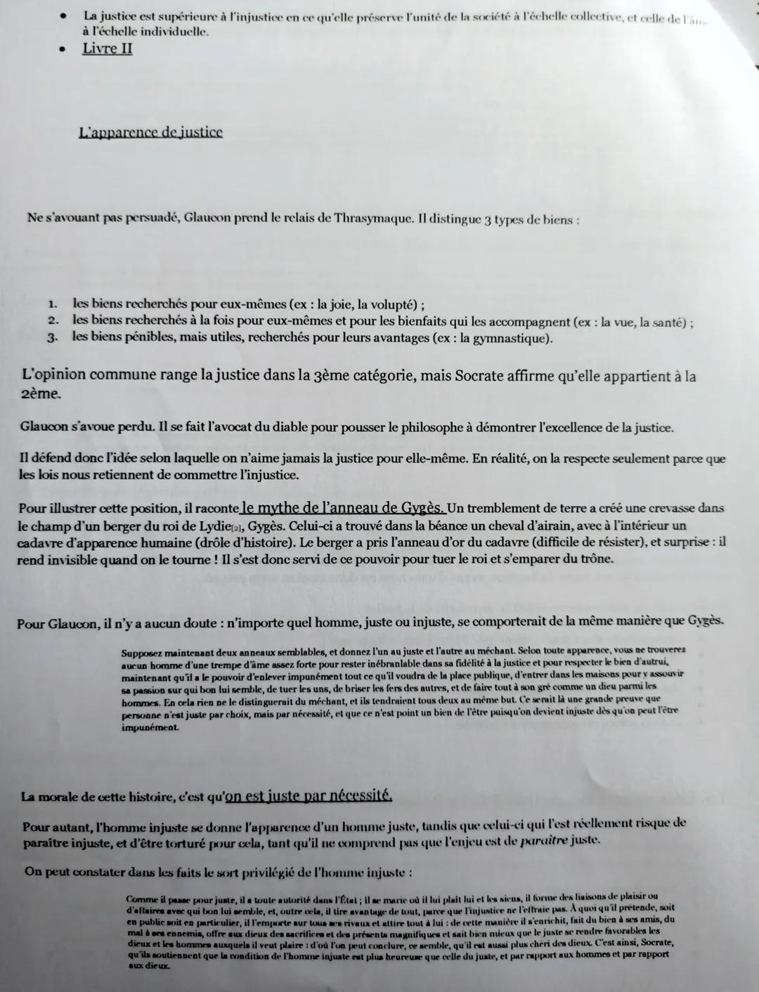
Glaucon relance le débat avec une question redoutable : aime-t-on vraiment la justice pour elle-même ? Il distingue trois types de biens et soupçonne que la justice appartient à la pire catégorie - celle des choses pénibles mais nécessaires.
Son argument choc : le mythe de l'anneau de Gygès ! Un berger trouve un anneau magique qui rend invisible et l'utilise pour tuer le roi et prendre sa place. Pour Glaucon, n'importe qui ferait pareil - même le plus honnête des hommes.
La morale ? On n'est juste que par nécessité, pas par choix. Si on pouvait être injuste sans conséquences, qui résisterait à la tentation ?
Pire encore : dans la vraie vie, l'homme injuste qui sait garder les apparences s'en sort mieux que l'homme vraiment juste mais qui passe pour injuste. Le premier accumule richesses et honneurs, tandis que le second risque la torture et la mort !
Cette argumentation redoutable force Socrate à repenser complètement sa démonstration. Il ne suffit plus de montrer que la justice est utile - il faut prouver qu'elle rend heureux par elle-même.
💡 Point clé : Le vrai test de nos valeurs, c'est ce qu'on ferait si personne ne nous voyait !

Face à ce défi colossal, Socrate propose une méthode géniale : la métaphore des grandes lettres. De même qu'il est plus facile de lire des lettres écrites en gros caractères, il vaut mieux étudier la justice d'abord dans l'État, puis dans l'individu.
Cette approche "macro vers micro" va révolutionner l'analyse ! Socrate explique d'abord pourquoi les États naissent : parce qu'aucun individu ne peut se suffire à lui-même. La coopération n'est pas un luxe, c'est une nécessité vitale.
L'État idéal repose sur la division du travail pour deux raisons pratiques : elle améliore la productivité ET elle respecte les talents naturels de chacun. Chacun fait ce qu'il fait de mieux !
Socrate décrit d'abord un État simple et sain, où les gens vivent sobrement mais heureux. Ils mangent des gâteaux d'orge, boivent du vin avec modération, chantent les louanges des dieux... Une vie rustique mais épanouie !
Mais ses interlocuteurs trouvent cette vision trop austère. Ils veulent du luxe ! C'est là que tout se complique...
💡 Point clé : Pour résoudre des problèmes complexes, commence par étudier les cas simples et clairs !

Dès qu'on introduit le luxe, l'État paisible devient "malsain" ! Il faut maintenant des serviteurs, des médecins pour soigner les excès, et surtout... une armée pour conquérir de nouveaux territoires.
Ces gardiens de l'État ne peuvent pas être n'importe qui. Socrate les compare à des chiens de garde : doux avec les familiers, féroces avec les ennemis. Ils doivent distinguer l'ami de l'ennemi par la connaissance, pas par l'instinct.
Cette comparaison débouche sur une conclusion surprenante : le parfait gardien doit être philosophe ! Pourquoi ? Parce qu'il doit aimer apprendre pour bien juger des situations.
Les qualités requises : sagacité pour détecter l'ennemi, force physique pour combattre, courage pour ne pas fuir, et colère contrôlée pour protéger l'État. Un mélange explosif !
Leur éducation comportera deux volets : la gymnastique pour le corps et la musique (au sens large : littérature, poésie) pour l'âme. Mais attention - il faudra surveiller de près ce qu'on leur enseigne !
💡 Point clé : Le luxe a un prix - il complexifie la société et peut mener au conflit !

Socrate devient radical ! Il faut censurer les fables et mythes racontés aux enfants. Objectif : former des gardiens exemplaires, pas des citoyens ordinaires.
Les règles de censure sont strictes : interdire tout ce qui montre les dieux sous un mauvais jour, bannir les récits de conflits entre divinités, éliminer les histoires où les dieux mentent ou changent de forme. Même Homère, pourtant admiré, doit être expurgé !
Pourquoi cette sévérité ? Parce que les enfants croient tout ce qu'on leur raconte. Si on leur présente des dieux violents et menteurs, ils penseront que c'est normal d'être violent et menteur.
La formation de l'âme prime sur celle du corps. C'est dès l'enfance qu'on doit inculquer les bonnes valeurs, car "c'est alors qu'ils se façonnent et reçoivent l'empreinte qu'on veut leur donner."
Socrate va jusqu'à proposer de traiter certains mythes comme des mystères réservés à quelques initiés. L'information dangereuse doit rester confidentielle !
💡 Point clé : L'éducation forge le caractère - il faut choisir avec soin ce qu'on transmet aux générations futures !

Socrate peaufine son système éducatif avec des règles encore plus précises. Les guerriers doivent mépriser la mort et préférer mourir plutôt que d'être esclaves. Finies les lamentations et les faiblesses !
Le sage idéal se suffit à lui-même et supporte tous les accidents avec patience. Perdre un fils, un frère, des richesses ? Pas de quoi s'effondrer ! Même le rire est suspect car il agite trop l'âme.
Côté politique, seuls les magistrats auront le droit de mentir quand c'est nécessaire pour l'État. Pour les citoyens ordinaires, le mensonge reste un crime. Double standard assumé !
La tempérance devient centrale : maîtrise de soi ET soumission à l'autorité. Les récits qui valorisent ces qualités seront conservés, les autres supprimés. L'objectif ? Préserver la légitimité du pouvoir.
Enfin, Socrate s'attaque à la forme des récits. L'imitation est dangereuse car elle abaisse le caractère. Si on imite un lâche au théâtre, on risque de devenir lâche dans la vie ! Mieux vaut se limiter au récit simple et direct.
💡 Point clé : La forme influence le fond - même la manière de raconter peut façonner les comportements !
Notre compagnon IA est spécialement conçu pour répondre aux besoins des étudiants. Sur la base des millions d'éléments de contenu que nous avons sur la plateforme, nous pouvons fournir des réponses vraiment significatives et pertinentes aux étudiants. Mais il ne s'agit pas seulement de réponses, le compagnon a encore plus pour but de guider les élèves dans leurs défis d'apprentissage quotidiens, avec des plans d'étude personnalisés, des quiz ou des éléments de contenu dans le chat et une personnalisation à 100% basée sur les compétences et les développements de l'étudiant.
Tu peux télécharger l'application dans Google Play Store et dans l'App Store d'Apple.
Oui, tu as un accès entièrement gratuit à tous les contenus de l'appli, tu peux chatter ou suivre les créateurs à tout moment. De plus, nous proposons Knowunity Premium, qui te permet de réviser sans limites!
App Store
Google Play
L'application est très facile d'utilisation et bien conçue. Jusqu'à présent, j'ai trouvé tout ce que je cherchais et j'ai pu apprendre beaucoup de choses grâce aux présentations ! Je vais certainement utiliser l'application pour un travail en classe ! Et comme source d'inspiration personnelle, elle est bien sûr aussi très utile.
Stefan S
utilisateur iOS
Cette application est vraiment super. Il y a tellement de fiches de révision et d'aide, [...]. Par exemple, la matière qui me pose problème est le français et l'appli a un choix d'aide très large. Grâce à cette application, je me suis améliorée en français. Je la recommanderais à tout le monde.
Samantha Klich
utilisatrice Android
Waouh, je suis vraiment abasourdi. J'ai essayé l'application parce que je l'avais déjà vue plusieurs fois dans la publicité et j'ai été absolument choquée. Cette appli est L'AIDE dont on rêve pour l'école et surtout, elle propose tellement de choses, comme des rédactions et des fiches qui m'ont personnellement TRÈS bien aidé.
Anna
utilisatrice iOS
Meilleur application je voulais m'entraîner pour mes maths puis j'ai tout compris d'un coup c'est mon nouveau prof maintenant 🤣🤣
Thomas R
utilisateur d' Android
super application pour réviser je révise tout les soirs
Esteban M
utilisateur d'Android
Permet de vraiment comprendre les cours sous forme de fiches de révisions déjà faites ! Incroyable, je recommande vraiment
Leny
utilisateur d'Android
L'application est tout simplement géniale ! Il me suffit de taper mon sujet dans la barre de recherche et je le vérifie très rapidement. Je ne dois plus regarder 10 vidéos YouTube pour comprendre quelque chose et j'économise ainsi mon temps. Je te le recommande !
Sudenaz Ocak
utilisateur Android
Cette application m'a vraiment fait m'améliorer ! J'étais vraiment nul en maths à l'école et grâce à l'appli, je suis meilleur en maths ! Je suis tellement reconnaissante que vous ayez créé cette application.
Greenlight Bonnie
utilisateur Android
PARFAIT 🌟 💕🔥 ça facilite Vrmt la révision avec des fiches de révisions fascinants✨🥰
Khady
utilisatrice d'Android
Je conseille vraiment ! je galère à avoir des cours clairs et ça aide énormément !!
Claire
utilisatrice iOS
LES QUIZ ET CARTES MÉMOIRE SONT TROP UTILES ET J'ADORE Knowunity IA. C'EST LITTÉRALEMENT COMME CHATGPT MAIS EN PLUS INTELLIGENT !! ÇA M'A AIDÉ AVEC MES PROBLÈMES DE MASCARA AUSSI !! AINSI QUE MES VRAIES MATIÈRES ! ÉVIDEMMENT 😍😁😲🤑💗✨🎀😮
Raoul
utilisateur IOS
Knowunity est vraiment une application incroyable elle est pour tous les âges et s’adapte à tous les niveaux.Elle permet de mieux comprendre et apprendre. Cette application est super pour les devoirs et pour les contrôles je la recommande à tous le monde petit ou grands
Ella
utilisatrice iOS
L'application est très facile d'utilisation et bien conçue. Jusqu'à présent, j'ai trouvé tout ce que je cherchais et j'ai pu apprendre beaucoup de choses grâce aux présentations ! Je vais certainement utiliser l'application pour un travail en classe ! Et comme source d'inspiration personnelle, elle est bien sûr aussi très utile.
Stefan S
utilisateur iOS
Cette application est vraiment super. Il y a tellement de fiches de révision et d'aide, [...]. Par exemple, la matière qui me pose problème est le français et l'appli a un choix d'aide très large. Grâce à cette application, je me suis améliorée en français. Je la recommanderais à tout le monde.
Samantha Klich
utilisatrice Android
Waouh, je suis vraiment abasourdi. J'ai essayé l'application parce que je l'avais déjà vue plusieurs fois dans la publicité et j'ai été absolument choquée. Cette appli est L'AIDE dont on rêve pour l'école et surtout, elle propose tellement de choses, comme des rédactions et des fiches qui m'ont personnellement TRÈS bien aidé.
Anna
utilisatrice iOS
Meilleur application je voulais m'entraîner pour mes maths puis j'ai tout compris d'un coup c'est mon nouveau prof maintenant 🤣🤣
Thomas R
utilisateur d' Android
super application pour réviser je révise tout les soirs
Esteban M
utilisateur d'Android
Permet de vraiment comprendre les cours sous forme de fiches de révisions déjà faites ! Incroyable, je recommande vraiment
Leny
utilisateur d'Android
L'application est tout simplement géniale ! Il me suffit de taper mon sujet dans la barre de recherche et je le vérifie très rapidement. Je ne dois plus regarder 10 vidéos YouTube pour comprendre quelque chose et j'économise ainsi mon temps. Je te le recommande !
Sudenaz Ocak
utilisateur Android
Cette application m'a vraiment fait m'améliorer ! J'étais vraiment nul en maths à l'école et grâce à l'appli, je suis meilleur en maths ! Je suis tellement reconnaissante que vous ayez créé cette application.
Greenlight Bonnie
utilisateur Android
PARFAIT 🌟 💕🔥 ça facilite Vrmt la révision avec des fiches de révisions fascinants✨🥰
Khady
utilisatrice d'Android
Je conseille vraiment ! je galère à avoir des cours clairs et ça aide énormément !!
Claire
utilisatrice iOS
LES QUIZ ET CARTES MÉMOIRE SONT TROP UTILES ET J'ADORE Knowunity IA. C'EST LITTÉRALEMENT COMME CHATGPT MAIS EN PLUS INTELLIGENT !! ÇA M'A AIDÉ AVEC MES PROBLÈMES DE MASCARA AUSSI !! AINSI QUE MES VRAIES MATIÈRES ! ÉVIDEMMENT 😍😁😲🤑💗✨🎀😮
Raoul
utilisateur IOS
Knowunity est vraiment une application incroyable elle est pour tous les âges et s’adapte à tous les niveaux.Elle permet de mieux comprendre et apprendre. Cette application est super pour les devoirs et pour les contrôles je la recommande à tous le monde petit ou grands
Ella
utilisatrice iOS
PierreFo
@pierrefo
Tu vas plonger dans l'univers fascinant de La République de Platon, l'œuvre qui a révolutionné la philosophie politique ! Écrite au Ve siècle avant J.-C., cette œuvre met en scène Socrateet ses amis qui débattent passionnément de la justice,... Affiche plus

Accès à tous les documents
Améliore tes notes
Rejoins des millions d'étudiants
Imagine-toi dans l'Athènes antique ! Socrate raconte une soirée chez Céphale, un riche marchand d'armes du Pirée. Autour de lui, on retrouve Glaucon et Adimante (les frères de Platon), Polémarque (le fils de Céphale) et surtout Thrasymaque, un sophiste qui va défier Socrate.
Le débat commence par une discussion sur la vieillesse entre Socrate et Céphale. Le vieux marchand défend l'idée que vieillir peut être merveilleux - on se libère des passions destructrices de la jeunesse et on gagne en sagesse. Pour lui, la fortune aide à bien vieillir car elle offre l'indépendance morale.
Mais Socrate n'est pas convaincu par cette vision simpliste. Il pousse la réflexion plus loin en s'attaquant à la définition même de la justice. Céphale propose : "rendre à chacun ce qui lui appartient". Socrate montre rapidement les limites de cette définition avec des exemples concrets.
💡 Point clé : Méfie-toi des définitions qui paraissent évidentes - elles cachent souvent des contradictions !

Accès à tous les documents
Améliore tes notes
Rejoins des millions d'étudiants
Polémarque prend le relais de son père et cite le poète Simonide : la justice consiste à "rendre à chacun ce qu'on lui doit". Mais Socrate, avec sa méthode habituelle, démonte cette définition par des questions en cascade.
Son raisonnement (assez tordu, il faut l'avouer) : si la justice sert à conserver les biens, alors l'homme juste sait aussi les dérober - donc il serait un "fripon en puissance" ! Polémarque, complètement perdu, tente une nouvelle approche : "faire du bien aux amis et du mal aux ennemis".
Socrate réfute encore cette idée. Comment savoir qui sont nos vrais amis ? Et surtout, si on fait du mal à nos ennemis, on les rend plus injustes - ce qui contredit le principe même de justice.
La leçon importante ici ? Socrate montre qu'il faut privilégier l'autorité de la raison sur l'autorité intellectuelle des grands noms. Peu importe que Simonide soit célèbre si son idée ne tient pas la route !
💡 Point clé : Questionne toujours les idées reçues, même celles des "experts" - ta logique vaut mieux que leur réputation !

Accès à tous les documents
Améliore tes notes
Rejoins des millions d'étudiants
Voici le moment le plus intense du débat ! Thrasymaque explose littéralement contre Socrate et balance sa définition provocante : "La justice n'est autre chose que ce qui est avantageux au plus fort."
Pour lui, c'est simple : ceux qui gouvernent font des lois à leur avantage, et la justice consiste juste à obéir à ces lois. En gros, la justice = la légalité, et tout ça sert les intérêts des puissants.
L'ambiance devient électrique ! Thrasymaque critique la méthode de Socrate (toujours poser des questions, jamais donner de réponses) et demande même à être payé pour ses explications. Le clash philosophique est total !
Socrate contre-attaque avec finesse. Il montre une contradiction dans le raisonnement de Thrasymaque : si le gouvernant peut se tromper sur ses intérêts, alors il serait "juste" d'obéir à des lois qui le desservent. Échec et mat !
💡 Point clé : Les définitions qui semblent cyniques mais "réalistes" cachent souvent des failles logiques importantes.

Accès à tous les documents
Améliore tes notes
Rejoins des millions d'étudiants
Face aux corrections de Thrasymaque, Socrate développe une argumentation brillante. Il compare le gouvernant à un médecin : de même que la médecine vise la santé du patient (pas celle du médecin), l'art politique doit viser le bien des gouvernés.
Cette analogie révolutionne le débat ! Si chaque art a pour but le bien-être de son objet, alors gouverner, c'est servir le peuple, pas s'enrichir. La preuve ? Les vrais gouvernants demandent une rémunération parce qu'ils se sacrifient pour les autres.
Thrasymaque ne lâche rien et insiste : l'injustice est plus rentable que la justice ! Regarde les tyrans - ils sont riches et respectés, tandis que les honnêtes gens galèrent.
Mais Socrate a une dernière carte. Il prend l'exemple du savant : un vrai médecin ne cherche pas à surpasser un autre médecin, seulement l'ignorant. De même, l'homme juste ne rivalise qu'avec l'injuste. Conclusion : l'homme injuste ressemble à l'ignorant !
💡 Point clé : Les analogies peuvent être de puissants outils de raisonnement - elles révèlent des structures cachées !

Accès à tous les documents
Améliore tes notes
Rejoins des millions d'étudiants
Socrate porte le coup de grâce avec un argument décisif : l'injustice détruit la coopération ! Dans une armée, un État ou même chez un individu, l'injustice crée des conflits internes qui rendent l'action impossible.
La justice, au contraire, assure la cohésion. Elle permet aux groupes de fonctionner harmonieusement et aux individus d'être en paix avec eux-mêmes. C'est pourquoi elle rend plus heureux que l'injustice.
Le philosophe conclut avec sa théorie de la fonction : chaque chose a une vertu propre qui lui permet de bien remplir son rôle. L'âme humaine aussi a sa vertu propre - la justice - qui lui permet de bien vivre.
Le livre I se termine sur une victoire de Socrate, mais le débat est loin d'être fini ! Les idées principales à retenir : la vieillesse peut être épanouissante, l'argent ne fait pas tout, et la justice n'est ni la loi du plus fort, ni le "chacun pour soi".
💡 Point clé : La vraie justice unit plutôt qu'elle ne divise - c'est ce qui la rend supérieure à l'injustice !

Accès à tous les documents
Améliore tes notes
Rejoins des millions d'étudiants
Glaucon relance le débat avec une question redoutable : aime-t-on vraiment la justice pour elle-même ? Il distingue trois types de biens et soupçonne que la justice appartient à la pire catégorie - celle des choses pénibles mais nécessaires.
Son argument choc : le mythe de l'anneau de Gygès ! Un berger trouve un anneau magique qui rend invisible et l'utilise pour tuer le roi et prendre sa place. Pour Glaucon, n'importe qui ferait pareil - même le plus honnête des hommes.
La morale ? On n'est juste que par nécessité, pas par choix. Si on pouvait être injuste sans conséquences, qui résisterait à la tentation ?
Pire encore : dans la vraie vie, l'homme injuste qui sait garder les apparences s'en sort mieux que l'homme vraiment juste mais qui passe pour injuste. Le premier accumule richesses et honneurs, tandis que le second risque la torture et la mort !
Cette argumentation redoutable force Socrate à repenser complètement sa démonstration. Il ne suffit plus de montrer que la justice est utile - il faut prouver qu'elle rend heureux par elle-même.
💡 Point clé : Le vrai test de nos valeurs, c'est ce qu'on ferait si personne ne nous voyait !

Accès à tous les documents
Améliore tes notes
Rejoins des millions d'étudiants
Face à ce défi colossal, Socrate propose une méthode géniale : la métaphore des grandes lettres. De même qu'il est plus facile de lire des lettres écrites en gros caractères, il vaut mieux étudier la justice d'abord dans l'État, puis dans l'individu.
Cette approche "macro vers micro" va révolutionner l'analyse ! Socrate explique d'abord pourquoi les États naissent : parce qu'aucun individu ne peut se suffire à lui-même. La coopération n'est pas un luxe, c'est une nécessité vitale.
L'État idéal repose sur la division du travail pour deux raisons pratiques : elle améliore la productivité ET elle respecte les talents naturels de chacun. Chacun fait ce qu'il fait de mieux !
Socrate décrit d'abord un État simple et sain, où les gens vivent sobrement mais heureux. Ils mangent des gâteaux d'orge, boivent du vin avec modération, chantent les louanges des dieux... Une vie rustique mais épanouie !
Mais ses interlocuteurs trouvent cette vision trop austère. Ils veulent du luxe ! C'est là que tout se complique...
💡 Point clé : Pour résoudre des problèmes complexes, commence par étudier les cas simples et clairs !

Accès à tous les documents
Améliore tes notes
Rejoins des millions d'étudiants
Dès qu'on introduit le luxe, l'État paisible devient "malsain" ! Il faut maintenant des serviteurs, des médecins pour soigner les excès, et surtout... une armée pour conquérir de nouveaux territoires.
Ces gardiens de l'État ne peuvent pas être n'importe qui. Socrate les compare à des chiens de garde : doux avec les familiers, féroces avec les ennemis. Ils doivent distinguer l'ami de l'ennemi par la connaissance, pas par l'instinct.
Cette comparaison débouche sur une conclusion surprenante : le parfait gardien doit être philosophe ! Pourquoi ? Parce qu'il doit aimer apprendre pour bien juger des situations.
Les qualités requises : sagacité pour détecter l'ennemi, force physique pour combattre, courage pour ne pas fuir, et colère contrôlée pour protéger l'État. Un mélange explosif !
Leur éducation comportera deux volets : la gymnastique pour le corps et la musique (au sens large : littérature, poésie) pour l'âme. Mais attention - il faudra surveiller de près ce qu'on leur enseigne !
💡 Point clé : Le luxe a un prix - il complexifie la société et peut mener au conflit !

Accès à tous les documents
Améliore tes notes
Rejoins des millions d'étudiants
Socrate devient radical ! Il faut censurer les fables et mythes racontés aux enfants. Objectif : former des gardiens exemplaires, pas des citoyens ordinaires.
Les règles de censure sont strictes : interdire tout ce qui montre les dieux sous un mauvais jour, bannir les récits de conflits entre divinités, éliminer les histoires où les dieux mentent ou changent de forme. Même Homère, pourtant admiré, doit être expurgé !
Pourquoi cette sévérité ? Parce que les enfants croient tout ce qu'on leur raconte. Si on leur présente des dieux violents et menteurs, ils penseront que c'est normal d'être violent et menteur.
La formation de l'âme prime sur celle du corps. C'est dès l'enfance qu'on doit inculquer les bonnes valeurs, car "c'est alors qu'ils se façonnent et reçoivent l'empreinte qu'on veut leur donner."
Socrate va jusqu'à proposer de traiter certains mythes comme des mystères réservés à quelques initiés. L'information dangereuse doit rester confidentielle !
💡 Point clé : L'éducation forge le caractère - il faut choisir avec soin ce qu'on transmet aux générations futures !

Accès à tous les documents
Améliore tes notes
Rejoins des millions d'étudiants
Socrate peaufine son système éducatif avec des règles encore plus précises. Les guerriers doivent mépriser la mort et préférer mourir plutôt que d'être esclaves. Finies les lamentations et les faiblesses !
Le sage idéal se suffit à lui-même et supporte tous les accidents avec patience. Perdre un fils, un frère, des richesses ? Pas de quoi s'effondrer ! Même le rire est suspect car il agite trop l'âme.
Côté politique, seuls les magistrats auront le droit de mentir quand c'est nécessaire pour l'État. Pour les citoyens ordinaires, le mensonge reste un crime. Double standard assumé !
La tempérance devient centrale : maîtrise de soi ET soumission à l'autorité. Les récits qui valorisent ces qualités seront conservés, les autres supprimés. L'objectif ? Préserver la légitimité du pouvoir.
Enfin, Socrate s'attaque à la forme des récits. L'imitation est dangereuse car elle abaisse le caractère. Si on imite un lâche au théâtre, on risque de devenir lâche dans la vie ! Mieux vaut se limiter au récit simple et direct.
💡 Point clé : La forme influence le fond - même la manière de raconter peut façonner les comportements !
Notre compagnon IA est spécialement conçu pour répondre aux besoins des étudiants. Sur la base des millions d'éléments de contenu que nous avons sur la plateforme, nous pouvons fournir des réponses vraiment significatives et pertinentes aux étudiants. Mais il ne s'agit pas seulement de réponses, le compagnon a encore plus pour but de guider les élèves dans leurs défis d'apprentissage quotidiens, avec des plans d'étude personnalisés, des quiz ou des éléments de contenu dans le chat et une personnalisation à 100% basée sur les compétences et les développements de l'étudiant.
Tu peux télécharger l'application dans Google Play Store et dans l'App Store d'Apple.
Oui, tu as un accès entièrement gratuit à tous les contenus de l'appli, tu peux chatter ou suivre les créateurs à tout moment. De plus, nous proposons Knowunity Premium, qui te permet de réviser sans limites!
15
Outils Intelligents NOUVEAU
Transforme cette fiche en : ✓ 50+ Questions d'Entraînement ✓ Cartes Mémoire Interactives ✓ Examen blanc complet ✓ Plans de Dissertation
App Store
Google Play
L'application est très facile d'utilisation et bien conçue. Jusqu'à présent, j'ai trouvé tout ce que je cherchais et j'ai pu apprendre beaucoup de choses grâce aux présentations ! Je vais certainement utiliser l'application pour un travail en classe ! Et comme source d'inspiration personnelle, elle est bien sûr aussi très utile.
Stefan S
utilisateur iOS
Cette application est vraiment super. Il y a tellement de fiches de révision et d'aide, [...]. Par exemple, la matière qui me pose problème est le français et l'appli a un choix d'aide très large. Grâce à cette application, je me suis améliorée en français. Je la recommanderais à tout le monde.
Samantha Klich
utilisatrice Android
Waouh, je suis vraiment abasourdi. J'ai essayé l'application parce que je l'avais déjà vue plusieurs fois dans la publicité et j'ai été absolument choquée. Cette appli est L'AIDE dont on rêve pour l'école et surtout, elle propose tellement de choses, comme des rédactions et des fiches qui m'ont personnellement TRÈS bien aidé.
Anna
utilisatrice iOS
Meilleur application je voulais m'entraîner pour mes maths puis j'ai tout compris d'un coup c'est mon nouveau prof maintenant 🤣🤣
Thomas R
utilisateur d' Android
super application pour réviser je révise tout les soirs
Esteban M
utilisateur d'Android
Permet de vraiment comprendre les cours sous forme de fiches de révisions déjà faites ! Incroyable, je recommande vraiment
Leny
utilisateur d'Android
L'application est tout simplement géniale ! Il me suffit de taper mon sujet dans la barre de recherche et je le vérifie très rapidement. Je ne dois plus regarder 10 vidéos YouTube pour comprendre quelque chose et j'économise ainsi mon temps. Je te le recommande !
Sudenaz Ocak
utilisateur Android
Cette application m'a vraiment fait m'améliorer ! J'étais vraiment nul en maths à l'école et grâce à l'appli, je suis meilleur en maths ! Je suis tellement reconnaissante que vous ayez créé cette application.
Greenlight Bonnie
utilisateur Android
PARFAIT 🌟 💕🔥 ça facilite Vrmt la révision avec des fiches de révisions fascinants✨🥰
Khady
utilisatrice d'Android
Je conseille vraiment ! je galère à avoir des cours clairs et ça aide énormément !!
Claire
utilisatrice iOS
LES QUIZ ET CARTES MÉMOIRE SONT TROP UTILES ET J'ADORE Knowunity IA. C'EST LITTÉRALEMENT COMME CHATGPT MAIS EN PLUS INTELLIGENT !! ÇA M'A AIDÉ AVEC MES PROBLÈMES DE MASCARA AUSSI !! AINSI QUE MES VRAIES MATIÈRES ! ÉVIDEMMENT 😍😁😲🤑💗✨🎀😮
Raoul
utilisateur IOS
Knowunity est vraiment une application incroyable elle est pour tous les âges et s’adapte à tous les niveaux.Elle permet de mieux comprendre et apprendre. Cette application est super pour les devoirs et pour les contrôles je la recommande à tous le monde petit ou grands
Ella
utilisatrice iOS
L'application est très facile d'utilisation et bien conçue. Jusqu'à présent, j'ai trouvé tout ce que je cherchais et j'ai pu apprendre beaucoup de choses grâce aux présentations ! Je vais certainement utiliser l'application pour un travail en classe ! Et comme source d'inspiration personnelle, elle est bien sûr aussi très utile.
Stefan S
utilisateur iOS
Cette application est vraiment super. Il y a tellement de fiches de révision et d'aide, [...]. Par exemple, la matière qui me pose problème est le français et l'appli a un choix d'aide très large. Grâce à cette application, je me suis améliorée en français. Je la recommanderais à tout le monde.
Samantha Klich
utilisatrice Android
Waouh, je suis vraiment abasourdi. J'ai essayé l'application parce que je l'avais déjà vue plusieurs fois dans la publicité et j'ai été absolument choquée. Cette appli est L'AIDE dont on rêve pour l'école et surtout, elle propose tellement de choses, comme des rédactions et des fiches qui m'ont personnellement TRÈS bien aidé.
Anna
utilisatrice iOS
Meilleur application je voulais m'entraîner pour mes maths puis j'ai tout compris d'un coup c'est mon nouveau prof maintenant 🤣🤣
Thomas R
utilisateur d' Android
super application pour réviser je révise tout les soirs
Esteban M
utilisateur d'Android
Permet de vraiment comprendre les cours sous forme de fiches de révisions déjà faites ! Incroyable, je recommande vraiment
Leny
utilisateur d'Android
L'application est tout simplement géniale ! Il me suffit de taper mon sujet dans la barre de recherche et je le vérifie très rapidement. Je ne dois plus regarder 10 vidéos YouTube pour comprendre quelque chose et j'économise ainsi mon temps. Je te le recommande !
Sudenaz Ocak
utilisateur Android
Cette application m'a vraiment fait m'améliorer ! J'étais vraiment nul en maths à l'école et grâce à l'appli, je suis meilleur en maths ! Je suis tellement reconnaissante que vous ayez créé cette application.
Greenlight Bonnie
utilisateur Android
PARFAIT 🌟 💕🔥 ça facilite Vrmt la révision avec des fiches de révisions fascinants✨🥰
Khady
utilisatrice d'Android
Je conseille vraiment ! je galère à avoir des cours clairs et ça aide énormément !!
Claire
utilisatrice iOS
LES QUIZ ET CARTES MÉMOIRE SONT TROP UTILES ET J'ADORE Knowunity IA. C'EST LITTÉRALEMENT COMME CHATGPT MAIS EN PLUS INTELLIGENT !! ÇA M'A AIDÉ AVEC MES PROBLÈMES DE MASCARA AUSSI !! AINSI QUE MES VRAIES MATIÈRES ! ÉVIDEMMENT 😍😁😲🤑💗✨🎀😮
Raoul
utilisateur IOS
Knowunity est vraiment une application incroyable elle est pour tous les âges et s’adapte à tous les niveaux.Elle permet de mieux comprendre et apprendre. Cette application est super pour les devoirs et pour les contrôles je la recommande à tous le monde petit ou grands
Ella
utilisatrice iOS