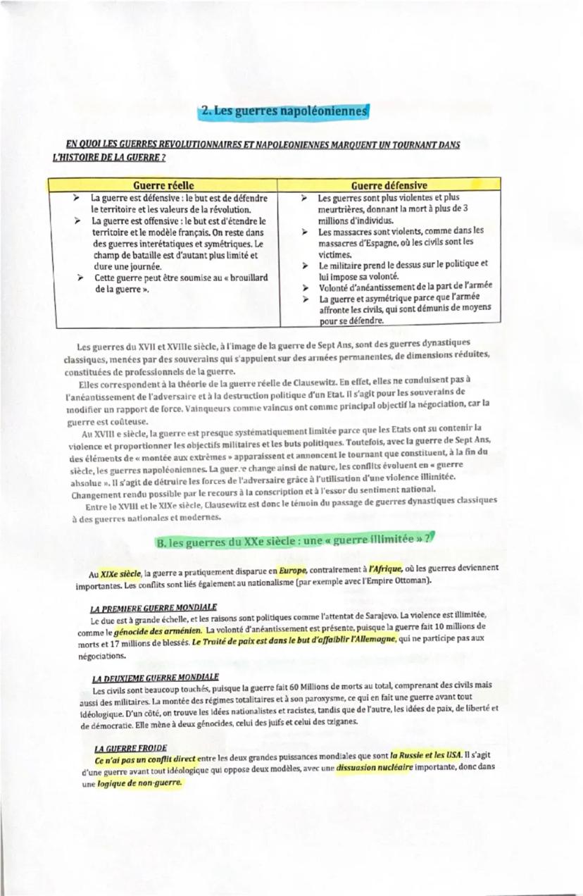
Tu sais déjà que la guerre fait partie de l'histoire... Affiche plus
Thème 2 : Axe 1 : Les transformations de la guerre à travers l'histoire





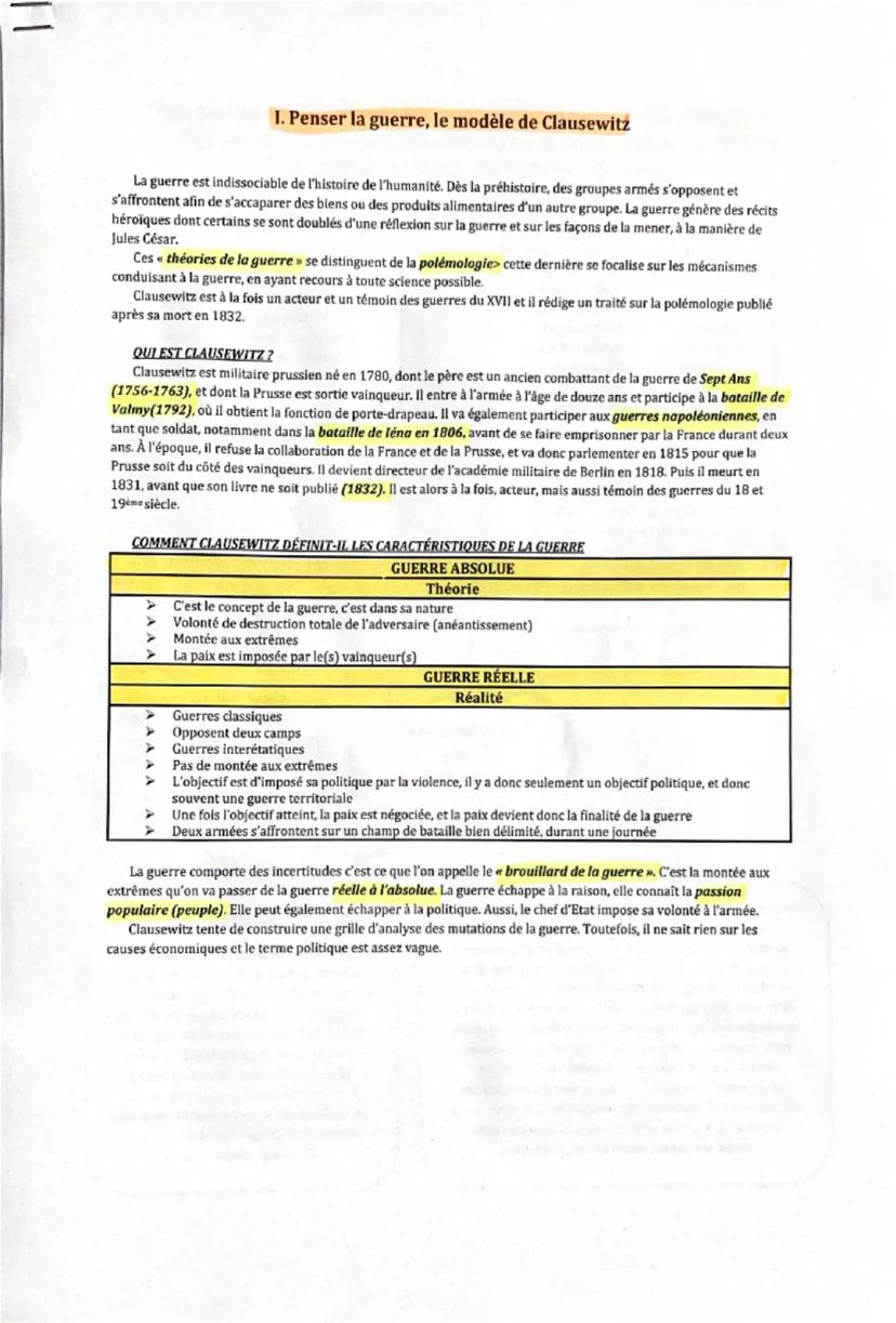
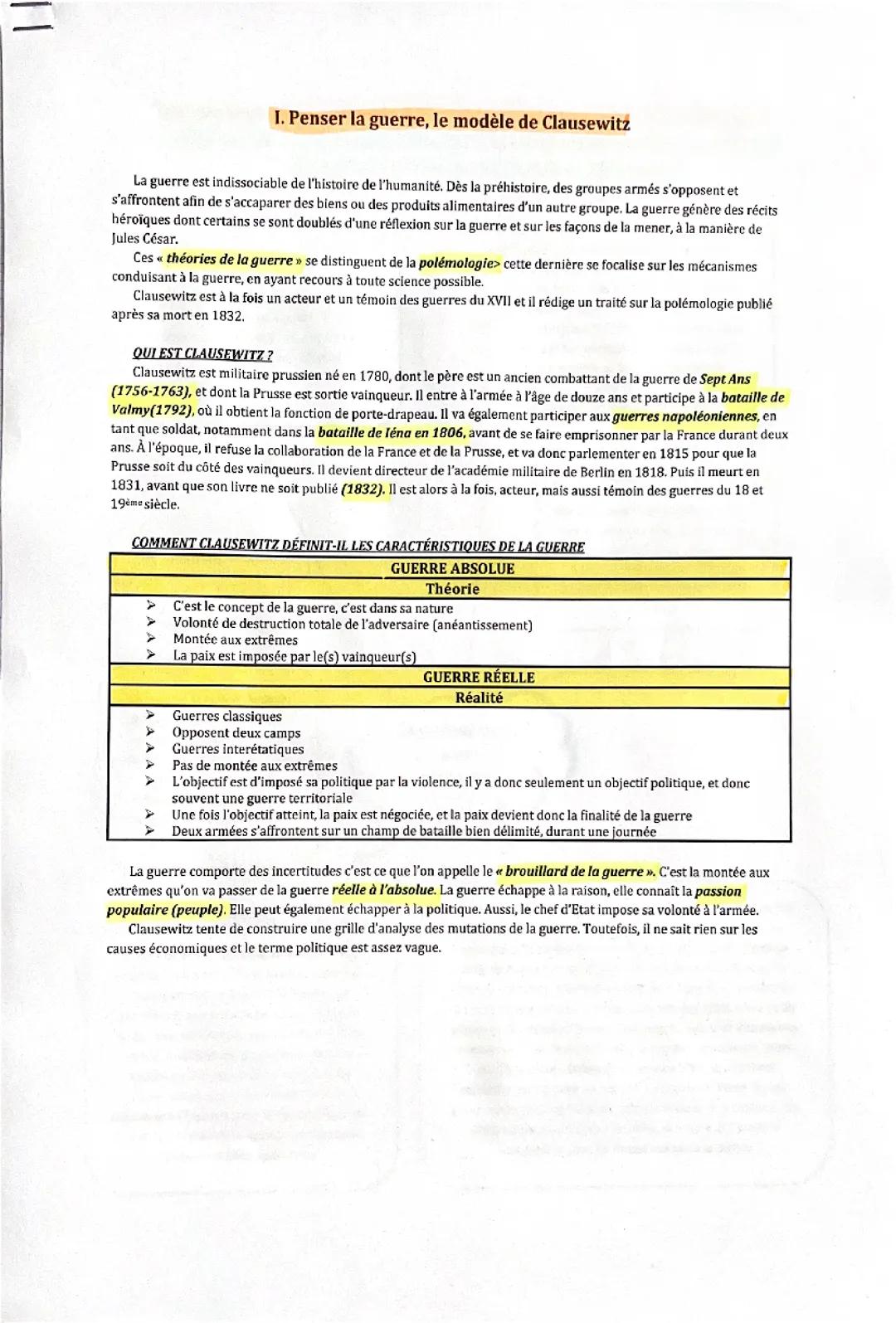
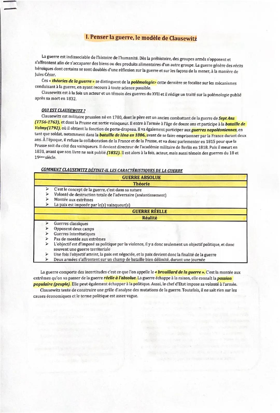
Le modèle de Clausewitz : comprendre la nature de la guerre
Imagine un militaire qui a vécu les guerres napoléoniennes et qui décide d'analyser ce qu'il a vu. C'est exactement ce qu'a fait Clausewitz, un Prussien né en 1780 qui a combattu dès l'âge de 12 ans. Il a participé aux plus grandes batailles de son époque, de Valmy à Iéna, avant de devenir directeur de l'académie militaire de Berlin.
Clausewitz distingue deux types de guerre dans sa théorie. La guerre absolue représente le concept pur : destruction totale de l'adversaire, montée aux extrêmes, paix imposée par le vainqueur. C'est la guerre dans sa nature la plus brutale. À l'inverse, la guerre réelle correspond aux conflits classiques entre États avec des objectifs politiques limités, souvent territoriaux.
Le concept du "brouillard de la guerre" est génial : il explique que la guerre échappe parfois à la raison à cause des incertitudes et de la passion populaire. Clausewitz nous montre que comprendre la guerre, c'est analyser comment on passe du rationnel à l'irrationnel.
💡 À retenir : Clausewitz a vécu la transformation de la guerre de son époque, ce qui rend son analyse particulièrement pertinente pour comprendre les mutations des conflits.

De la guerre de Sept Ans aux guerres napoléoniennes
La guerre de Sept Ans (1756-1763) représente encore une guerre classique. Marie-Thérèse d'Autriche veut récupérer la Silésie, et ça dégénère en conflit mondial entre grandes puissances. La Prusse et le Royaume-Uni affrontent la France, l'Autriche, la Russie et leurs alliés sur plusieurs continents.
Cette guerre change complètement la donne européenne. La Prusse devient une grande puissance, la France perd son empire colonial au profit des Britanniques, et le Royaume-Uni se positionne comme future première puissance industrielle. Frédéric II de Prusse montre qu'avec du talent militaire, on peut tenir tête à toute l'Europe.
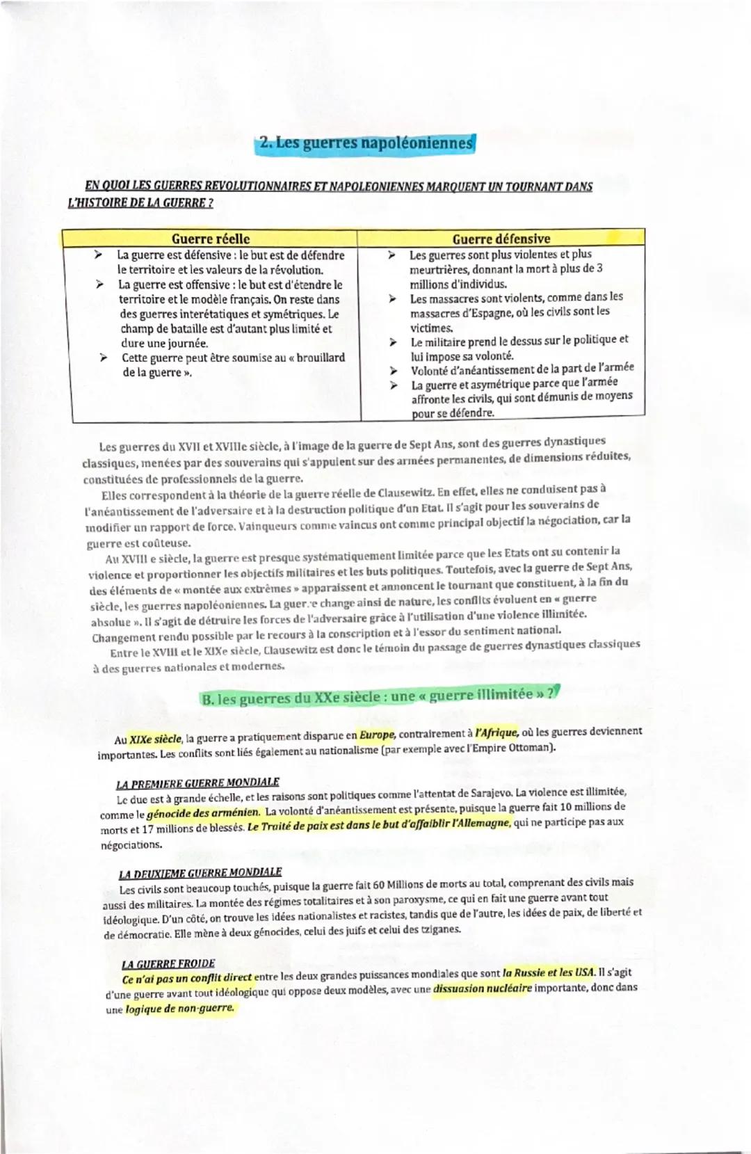
Puis arrivent les guerres napoléoniennes qui marquent un tournant brutal. On passe d'une guerre défensive (protéger la Révolution) à une guerre offensive d'expansion. La violence explose : 3 millions de morts, massacres de civils en Espagne, le militaire qui prend le dessus sur le politique. C'est exactement ce que Clausewitz appelle la montée vers la guerre absolue.
💡 À retenir : Les guerres napoléoniennes marquent la fin des guerres "polies" du 18e siècle et annoncent la brutalité des conflits modernes.

Les guerres du 20e siècle : quand la violence devient illimitée
Le 20e siècle pousse la logique de Clausewitz à l'extrême. La Première Guerre mondiale transforme complètement la nature du conflit : violence illimitée avec le génocide arménien, 10 millions de morts militaires, 17 millions de blessés. Le traité de paix vise clairement à affaiblir l'Allemagne qui ne participe même pas aux négociations.
Mais c'est la Seconde Guerre mondiale qui atteint le paroxysme de la guerre absolue. 60 millions de morts au total, civils massivement touchés, guerre avant tout idéologique entre régimes totalitaires d'un côté et démocraties de l'autre. Les génocides juif et tzigane montrent jusqu'où peut aller la volonté d'anéantissement.
La Guerre froide introduit un paradoxe fascinant : une guerre idéologique totale entre deux superpuissances qui ne se battent jamais directement. La dissuasion nucléaire crée une "logique de non-guerre" où la menace de destruction mutuelle empêche le conflit ouvert.
💡 À retenir : Le 20e siècle montre que la guerre absolue de Clausewitz peut devenir réalité, avec des conséquences terrifiantes pour l'humanité.

Les nouveaux défis : terrorisme et guerres asymétriques
Depuis les années 1990, de nouveaux acteurs remettent en question le modèle traditionnel. Al-Qaïda, fondée par Ben Laden dans les années 1980, développe une stratégie décentralisée avec des attentats spectaculaires comme le 11 septembre 2001. Son objectif : affaiblir l'Occident et mobiliser les musulmans dans un djihad global.
Daesh va encore plus loin en proclamant un califat territorial en 2014. Contrairement à Al-Qaïda qui joue la patience, Daesh veut des résultats immédiats avec une violence extrême (décapitations, massacres) et une propagande numérique sophistiquée. Les deux groupes partagent l'idéologie salafiste-djihadiste mais s'opposent sur les méthodes.
Ces organisations imposent une guerre asymétrique où des groupes non-étatiques affrontent des armées nationales. La "guerre contre le terrorisme" lancée par Bush après le 11 septembre montre les limites du modèle clausewitzien : comment appliquer la théorie de la guerre entre États à des ennemis sans territoire fixe ni armée conventionnelle ?
💡 À retenir : Le terrorisme moderne oblige à repenser complètement les théories traditionnelles de la guerre et crée de nouveaux défis stratégiques.
Si on te demande...
Qu'est-ce que le compagnon IA de Knowunity ?
Notre compagnon IA est spécialement conçu pour répondre aux besoins des étudiants. Sur la base des millions d'éléments de contenu que nous avons sur la plateforme, nous pouvons fournir des réponses vraiment significatives et pertinentes aux étudiants. Mais il ne s'agit pas seulement de réponses, le compagnon a encore plus pour but de guider les élèves dans leurs défis d'apprentissage quotidiens, avec des plans d'étude personnalisés, des quiz ou des éléments de contenu dans le chat et une personnalisation à 100% basée sur les compétences et les développements de l'étudiant.
Où puis-je télécharger l'appli Knowunity ?
Tu peux télécharger l'application dans Google Play Store et dans l'App Store d'Apple.
L'application est-elle vraiment gratuite ?
Oui, tu as un accès entièrement gratuit à tous les contenus de l'appli, tu peux chatter ou suivre les créateurs à tout moment. De plus, nous proposons Knowunity Premium, qui te permet de réviser sans limites!
Contenus similaires
Contenus les plus populaires : conflits internationaux
9Guerre et Paix : Analyse Stratégique
Explorez les dynamiques de la guerre et de la paix à travers l'analyse des conflits majeurs, y compris la guerre des Sept Ans, les guerres israélo-arabes et les enjeux géopolitiques contemporains. Cette fiche de révision couvre les concepts clés de la théorie de Clausewitz, les implications politiques des guerres, et les efforts de paix dans le contexte du Moyen-Orient. Idéal pour les étudiants en histoire et relations internationales.
Conflits et Résolutions
Explorez les dynamiques des conflits mondiaux, en particulier au Moyen-Orient, et les efforts de paix à travers l'histoire. Ce document aborde les guerres interétatiques, les guerres civiles, les interventions internationales, et les accords de paix, tout en mettant en lumière le rôle de l'ONU et les théories de Clausewitz. Type : résumé thématique.
Idées de questions de Grand Oral
Cette fiche te permet de : ✅ Explorer les grands thèmes d’HGGSP pour préparer ton oral ✅ Identifier rapidement les questions classiques et celles qui font réfléchir ✅ Avoir toutes les questions de Grand Oral regroupées au même endroit
Guerre et Paix : Évolution Historique
Explorez les dynamiques de la guerre et de la paix à travers l'histoire, de Clausewitz à nos jours. Ce résumé de cours en HGGSP aborde les acteurs, les formes de conflit, et les défis de la diplomatie depuis les traités de Westphalie jusqu'à la complexité des guerres modernes. Idéal pour les étudiants en HGGSP cherchant à comprendre les enjeux contemporains de la paix et de la guerre.
Guerres et Paix au Moyen-Orient
Explorez les dynamiques complexes des conflits au Moyen-Orient, y compris les guerres israélo-arabes, le terrorisme, et le rôle des puissances internationales. Ce document analyse les théories de Clausewitz sur la guerre, les enjeux géopolitiques, et les efforts de paix, tout en offrant une perspective sur l'évolution des conflits modernes. Type : résumé analytique.
Guerres et Paix: Conflits Mondiaux
Explorez les dynamiques des conflits internationaux et les tentatives de paix à travers l'histoire, y compris le système Westphalien, le terrorisme international, et les guerres au Moyen-Orient. Ce document couvre les axes de la guerre et de la paix, les enjeux politiques, et les structures de l'ONU, offrant une analyse approfondie des relations internationales contemporaines. Type: résumé thématique.
Faire la guerre, faire la paix - axe 1
fiche récapitulative sur l'axe 1 du thème faire la guerre, faire la paix
Mémoire des Conflits Historiques
Explorez les enjeux de mémoire et d'histoire liés à la Première Guerre Mondiale et à la Guerre d'Algérie. Ce document aborde les débats historiographiques, les mémoires conflictuelles, et les implications politiques des conflits. Idéal pour les étudiants en histoire cherchant à comprendre les dynamiques de mémoire collective et les conséquences des guerres sur les sociétés contemporaines.
Chronologie des Conflits
Explorez une frise chronologique détaillée des conflits majeurs de l'histoire, de la Guerre de Trente Ans à la création de Daesh. Ce document met en lumière les objectifs des guerres, les traités de paix, et les organisations internationales, offrant une vue d'ensemble essentielle pour comprendre les dynamiques de guerre et de paix. Type : frise chronologique.
Contenus les plus populaires en HGGSP
9Génocides et Mémoires
Explorez les mémoires des génocides, notamment la Shoah et le Porajmos, à travers une analyse des processus de reconnaissance, des procès historiques, et des lois mémorielles. Ce document aborde les enjeux de mémoire collective, les luttes pour la justice, et les répercussions sur les sociétés contemporaines. Type : résumé thématique.
Guerre et Paix : Analyse Stratégique
Explorez les dynamiques de la guerre et de la paix à travers l'analyse des conflits majeurs, y compris la guerre des Sept Ans, les guerres israélo-arabes et les enjeux géopolitiques contemporains. Cette fiche de révision couvre les concepts clés de la théorie de Clausewitz, les implications politiques des guerres, et les efforts de paix dans le contexte du Moyen-Orient. Idéal pour les étudiants en histoire et relations internationales.
Fiches de révisions sur le thème de l’environnement - HGGSP
Fiches de révisions sur le thème de l’environnement - HGGSP
Puissances Maritimes et Spatiales
Explorez les enjeux géostratégiques des puissances maritimes et spatiales dans cette fiche de révision HGGSP. Analysez la montée en puissance de la Chine, les tensions en mer Méditerranée et l'importance des routes maritimes. Comprenez les dynamiques de coopération et de rivalité entre les États-Unis, la Russie, l'Inde et d'autres acteurs émergents. Idéal pour préparer vos examens et approfondir vos connaissances sur les enjeux contemporains des océans et de l'espace.
Environnement : Défis et Solutions
Explorez les enjeux cruciaux de l'environnement, entre exploitation et préservation. Ce document aborde le changement climatique, les impacts humains sur la nature, et les initiatives de protection. Idéal pour les étudiants en HGGSP, il offre une vue d'ensemble des systèmes terrestres et des ressources durables.
Conquêtes Spatiales et Maritimes
Explorez les enjeux géopolitiques des conquêtes spatiales et maritimes à travers une analyse des coopérations internationales, des rivalités entre puissances, et des défis contemporains. Ce document couvre l'évolution de la recherche spatiale, la militarisation des océans, et les ambitions des nouvelles puissances comme la Chine. Type : résumé thématique.
Histoire et Mémoire des Génocides
Explorez les concepts d'histoire et de mémoire à travers l'étude des génocides, y compris l'Holocauste, le génocide rwandais et les conflits en ex-Yougoslavie. Ce document aborde les enjeux mémoriels, les procès historiques, et la construction de la mémoire collective. Type : résumé analytique.
Environnement : Exploitation et Protection
Explorez les enjeux environnementaux contemporains à travers des fiches de révision sur l'exploitation et la protection des ressources. Ce contenu aborde les impacts humains sur l'environnement, les changements climatiques, et les réponses sociétales face à ces défis. Idéal pour les étudiants en HGGSP, ce document fournit une synthèse des concepts clés et des événements marquants liés à la gestion des ressources et à la durabilité.
Mémoire de la Guerre d'Algérie
Explorez les enjeux historiques et mémoriels de la Guerre d'Algérie (1954-1962) à travers les perspectives des différents acteurs impliqués. Ce résumé aborde les causes, les conséquences, et les luttes mémorielles qui perdurent, ainsi que l'impact sur la société française et algérienne. Type : résumé historique.
Contenus les plus populaires
9Guerre Totale : 1939-1945
Explorez les événements marquants de la Seconde Guerre mondiale, de l'invasion de la Pologne à la capitulation du Japon. Ce résumé aborde les concepts clés tels que la guerre totale, le génocide des Juifs, la bataille de Stalingrad, et l'impact de la propagande. Idéal pour les étudiants en histoire cherchant à comprendre les enjeux et les conséquences de ce conflit majeur.
Introduction à la Seconde Guerre mondiale
Identifiez les causes du conflit, les alliances et les dates clés du déclenchement de la guerre en Europe et dans le Pacifique.
Défaite de 1940 et Régime de Vichy
Comprendre l'armistice de juin 1940, la fin de la IIIe République et la mise en place du nouveau régime autoritaire de Philippe Pétain.
Conscience en Philosophie
Explorez la notion de conscience en philosophie à travers ses implications sur la justice, la liberté, et la connaissance. Cette fiche de révision aborde les débats philosophiques sur la conscience, le cogito, et les valeurs morales, tout en intégrant des perspectives contemporaines. Idéale pour les étudiants en philosophie cherchant à approfondir leur compréhension des enjeux éthiques et existentiels.
Figures de Style Essentielles
Explorez les figures de style clés pour enrichir vos commentaires composés et oraux du Bac de Français. Ce document présente des définitions claires et des exemples illustratifs pour chaque figure, y compris la métaphore, la comparaison, et la personnification. Idéal pour les étudiants préparant le Bac.
Combat pour l'Égalité
Analyse approfondie du 'Discours de la servitude volontaire' d'Étienne de la Boétie, explorant les thèmes de la tyrannie, de la désobéissance civile et des droits du peuple. Ce document est conçu pour aider à la préparation de l'oral du bac de français, en mettant l'accent sur la lutte pour l'égalité et la liberté. Idéal pour les étudiants souhaitant comprendre les enjeux de la servitude volontaire et son impact sur la pensée politique moderne.
Guerre Froide : Conflits et Idéologies
Explorez les événements clés de la Guerre Froide (1947-1991), y compris le Plan Marshall, la crise de Berlin, la guerre de Corée et la crise de Cuba. Ce résumé met en lumière les tensions entre le communisme et le capitalisme, ainsi que les conséquences de cette période sur le monde moderne. Type : résumé de cours BAC PRO.
Amazon : Performance et Conditions de Travail
Explorez l'étude de gestion sur Amazon, mettant en lumière la relation entre performance sociale et commerciale. Ce dossier aborde l'impact des conditions de travail sur la performance de l'entreprise, ainsi que les stratégies de croissance et d'innovation technologique. Idéal pour les étudiants en gestion souhaitant comprendre les enjeux contemporains du e-commerce. Type : Synthèse d'étude de gestion.
Analyse linéaire: Ma Bohème, Rimbaud
Analyse linéaire pour l’oral du bac de français. Poème: Ma Bohème, Arthur Rimbaud
Rien ne te convient ? Explore d'autres matières.
Les étudiants nous adorent — il ne manque plus que toi.
L'application est très facile d'utilisation et bien conçue. Jusqu'à présent, j'ai trouvé tout ce que je cherchais et j'ai pu apprendre beaucoup de choses grâce aux présentations ! Je vais certainement utiliser l'application pour un travail en classe ! Et comme source d'inspiration personnelle, elle est bien sûr aussi très utile.
Cette application est vraiment super. Il y a tellement de fiches de révision et d'aide, [...]. Par exemple, la matière qui me pose problème est le français et l'appli a un choix d'aide très large. Grâce à cette application, je me suis améliorée en français. Je la recommanderais à tout le monde.
Waouh, je suis vraiment abasourdi. J'ai essayé l'application parce que je l'avais déjà vue plusieurs fois dans la publicité et j'ai été absolument choquée. Cette appli est L'AIDE dont on rêve pour l'école et surtout, elle propose tellement de choses, comme des rédactions et des fiches qui m'ont personnellement TRÈS bien aidé.
Thème 2 : Axe 1 : Les transformations de la guerre à travers l'histoire
Tu sais déjà que la guerre fait partie de l'histoire humaine, mais comment l'analyser vraiment ? Clausewitz, un militaire prussien du 19e siècle, a créé un modèle d'analyse qui reste encore aujourd'hui une référence pour comprendre les conflits. Son approche... Affiche plus

Inscris-toi pour voir le contenu. C'est gratuit!
- Accès à tous les documents
- Améliore tes notes
- Rejoins des millions d'étudiants
Le modèle de Clausewitz : comprendre la nature de la guerre
Imagine un militaire qui a vécu les guerres napoléoniennes et qui décide d'analyser ce qu'il a vu. C'est exactement ce qu'a fait Clausewitz, un Prussien né en 1780 qui a combattu dès l'âge de 12 ans. Il a participé aux plus grandes batailles de son époque, de Valmy à Iéna, avant de devenir directeur de l'académie militaire de Berlin.
Clausewitz distingue deux types de guerre dans sa théorie. La guerre absolue représente le concept pur : destruction totale de l'adversaire, montée aux extrêmes, paix imposée par le vainqueur. C'est la guerre dans sa nature la plus brutale. À l'inverse, la guerre réelle correspond aux conflits classiques entre États avec des objectifs politiques limités, souvent territoriaux.
Le concept du "brouillard de la guerre" est génial : il explique que la guerre échappe parfois à la raison à cause des incertitudes et de la passion populaire. Clausewitz nous montre que comprendre la guerre, c'est analyser comment on passe du rationnel à l'irrationnel.
💡 À retenir : Clausewitz a vécu la transformation de la guerre de son époque, ce qui rend son analyse particulièrement pertinente pour comprendre les mutations des conflits.

Inscris-toi pour voir le contenu. C'est gratuit!
- Accès à tous les documents
- Améliore tes notes
- Rejoins des millions d'étudiants
De la guerre de Sept Ans aux guerres napoléoniennes
La guerre de Sept Ans (1756-1763) représente encore une guerre classique. Marie-Thérèse d'Autriche veut récupérer la Silésie, et ça dégénère en conflit mondial entre grandes puissances. La Prusse et le Royaume-Uni affrontent la France, l'Autriche, la Russie et leurs alliés sur plusieurs continents.
Cette guerre change complètement la donne européenne. La Prusse devient une grande puissance, la France perd son empire colonial au profit des Britanniques, et le Royaume-Uni se positionne comme future première puissance industrielle. Frédéric II de Prusse montre qu'avec du talent militaire, on peut tenir tête à toute l'Europe.
Puis arrivent les guerres napoléoniennes qui marquent un tournant brutal. On passe d'une guerre défensive (protéger la Révolution) à une guerre offensive d'expansion. La violence explose : 3 millions de morts, massacres de civils en Espagne, le militaire qui prend le dessus sur le politique. C'est exactement ce que Clausewitz appelle la montée vers la guerre absolue.
💡 À retenir : Les guerres napoléoniennes marquent la fin des guerres "polies" du 18e siècle et annoncent la brutalité des conflits modernes.

Inscris-toi pour voir le contenu. C'est gratuit!
- Accès à tous les documents
- Améliore tes notes
- Rejoins des millions d'étudiants
Les guerres du 20e siècle : quand la violence devient illimitée
Le 20e siècle pousse la logique de Clausewitz à l'extrême. La Première Guerre mondiale transforme complètement la nature du conflit : violence illimitée avec le génocide arménien, 10 millions de morts militaires, 17 millions de blessés. Le traité de paix vise clairement à affaiblir l'Allemagne qui ne participe même pas aux négociations.
Mais c'est la Seconde Guerre mondiale qui atteint le paroxysme de la guerre absolue. 60 millions de morts au total, civils massivement touchés, guerre avant tout idéologique entre régimes totalitaires d'un côté et démocraties de l'autre. Les génocides juif et tzigane montrent jusqu'où peut aller la volonté d'anéantissement.
La Guerre froide introduit un paradoxe fascinant : une guerre idéologique totale entre deux superpuissances qui ne se battent jamais directement. La dissuasion nucléaire crée une "logique de non-guerre" où la menace de destruction mutuelle empêche le conflit ouvert.
💡 À retenir : Le 20e siècle montre que la guerre absolue de Clausewitz peut devenir réalité, avec des conséquences terrifiantes pour l'humanité.

Inscris-toi pour voir le contenu. C'est gratuit!
- Accès à tous les documents
- Améliore tes notes
- Rejoins des millions d'étudiants
Les nouveaux défis : terrorisme et guerres asymétriques
Depuis les années 1990, de nouveaux acteurs remettent en question le modèle traditionnel. Al-Qaïda, fondée par Ben Laden dans les années 1980, développe une stratégie décentralisée avec des attentats spectaculaires comme le 11 septembre 2001. Son objectif : affaiblir l'Occident et mobiliser les musulmans dans un djihad global.
Daesh va encore plus loin en proclamant un califat territorial en 2014. Contrairement à Al-Qaïda qui joue la patience, Daesh veut des résultats immédiats avec une violence extrême (décapitations, massacres) et une propagande numérique sophistiquée. Les deux groupes partagent l'idéologie salafiste-djihadiste mais s'opposent sur les méthodes.
Ces organisations imposent une guerre asymétrique où des groupes non-étatiques affrontent des armées nationales. La "guerre contre le terrorisme" lancée par Bush après le 11 septembre montre les limites du modèle clausewitzien : comment appliquer la théorie de la guerre entre États à des ennemis sans territoire fixe ni armée conventionnelle ?
💡 À retenir : Le terrorisme moderne oblige à repenser complètement les théories traditionnelles de la guerre et crée de nouveaux défis stratégiques.
Si on te demande...
Qu'est-ce que le compagnon IA de Knowunity ?
Notre compagnon IA est spécialement conçu pour répondre aux besoins des étudiants. Sur la base des millions d'éléments de contenu que nous avons sur la plateforme, nous pouvons fournir des réponses vraiment significatives et pertinentes aux étudiants. Mais il ne s'agit pas seulement de réponses, le compagnon a encore plus pour but de guider les élèves dans leurs défis d'apprentissage quotidiens, avec des plans d'étude personnalisés, des quiz ou des éléments de contenu dans le chat et une personnalisation à 100% basée sur les compétences et les développements de l'étudiant.
Où puis-je télécharger l'appli Knowunity ?
Tu peux télécharger l'application dans Google Play Store et dans l'App Store d'Apple.
L'application est-elle vraiment gratuite ?
Oui, tu as un accès entièrement gratuit à tous les contenus de l'appli, tu peux chatter ou suivre les créateurs à tout moment. De plus, nous proposons Knowunity Premium, qui te permet de réviser sans limites!
Contenus similaires
Contenus les plus populaires : conflits internationaux
9Guerre et Paix : Analyse Stratégique
Explorez les dynamiques de la guerre et de la paix à travers l'analyse des conflits majeurs, y compris la guerre des Sept Ans, les guerres israélo-arabes et les enjeux géopolitiques contemporains. Cette fiche de révision couvre les concepts clés de la théorie de Clausewitz, les implications politiques des guerres, et les efforts de paix dans le contexte du Moyen-Orient. Idéal pour les étudiants en histoire et relations internationales.
Conflits et Résolutions
Explorez les dynamiques des conflits mondiaux, en particulier au Moyen-Orient, et les efforts de paix à travers l'histoire. Ce document aborde les guerres interétatiques, les guerres civiles, les interventions internationales, et les accords de paix, tout en mettant en lumière le rôle de l'ONU et les théories de Clausewitz. Type : résumé thématique.
Idées de questions de Grand Oral
Cette fiche te permet de : ✅ Explorer les grands thèmes d’HGGSP pour préparer ton oral ✅ Identifier rapidement les questions classiques et celles qui font réfléchir ✅ Avoir toutes les questions de Grand Oral regroupées au même endroit
Guerre et Paix : Évolution Historique
Explorez les dynamiques de la guerre et de la paix à travers l'histoire, de Clausewitz à nos jours. Ce résumé de cours en HGGSP aborde les acteurs, les formes de conflit, et les défis de la diplomatie depuis les traités de Westphalie jusqu'à la complexité des guerres modernes. Idéal pour les étudiants en HGGSP cherchant à comprendre les enjeux contemporains de la paix et de la guerre.
Guerres et Paix au Moyen-Orient
Explorez les dynamiques complexes des conflits au Moyen-Orient, y compris les guerres israélo-arabes, le terrorisme, et le rôle des puissances internationales. Ce document analyse les théories de Clausewitz sur la guerre, les enjeux géopolitiques, et les efforts de paix, tout en offrant une perspective sur l'évolution des conflits modernes. Type : résumé analytique.
Guerres et Paix: Conflits Mondiaux
Explorez les dynamiques des conflits internationaux et les tentatives de paix à travers l'histoire, y compris le système Westphalien, le terrorisme international, et les guerres au Moyen-Orient. Ce document couvre les axes de la guerre et de la paix, les enjeux politiques, et les structures de l'ONU, offrant une analyse approfondie des relations internationales contemporaines. Type: résumé thématique.
Faire la guerre, faire la paix - axe 1
fiche récapitulative sur l'axe 1 du thème faire la guerre, faire la paix
Mémoire des Conflits Historiques
Explorez les enjeux de mémoire et d'histoire liés à la Première Guerre Mondiale et à la Guerre d'Algérie. Ce document aborde les débats historiographiques, les mémoires conflictuelles, et les implications politiques des conflits. Idéal pour les étudiants en histoire cherchant à comprendre les dynamiques de mémoire collective et les conséquences des guerres sur les sociétés contemporaines.
Chronologie des Conflits
Explorez une frise chronologique détaillée des conflits majeurs de l'histoire, de la Guerre de Trente Ans à la création de Daesh. Ce document met en lumière les objectifs des guerres, les traités de paix, et les organisations internationales, offrant une vue d'ensemble essentielle pour comprendre les dynamiques de guerre et de paix. Type : frise chronologique.
Contenus les plus populaires en HGGSP
9Génocides et Mémoires
Explorez les mémoires des génocides, notamment la Shoah et le Porajmos, à travers une analyse des processus de reconnaissance, des procès historiques, et des lois mémorielles. Ce document aborde les enjeux de mémoire collective, les luttes pour la justice, et les répercussions sur les sociétés contemporaines. Type : résumé thématique.
Guerre et Paix : Analyse Stratégique
Explorez les dynamiques de la guerre et de la paix à travers l'analyse des conflits majeurs, y compris la guerre des Sept Ans, les guerres israélo-arabes et les enjeux géopolitiques contemporains. Cette fiche de révision couvre les concepts clés de la théorie de Clausewitz, les implications politiques des guerres, et les efforts de paix dans le contexte du Moyen-Orient. Idéal pour les étudiants en histoire et relations internationales.
Fiches de révisions sur le thème de l’environnement - HGGSP
Fiches de révisions sur le thème de l’environnement - HGGSP
Puissances Maritimes et Spatiales
Explorez les enjeux géostratégiques des puissances maritimes et spatiales dans cette fiche de révision HGGSP. Analysez la montée en puissance de la Chine, les tensions en mer Méditerranée et l'importance des routes maritimes. Comprenez les dynamiques de coopération et de rivalité entre les États-Unis, la Russie, l'Inde et d'autres acteurs émergents. Idéal pour préparer vos examens et approfondir vos connaissances sur les enjeux contemporains des océans et de l'espace.
Environnement : Défis et Solutions
Explorez les enjeux cruciaux de l'environnement, entre exploitation et préservation. Ce document aborde le changement climatique, les impacts humains sur la nature, et les initiatives de protection. Idéal pour les étudiants en HGGSP, il offre une vue d'ensemble des systèmes terrestres et des ressources durables.
Conquêtes Spatiales et Maritimes
Explorez les enjeux géopolitiques des conquêtes spatiales et maritimes à travers une analyse des coopérations internationales, des rivalités entre puissances, et des défis contemporains. Ce document couvre l'évolution de la recherche spatiale, la militarisation des océans, et les ambitions des nouvelles puissances comme la Chine. Type : résumé thématique.
Histoire et Mémoire des Génocides
Explorez les concepts d'histoire et de mémoire à travers l'étude des génocides, y compris l'Holocauste, le génocide rwandais et les conflits en ex-Yougoslavie. Ce document aborde les enjeux mémoriels, les procès historiques, et la construction de la mémoire collective. Type : résumé analytique.
Environnement : Exploitation et Protection
Explorez les enjeux environnementaux contemporains à travers des fiches de révision sur l'exploitation et la protection des ressources. Ce contenu aborde les impacts humains sur l'environnement, les changements climatiques, et les réponses sociétales face à ces défis. Idéal pour les étudiants en HGGSP, ce document fournit une synthèse des concepts clés et des événements marquants liés à la gestion des ressources et à la durabilité.
Mémoire de la Guerre d'Algérie
Explorez les enjeux historiques et mémoriels de la Guerre d'Algérie (1954-1962) à travers les perspectives des différents acteurs impliqués. Ce résumé aborde les causes, les conséquences, et les luttes mémorielles qui perdurent, ainsi que l'impact sur la société française et algérienne. Type : résumé historique.
Contenus les plus populaires
9Guerre Totale : 1939-1945
Explorez les événements marquants de la Seconde Guerre mondiale, de l'invasion de la Pologne à la capitulation du Japon. Ce résumé aborde les concepts clés tels que la guerre totale, le génocide des Juifs, la bataille de Stalingrad, et l'impact de la propagande. Idéal pour les étudiants en histoire cherchant à comprendre les enjeux et les conséquences de ce conflit majeur.
Introduction à la Seconde Guerre mondiale
Identifiez les causes du conflit, les alliances et les dates clés du déclenchement de la guerre en Europe et dans le Pacifique.
Défaite de 1940 et Régime de Vichy
Comprendre l'armistice de juin 1940, la fin de la IIIe République et la mise en place du nouveau régime autoritaire de Philippe Pétain.
Conscience en Philosophie
Explorez la notion de conscience en philosophie à travers ses implications sur la justice, la liberté, et la connaissance. Cette fiche de révision aborde les débats philosophiques sur la conscience, le cogito, et les valeurs morales, tout en intégrant des perspectives contemporaines. Idéale pour les étudiants en philosophie cherchant à approfondir leur compréhension des enjeux éthiques et existentiels.
Figures de Style Essentielles
Explorez les figures de style clés pour enrichir vos commentaires composés et oraux du Bac de Français. Ce document présente des définitions claires et des exemples illustratifs pour chaque figure, y compris la métaphore, la comparaison, et la personnification. Idéal pour les étudiants préparant le Bac.
Combat pour l'Égalité
Analyse approfondie du 'Discours de la servitude volontaire' d'Étienne de la Boétie, explorant les thèmes de la tyrannie, de la désobéissance civile et des droits du peuple. Ce document est conçu pour aider à la préparation de l'oral du bac de français, en mettant l'accent sur la lutte pour l'égalité et la liberté. Idéal pour les étudiants souhaitant comprendre les enjeux de la servitude volontaire et son impact sur la pensée politique moderne.
Guerre Froide : Conflits et Idéologies
Explorez les événements clés de la Guerre Froide (1947-1991), y compris le Plan Marshall, la crise de Berlin, la guerre de Corée et la crise de Cuba. Ce résumé met en lumière les tensions entre le communisme et le capitalisme, ainsi que les conséquences de cette période sur le monde moderne. Type : résumé de cours BAC PRO.
Amazon : Performance et Conditions de Travail
Explorez l'étude de gestion sur Amazon, mettant en lumière la relation entre performance sociale et commerciale. Ce dossier aborde l'impact des conditions de travail sur la performance de l'entreprise, ainsi que les stratégies de croissance et d'innovation technologique. Idéal pour les étudiants en gestion souhaitant comprendre les enjeux contemporains du e-commerce. Type : Synthèse d'étude de gestion.
Analyse linéaire: Ma Bohème, Rimbaud
Analyse linéaire pour l’oral du bac de français. Poème: Ma Bohème, Arthur Rimbaud
Rien ne te convient ? Explore d'autres matières.
Les étudiants nous adorent — il ne manque plus que toi.
L'application est très facile d'utilisation et bien conçue. Jusqu'à présent, j'ai trouvé tout ce que je cherchais et j'ai pu apprendre beaucoup de choses grâce aux présentations ! Je vais certainement utiliser l'application pour un travail en classe ! Et comme source d'inspiration personnelle, elle est bien sûr aussi très utile.
Cette application est vraiment super. Il y a tellement de fiches de révision et d'aide, [...]. Par exemple, la matière qui me pose problème est le français et l'appli a un choix d'aide très large. Grâce à cette application, je me suis améliorée en français. Je la recommanderais à tout le monde.
Waouh, je suis vraiment abasourdi. J'ai essayé l'application parce que je l'avais déjà vue plusieurs fois dans la publicité et j'ai été absolument choquée. Cette appli est L'AIDE dont on rêve pour l'école et surtout, elle propose tellement de choses, comme des rédactions et des fiches qui m'ont personnellement TRÈS bien aidé.